Please wait a minute...
Journal of ZheJiang University (Engineering Science)  2026, Vol. 60 Issue (3): 504-512    DOI: 10.3785/j.issn.1008-973X.2026.03.006
    
Full-scale experimental study on buried oil and gas pipeline under rockfall impact
Feng YANG1,2(),Nan JIANG1,*(),Yingkang YAO1,Chuanbo ZHOU2,Guopeng LV2,Kaixiang LI2
1. State Key Laboratory of Precision Blasting, Jianghan University, Wuhan 430056, China
2. Faculty of Engineering, China University of Geosciences, Wuhan 430074, China
Download: HTML     PDF(1280KB) HTML
Export: BibTeX | EndNote (RIS)      

Abstract  

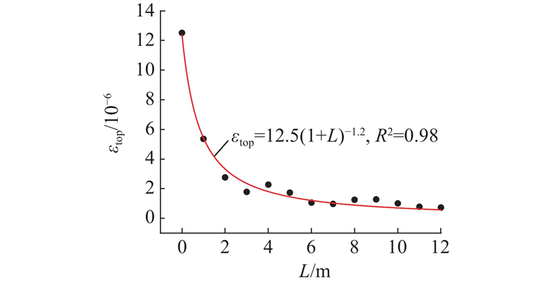
The dynamic response characteristic of the pipeline under the impact of rockfall was analyzed in order to reasonably evaluate the safety of oil and gas pipeline project affected by rockfall in mountainous area. The dynamic response characteristic of buried pipelines under different pipeline-rock offset distances was analyzed combined with dynamic strain measurement technique throughout the testing process by conducting full-scale model tests of buried oil and gas pipelines subjected to rockfall impacts. A safety evaluation method for buried oil and gas pipelines based on the pipeline-rock critical safety offset was proposed. Results show that the pipeline cross-section primarily exhibits a deformation mode with tension on the top and compression on the sides under the impact of a rockfall from directly above. The peak circumferential strain at the top of the pipeline rapidly decreases from 12.5 × 10?6 to below 3 × 10?6 as pipeline-rock offset distance increases from 0 m to 2 m, showing a general trend of attenuation with increasing pipeline-rock offset distance, where the rate of attenuation continuously decreases. A power-law model was developed to describe their relationship, which accorded well with the results from the full-scale model tests and laboratory test results from other literature. A safety evaluation method for buried oil and gas pipelines based on the pipeline-rock critical safety offset distance was proposed based on the yield strain of the pipeline.



Key wordsoil and gas pipeline      rockfall impact      dynamic response      full-scale experiment     
Received: 11 January 2025      Published: 04 February 2026
CLC:  TE 973  
Fund:  国家自然科学基金资助项目(52578584, 52478525); 湖北省自然科学基金杰出青年资助项目(2024AFA092).
Corresponding Authors: Nan JIANG     E-mail: yangfeng@cug.edu.cn;jiangnan@cug.edu.cn
Cite this article:

Feng YANG,Nan JIANG,Yingkang YAO,Chuanbo ZHOU,Guopeng LV,Kaixiang LI. Full-scale experimental study on buried oil and gas pipeline under rockfall impact. Journal of ZheJiang University (Engineering Science), 2026, 60(3): 504-512.

URL:

https://www.zjujournals.com/eng/10.3785/j.issn.1008-973X.2026.03.006     OR     https://www.zjujournals.com/eng/Y2026/V60/I3/504


落石冲击埋地油气管道足尺模型试验研究

为了合理评价山区受崩塌落石威胁的油气管线工程安全性,分析管道在落石冲击作用下的动力响应特性. 通过开展埋地油气管道的落石冲击足尺模型试验,结合试验全过程的动态应变测试技术,分析埋地管道在不同的管道-落石偏移距离(管-石偏距)下的动力响应特征,提出基于管-石安全临界偏距的埋地油气管道安全评价方法. 结果表明,在正上方落石冲击作用下,管道截面主要呈现顶部受拉、侧面受压的变形模式. 当管-石偏距从0 m增加至2 m时,管道顶部环向峰值应变从12.5 × 10?6迅速降低至3 × 10?6以下,整体呈现出随管-石偏距的增加而衰减且衰减速率不断减小的基本规律. 建立描述两者关系的幂律模型表达式,该幂律关系与足尺模型试验结果和其他文献中的室内试验结果吻合良好. 根据管道屈服应变,提出基于管-石安全临界偏距的埋地油气管道安全评价方法.


