|
|
|
| Deformation analysis and parameter determination of hardening soil model with small strain of an ultra-deep subway excavation in Tianjin |
Zhongjie ZHANG1,2( ),Hechen ZHOU3( ),Xiaoqiang GU3,4,*( ),Jiahe CHEN1,Hang WU1 |
1. Shanghai Urban Construction Design and Research Institute (Group) Co. Ltd, Shanghai 200125, China 2. School of Civil Engineering, Tianjin University, Tianjin 300072, China 3. Department of Geotechnical Engineering, Tongji University, Shanghai 200092, China 4. School of Civil Engineering and Architecture, Zhejiang Sci-Tech University, Hangzhou 310018, China |
|
|
|
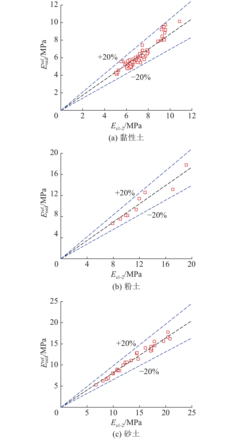
Abstract There exists the issue of overreliance on the empirical multiplicative relationship between the modulus parameters of the hardening soil model with small strain (HSS) and the compression modulus Es1-2, as well as the neglect of the confining pressure dependence of the shear modulus reduction parameter γ0.7, in the context of Tianjin soft soil area. The ultra-deep subway excavation of Xiawafang Station on Tianjin Metro Line 8 was taken as a case study. The Xiawafang station was currently the deepest metro station in soft soil areas in China, with an excavation depth of 38.3 m. By utilizing extensive laboratory and field test data, particularly the small-strain shear modulus G0 obtained from in-situ wave velocity tests, a statistical relationship between G0, the initial void ratio, and confining pressure was established. The variation of γ0.7 with soil depth was considered and a statistical relationship between the tangent modulus for primary oedometer loading $ E_{{\text{oed}}}^{{\text{ref}}} $ and Es1-2 was established. As a result, the HSS parameters applicable to soils in the Tianjin area were finally determined. A detailed three-dimensional finite element model of the Xiawafang Station excavation was established using PLAXIS 3D, and the results of lateral displacement of the retaining wall and surface settlement outside the pit were compared with the field measured data. The results demonstrate that the proposed HSS parameter determination is reasonable, with calculated excavation deformations closely matching measured values. These findings can provide an engineering reference for the design of deep excavations and the selection of geotechnical soil parameters in the Tianjin soft soil area.
|
|
Received: 19 November 2024
Published: 25 November 2025
|
|
|
| Fund: 国家自然科学基金资助项目(52178344). |
|
Corresponding Authors:
Xiaoqiang GU
E-mail: zhangzhongjie@sucdri.com;zhouhechen@tongji.edu.cn;guxiaoqiang@tongji.edu.cn
|
天津某超深地铁基坑变形分析与小应变硬化参数取值
天津地区小应变硬化(HSS)模型模量参数多依赖与压缩模量Es1-2的经验倍数关系,且忽略剪切模量衰减参数γ0.7随围压变化的影响. 为此,以天津地铁8号线下瓦房站超深基坑(当前国内软土地区最深地铁车站,挖深为38.3 m)为研究背景,依托大量室内和现场试验数据,特别是通过现场原位波速试验测得土体小应变剪切模量G0,建立G0与初始孔隙比和围压的统计关系,考虑γ0.7随土层深度的变化,并统计标准固结试验的参考切线模量$ E_{{\text{oed}}}^{{\text{ref}}} $与Es1-2的经验关系,最终确定了适用于天津地区土体的HSS模型参数. 使用PLAXIS 3D建立下瓦房站基坑开挖的精细化三维有限元模型,将基坑围护墙变形及坑外地表沉降的计算结果与现场实测数据进行对比验证. 结果表明,提出的HSS参数取值合理可靠,基坑变形计算值与实测结果较吻合,研究结果可为天津软土地区深基坑设计及岩土工程参数的选取提供参考.
关键词:
超深地铁基坑,
变形分析,
有限元模拟,
小应变硬化模型,
小应变剪切模量,
参数取值
|
|
| [1] |
徐中华, 王卫东 敏感环境下基坑数值分析中土体本构模型的选择[J]. 岩土力学, 2010, 31 (1): 258- 264,326 XU Zhonghua, WANG Weidong Selection of soil constitutive models for numerical analysis of deep excavations in close proximity to sensitive properties[J]. Rock and Soil Mechanics, 2010, 31 (1): 258- 264,326
doi: 10.3969/j.issn.1000-7598.2010.01.044
|
|
|
| [2] |
BENZ T. Small strain stiffness of soils and its numerical consequences [D]. Stuttgart: University of Stuttgart, 2006.
|
|
|
| [3] |
上海市住房和城乡建设管理委员会. 基坑工程技术标准: DG/TJ 08-61—2018 [S]. 上海: 同济大学出版社, 2018.
|
|
|
| [4] |
王浩然. 上海软土地区深基坑变形与环境影响预测方法研究[D]. 上海: 同济大学, 2012. WANG Haoran. Prediction of deformation and response of adjacent environment of deep excavations in Shanghai soft deposit [D]. Shanghai: Tongji university, 2012.
|
|
|
| [5] |
王卫东, 王浩然, 徐中华 上海地区基坑开挖数值分析中土体HS-Small模型参数的研究[J]. 岩土力学, 2013, 34 (6): 1766- 1774 WANG Weidong, WANG Haoran, XU Zhonghua Study of parameters of HS-Small model used in numerical analysis of excavations in Shanghai area[J]. Rock and Soil Mechanics, 2013, 34 (6): 1766- 1774
|
|
|
| [6] |
陈峰. 无锡地铁基坑典型地层本构模型适应性研究[D]. 上海: 同济大学, 2011. CHEN Feng. Adaptability of constitutive model for typical soil layers in Wuxi metro excavation [D]. Shanghai: Tongji University, 2011.
|
|
|
| [7] |
楼春晖. 软土地区深开挖空间变形特性及环境影响分析 [D]. 杭州: 浙江大学, 2019. LOU Chunhui. Investigation of spatial deformation characteristics and environmental effects due to deep excavation in soft soil area [D]. Hangzhou: Zhejiang University, 2019.
|
|
|
| [8] |
白时雨, 王文军, 谢新宇, 等 考虑扰动影响的土体小应变硬化模型参数试验研究及其在基坑工程中的应用[J]. 岩土力学, 2023, 44 (1): 206- 216 BAI Shiyu, WANG Wenjun, XIE Xinyu, et al Experimental study on HS-small model parameters of soil considering disturbance and its application in foundation pit engineering[J]. Rock and Soil Mechanics, 2023, 44 (1): 206- 216
|
|
|
| [9] |
李连祥, 刘嘉典, 李克金, 等 济南典型地层HSS参数选取及适用性研究[J]. 岩土力学, 2019, 40 (10): 4021- 4029 LI Lianxiang, LIU Jiadian, LI Kejin, et al Study of parameters selection and applicability of HSS model in typical stratum of Jinan[J]. Rock and Soil Mechanics, 2019, 40 (10): 4021- 4029
|
|
|
| [10] |
李子健. 天津市区HSS模型参数及其在深基坑变形分析中的应用 [D]. 天津: 天津大学, 2022. LI Zijian. Determination of parameters for the Hardening Soil-Small model and application in deformation analysis for foundation pit in Tianjin [D]. Tianjin: Tianjin University, 2022.