关键词: 油气管道,  落石冲击,  动力响应,  足尺试验 
Fig.1 Schematic diagram of experimental site
Fig.2 Field experiment process
Fig.3 Dynamic strain history
Fig.4 Distribution of peak strain of measuring point
Fig.5 Peak strain vs. pipe-rock offset distance
Fig.6 Functional relationship between peak strain and pipe-rock offset distance
Fig.7 Comparison of measured strain and calculated strain from equation (7)
Fig.8 Comparison of measured strain from published indoor test[27-28] and calculated strain from equation (7)
Fig.9 Comparison between critical pipe-rock offset distance in reference [19] and calculated result from equation (10)
[1]   吴世娟. 崩塌落石对澜沧江跨越管道的影响及其防治研究 [D]. 成都: 西南石油大学, 2016.
WU Shijuan. Study on the impact of rockfalls on Lantsang crossing pipeline and their prevention measures [D]. Chengdu: Southwest Petroleum University, 2016.
[2]   王磊, 邓清禄, 杨辉建, 等 危岩体坠落冲击对输气管道影响的分析评价[J]. 水文地质工程地质, 2007, 34 (5): 29- 32
WANG Lei, DENG Qinglu, YANG Huijian, et al Evaluation on the safety of natural gas pipeline impacted by dangerous rock fall[J]. Hydrogeology and Engineering Geology, 2007, 34 (5): 29- 32
[3]   张洪涛. 忠武输气管道地质灾害风险控制研究[D]. 青岛: 中国石油大学(华东), 2015.
ZHANG Hongtao. Risk control of the geological hazard for Zhongxian-Wuhan gas pipeline [D]. Qingdao: China University of Petroleum (East China), 2015.
[4]   王东源, 赵宇, 王成华 阳坝落石对输油管道的冲击分析[J]. 自然灾害学报, 2013, 22 (3): 229- 235
WANG Dongyuan, ZHAO Yu, WANG Chenghua Analysis of rockfall impact on buried oil pipeline at Yangba[J]. Journal of Natural Disasters, 2013, 22 (3): 229- 235
[5]   PICHLER B, HELLMICH C, MANG H A, et al Loading of a gravel-buried steel pipe subjected to rockfall[J]. Journal of Geotechnical and Geoenvironmental Engineering, 2006, 132 (11): 1465- 1473
doi: 10.1061/(ASCE)1090-0241(2006)132:11(1465)
[6]   JING H, DENG Q, HAO J, et al. Analysis and numerical simulation on dynamic response of buried pipeline caused by rock fall impaction [C]//Proceedings of the Volume 2: Pipeline Integrity Management. Calgary: ASME, 2012: 303-311.
[7]   LIU M, YANG M Modeling the behavior of natural gas pipeline impacted by falling objects[J]. Engineering Failure Analysis, 2014, 42: 45- 59
doi: 10.1016/j.engfailanal.2014.03.008
[8]   DONG F, BIE X, TIAN J, et al Experimental and numerical study on the strain behavior of buried pipelines subjected to an impact load[J]. Applied Sciences, 2019, 9 (16): 3284
doi: 10.3390/app9163284
[9]   JIANG F, DONG S, ZHAO Y, et al Investigation on the deformation response of submarine pipelines subjected to impact loads by dropped objects[J]. Ocean Engineering, 2019, 194: 106638
doi: 10.1016/j.oceaneng.2019.106638
[10]   TIAN J, ZHANG J, DONG F, et al Dynamic response of buried pipeline subject to impact loads using piezoceramic transducers[J]. International Journal of Pressure Vessels and Piping, 2019, 177: 103984
doi: 10.1016/j.ijpvp.2019.103984
[11]   荆宏远. 落石冲击下浅埋管道动力学响应分析与模拟 [D]. 武汉: 中国地质大学, 2007.
JING Hongyuan. Analysis and numerical simulation on dynamic response of buried pipeline caused by rockfall impaction [D]. Wuhan: China University of Geosciences, 2007.
[12]   TAVAKOLI MEHRJARDI G, KARIMI M Numerical modeling of buried steel pipe subjected to impact load[J]. Journal of Pipeline Systems Engineering and Practice, 2021, 12 (4): 04021048
doi: 10.1061/(ASCE)PS.1949-1204.0000588
[13]   TAVAKOLI MEHRJARDI G, KAVANDI M, AMINI F, et al Large-scale experimental study of the response of steel buried pipe subjected to rockfall impacts[J]. Journal of Pipeline Systems Engineering and Practice, 2024, 15 (2): 04024011