|
|
|
| [11] |
ALPAN I The geotechnical properties of soils[J]. Earth-Science Reviews, 1970, 6 (1): 5- 49
doi: 10.1016/0012-8252(70)90001-2
|
|
|
| [12] |
顾晓强, 吴瑞拓, 梁发云, 等 上海土体小应变硬化模型整套参数取值方法及工程验证[J]. 岩土力学, 2021, 42 (3): 833- 845 GU Xiaoqiang, WU Ruituo, LIANG Fayun, et al On HSS model parameters for Shanghai soils with engineering verification[J]. Rock and Soil Mechanics, 2021, 42 (3): 833- 845
|
|
|
| [13] |
HARDIN B O, BLACK W L Vibration modulus of normally consolidated clay[J]. Journal of the Soil Mechanics and Foundations Division, 1968, 94 (2): 353- 369
doi: 10.1061/JSFEAQ.0001100
|
|
|
| [14] |
BRINKGREVE R B J, BROERE W. PLAXIS material models manual [M]. Delft: PLAXIS B. V. , 2006.
|
|
|
| [15] |
VARDANEGA P J, BOLTON M D Stiffness of clays and silts: normalizing shear modulus and shear strain[J]. Journal of Geotechnical and Geoenvironmental Engineering, 2013, 139 (9): 1575- 1589
doi: 10.1061/(ASCE)GT.1943-5606.0000887
|
|
|
| [16] |
OZTOPRAK S, BOLTON M D Stiffness of sands through a laboratory test database[J]. Géotechnique, 2013, 63 (1): 54- 70
|
|
|
| [17] |
JURČEK T, PULKO B, MAČEK M Small strain shear modulus of the Ljubljana marsh soil measured with resonant column and bender elements under isotropic and anisotropic stress conditions[J]. Applied Sciences, 2024, 14 (5): 1984
doi: 10.3390/app14051984
|
|
|
| [18] |
郑刚, 杜一鸣, 刁钰, 等 基坑开挖引起邻近既有隧道变形的影响区研究[J]. 岩土工程学报, 2016, 38 (4): 599- 612 ZHENG Gang, DU Yiming, DIAO Yu, et al Influenced zones for deformation of existing tunnels adjacent to excavations[J]. Chinese Journal of Geotechnical Engineering, 2016, 38 (4): 599- 612
doi: 10.11779/CJGE201604003
|
|
|
| [19] |
周强, 高洁, 郑刚, 等 软土地区超深基坑引发邻近重要建筑沉降的倾斜注浆主动控制方案: 以天津地铁7号线某地下四层站工程为例[J]. 科学技术与工程, 2023, 23 (23): 10049- 10058 ZHOU Qiang, GAO Jie, ZHENG Gang, et al Active control scheme of inclined grouting for settlement of adjacent important buildings caused by ultra-deep excavation in soft soil area: taking a four floors underground station project of Tianjin metro line 7 as an example[J]. Science Technology and Engineering, 2023, 23 (23): 10049- 10058
|
|
|
| [20] |
赵挚南, 王寒晖, 郝龙, 等 基于HSS模型的基坑开挖对近邻地铁影响数值分析[J]. 低温建筑技术, 2021, 43 (1): 125- 129 ZHAO Zhinan, WANG Hanhui, HAO Long, et al Numerical analysis of the influence of foundation pit excavation neighboring subway based on hss model[J]. Low Temperature Architecture Technology, 2021, 43 (1): 125- 129
|
|
|
| [21] |
邓旭, 甄洁, 林森斌, 等 基坑开挖引起地铁结构隆起的堆载控制研究[J]. 铁道科学与工程学报, 2024, 21 (6): 2417- 2429 DENG Xu, ZHEN Jie, LIN Senbin, et al Loading control for the uplift of subway structures induced by adjacent excavation[J]. Journal of Railway Science and Engineering, 2024, 21 (6): 2417- 2429
|
|
|
| [22] |
信磊磊. 基于变形控制标准的基坑开挖对邻近既有建筑物和隧道变形影响研究 [D]. 天津: 天津大学, 2016. XIN Leilei. Analysis of response of the existing tunnel and building in excavation based on deformation control criterions [D]. Tianjin: Tianjin University, 2015.
|
|
|
| [23] |
陈磊. 小应变本构模型在留有反压土的基坑开挖变形中的应用 [D]. 天津: 天津大学, 2014. CHEN Lei. Application of Hardening Soil Small in deformation analysis of foundation pit with earth berms [D]. Tianjin: Tianjin University, 2014.
|
|
|
| [24] |
天津市勘察设计院集团有限公司. 天津地铁8号线一期工程岩土工程勘察报告: 下瓦房站[R]. 天津: 天津市勘察设计院集团有限公司, 2020.
|
|
|
| [25] |
BOLTON M D The strength and dilatancy of sands[J]. Géotechnique, 1986, 36 (1): 65- 78
|
|
|
| [26] |
BRINKGREVE R B J, VERMEER P A. PLAXIS reference manual connect edition V20 [M]. Delft: PLAXIS B. V. , 2019.
|
|
|
| [27] |
YANG J, GU X Q Shear stiffness of granular material at small strains: does it depend on grain size?[J]. Géotechnique, 2013, 63 (2): 165- 179
|
|
|
| [28] |
夏峰, 宋成科, 孟庆筱, 等 天津地区覆盖层土动力学参数统计分析[J]. 地震工程学报, 2015, 37 (1): 48- 54 XIA Feng, SONG Chengke, MENG Qingxiao, et al Analysis of soil dynamic parameters of overburden in the Tianjin area[J]. China Earthquake Engineering Journal, 2015, 37 (1): 48- 54
|
|
|
| [29] |
刘念武, 龚晓南, 楼春晖 软土地区基坑开挖对周边设施的变形特性影响[J]. 浙江大学学报: 工学版, 2014, 48 (7): 1141- 1147 LIU Nianwu, GONG Xiaonan, LOU Chunhui Deformation behavior of nearby facilities analysis induced by excavation in soft clay[J]. Journal of Zhejiang University: Engineering Science, 2014, 48 (7): 1141- 1147
|
|
|
| [30] |
乔世范, 蔡子勇, 张震, 等 南沙港区软土狭长深基坑围护体系性状[J]. 浙江大学学报: 工学版, 2022, 56 (8): 1473- 1484 QIAO Shifan, CAI Ziyong, ZHANG Zhen, et al Behavior of retaining system of narrow-long deep foundation pit in soft soil in Nansha Port Area[J]. Journal of Zhejiang University: Engineering Science, 2022, 56 (8): 1473- 1484
|
|
|
| [31] |
TAN Y, WEI B, DIAO Y, et al Spatial corner effects of long and narrow multipropped deep excavations in Shanghai soft clay[J]. Journal of Performance of Constructed Facilities, 2014, 28 (4): 04014015
doi: 10.1061/(ASCE)CF.1943-5509.0000475
|
|
|
| [32] |
郑刚, 赵悦镔, 程雪松, 等 复杂地层中基坑降水引发的水位及沉降分析与控制对策[J]. 土木工程学报, 2019, 52 (Suppl.1): 135- 142 ZHENG Gang, ZHAO Yuebin, CHENG Xuesong, et al Strategy and analysis of the settlement and deformation caused by dewatering under complicated geological condition[J]. China Civil Engineering Journal, 2019, 52 (Suppl.1): 135- 142
|
|
|
| [33] |
曾超峰, 王硕, 袁志成, 等 考虑邻近结构阻隔影响的基坑开挖前降水引发地层变形的特性[J]. 浙江大学学报: 工学版, 2021, 55 (2): 338- 347 ZENG Chaofeng, WANG Shuo, YUAN Zhicheng, et al Characteristics of ground deformation induced by pre-excavation dewatering considering blocking effect of adjacent structure[J]. Journal of Zhejiang University: Engineering Science, 2021, 55 (2): 338- 347
|
|
|
|
Viewed |
|
|
|
Full text
|
|
|
|
|
Abstract
|
|
|
|
|
Cited |
|
|
|
|
| |
Shared |
|
|
|
|
| |
Discussed |
|
|
|
|