doi: 10.1061/JPSEA2.PSENG-1572
[14]   朱治儒. 崩塌落石冲击埋地油气管道的模型试验及作用机理研究 [D]. 成都: 成都理工大学, 2021.
ZHU Zhiru. Model test and mechanism research of collapsing rocks impacting buried oil and gas pipelines [D]. Chengdu: Chengdu University of Technology, 2021.
[15]   王联伟. 几种在役管道典型地质灾害评价方法研究 [D]. 北京: 北京科技大学, 2015.
WANG Lianwei. Study on several typical geological disaster damage assessment method for in service pipelines [D]. Beijing: University of Science and Technology Beijing, 2015.
[16]   ZHANG J, LIANG Z, HAN C, et al Buckling behaviour analysis of a buried steel pipeline in rock stratum impacted by a rockfall[J]. Engineering Failure Analysis, 2015, 58: 281- 294
doi: 10.1016/j.engfailanal.2015.09.009
[17]   RAO P, WU Z, CUI J Analysis of deformation of adjacent buried pipeline under rockfall impact load[J]. Geotechnical and Geological Engineering, 2022, 40 (3): 1463- 1474
doi: 10.1007/s10706-021-01975-w
[18]   熊健, 邓清禄, 张宏亮, 等 崩塌落石冲击荷载作用下埋地管道的安全评价[J]. 安全与环境工程, 2013, 20 (1): 108- 114
XIONG Jian, DENG Qinglu, ZHANG Hongliang, et al Safety assessment on the response of buried pipeline caused by rockfall impact load[J]. Safety and Environmental Engineering, 2013, 20 (1): 108- 114
[19]   赵璐. 落石冲击作用下埋地输气管道的动力响应及极限分析 [D]. 成都: 西南石油大学, 2018.
ZHAO Lu. Dynamic response and limit analysis of buried gas pipeline under rockfall impact [D]. Chengdu: Southwest Petroleum University, 2018.
[20]   YU B, YI W, ZHAO H Experimental study on the maximum impact force by rock fall[J]. Landslides, 2018, 15 (2): 233- 242
doi: 10.1007/s10346-017-0876-x
[21]   朱斌, 蒋楠, 贾永胜, 等 下穿燃气管道爆破振动效应现场试验研究[J]. 岩石力学与工程学报, 2019, 38 (12): 2582- 2592
ZHU Bin, JIANG Nan, JIA Yongsheng, et al Field experiment on blasting vibration effect of underpass gas pipelines[J]. Chinese Journal of Rock Mechanics and Engineering, 2019, 38 (12): 2582- 2592
[22]   杨成. 建(构)筑物拆除塌落冲击作用下地铁隧道动力响应测试与仿真分析 [D]. 武汉: 江汉大学, 2023.
YANG Cheng. Dynamic response test and simulation analysis of subway tunnel under the impact of building (structure) demolition collapse [D]. Wuhan: Jianghan University, 2023.
[23]   WANG G L, QU S Y, HOU X M, et al. Preliminary study on vertical subsoil participating mass [J]. Advanced Materials Research, 2011, 199/200: 1429–1434.
[24]   American Lifelines Alliance. Guidelines for the design of buried steel pipe [R]. Reston: ASCE, 2001.
[25]   胡宗耀. 城区爆破振动影响下埋地HDPE排水管道振速安全阈值研究 [D]. 武汉: 中国地质大学(武汉), 2022.
HU Zongyao. Study on safety threshold of vibration velocity of buried HDPE drainage pipeline under the influence of blasting vibration in urban area [D]. Wuhan: China University of Geosciences, 2022.
[26]   张鹏, 安兆暾, 李虎 爆破塌落触地载荷下浅埋缺陷PE HD管道力学响应分析[J]. 安全与环境学报, 2023, (6): 1844- 1851
ZHANG Peng, AN Zhaotun, LI Hu Dynamic response of shallow-buried defect PE HD gas pipeline under touchdown load of blasting collapse[J]. Journal of Safety and Environment, 2023, (6): 1844- 1851
[27]   董飞飞, 张东山, 田江平, 等 冲击载荷作用下埋地长输管道动力响应研究[J]. 石油机械, 2020, 48 (1): 132- 141
DONG Feifei, ZHANG Dongshan, TIAN Jiangping, et al Study on dynamic response of buried long distance pipeline under impact load[J]. China Petroleum Machinery, 2020, 48 (1): 132- 141
[28]   张虎, 邵磊, 余成, 等 冲击荷载对埋地管道影响的试验与数值模拟研究[J]. 地震工程与工程振动, 2022, 42 (3): 243- 252
ZHANG Hu, SHAO Lei, YU Cheng, et al Experimental and numerical simulation study of impact loading on buried pipeline[J]. Earthquake Engineering and Engineering Dynamics, 2022, 42 (3): 243- 252
[1] Xingbiao ZHANG,Tao WANG,Sen YAO,Huawen YE,Lu WANG,Lunhua BAI. Dynamic response of cable fracture of long span road-rail cable-stayed suspension bridge[J]. Journal of ZheJiang University (Engineering Science), 2024, 58(9): 1874-1885.
[2] Cong-er BAI,Zhe-jie SUN,Mei-juan QIN,Xiao WANG,Yong LIU. Dynamic response characteristics of wind turbine drivetrain and influence of support system[J]. Journal of ZheJiang University (Engineering Science), 2023, 57(6): 1165-1174.
[3] Ling-gang KONG,Jia YU,Yun-min CHEN. Centrifuge tests of ship impact on pile groups beneath offshore wind turbines[J]. Journal of ZheJiang University (Engineering Science), 2023, 57(2): 330-339.
[4] Wen-liang QIU,Hao-rong YANG,Guang-run WU. Parameter study on finite element model of abrupt hanger-breakage event induced dynamic responses of suspension bridge[J]. Journal of ZheJiang University (Engineering Science), 2022, 56(9): 1685-1692.
[5] Yi-wen HUANG,Nan JIANG,Chuan-bo ZHOU,Hai-bo LI,Xue-dong LUO,Ying-kang YAO. Dynamic failure mechanism of concrete pipeline with corroded inner-wall subjected to blasting[J]. Journal of ZheJiang University (Engineering Science), 2022, 56(7): 1342-1352.
[6] Chao ZHANG,Zheng-dong HUANG,Zhong-ming XIONG,Xiao-lu YUAN,You-jun XU,Jia-wang KANG. Seismic response of reinforced concrete frame structure in ground fissures area[J]. Journal of ZheJiang University (Engineering Science), 2022, 56(10): 2028-2036.
[7] Dao-sheng LING,Wen-jun SHENG,Bo HUANG,Yun ZHAO. Influence of pavement unidirectional constraint on aircraft vibration response[J]. Journal of ZheJiang University (Engineering Science), 2021, 55(9): 1684-1693.
[8] Ming-feng HUANG,Xin-rui WEI,He-kai YE,Jian-yun YE,Wen-juan LOU. Wind-induced response of crane structure with double flat arms for long-span transmission towers[J]. Journal of ZheJiang University (Engineering Science), 2021, 55(7): 1351-1360.
[9] Yi-jia ZHAO,Yun-jian WANG,Yao-dong WANG,Wei ZHANG. Power prediction control of ISOP based on single phase shift control[J]. Journal of ZheJiang University (Engineering Science), 2020, 54(1): 160-168.
[10] Wen-jie ZHOU,Li-zhong WANG,Lv-jun TANG,Zhen GUO,Sheng-jie RUI,Yu-pei HUANG. Numerical analysis of dynamic responses of jacket supported offshore wind turbines[J]. Journal of ZheJiang University (Engineering Science), 2019, 53(8): 1431-1437.
[11] ZHENG Yu-xin, XI Ying, BU Wang-hui, LI Meng-ru. Nonlinear characteristic analysis of 5-degree-of-freedom pure torsional model of RV reducer[J]. Journal of ZheJiang University (Engineering Science), 2018, 52(11): 2098-2109.
[12] HU Cheng-bao, WANG Yun-gang, LING Dao-sheng. Physical essence and influence of model parameters on dynamic response of Rayleigh damping[J]. Journal of ZheJiang University (Engineering Science), 2017, 51(7): 1284-1290.
[13] ZENG Chen, SUN Hong-lei, CAI Yuan-qiang, CAO Zhi-gang. Dynamic response of lined tunnel in saturated soil due to moving load[J]. Journal of ZheJiang University (Engineering Science), 2015, 49(3): 511-521.
[14] XIANG Tian-yong, ZHANG Zheng-hong, WEN Min-jie, SHAN Sheng-dao. Dynamic response of a spherical biogas digester in saturated soil[J]. Journal of ZheJiang University (Engineering Science), 2014, 48(2): 242-248.
[15] ZENG Chen, SUN Hong-lei, CAI Yuan-qiang, CAO Zhi-gang. Dynamic response of lined tunnel in saturated soil due to moving load[J]. Journal of ZheJiang University (Engineering Science), 2014, 48(10): 1-2.