Please wait a minute...
Journal of ZheJiang University (Engineering Science)  2026, Vol. 60 Issue (3): 574-584    DOI: 10.3785/j.issn.1008-973X.2026.03.013
    
High spatio-temporal resolution precipitation forecast based on dual-polarization radar
Leping LIN1,2(),Liang LI1,Ning OUYANG1,2,*()
1. Ministry of Education Key Laboratory of Cognitive Radio and Information Processing, Guilin University of Electronic Technology, Guilin 541004, China
2. School of Information and Communication, Guilin University of Electronic Technology, Guilin 541004, China
Download: HTML     PDF(2664KB) HTML
Export: BibTeX | EndNote (RIS)      

Abstract  

The DPRF-UNet model, a multimodal precipitation forecasting model that integrated dual-polarization radar variables, was proposed aiming at the problems that existing algorithms had limitations in extrapolating complex and rapidly changing precipitation and the Z-R conversion led to the error accumulation. Dual-polarization radar variables such as reflectivity, differential reflectivity, and specific differential phase were used to directly predict precipitation. The error introduced by empirical conversion was avoided by incorporating microphysical characteristics and employing an end-to-end precipitation forecasting framework, enabling direct precipitation prediction. The research results show that the proposed DPRF-UNet model demonstrates superior performance compared with mainstream models that solely utilize radar reflectivity as input. The average critical success index, Heidke skill score and probability of detection of the DPRF-UNet model across all precipitation thresholds were increased by 2.6%, 2.7% and 1.0%, reaching 0.64, 0.72 and 0.74.



Key wordsprecipitation forecast      dual-polarization radar      deep learning      spatio-temporal prediction      spatio-temporal resolution     
Received: 10 January 2025      Published: 04 February 2026
CLC:  TP 391  
Fund:  国家自然科学基金资助项目(62001133);广西科技基地和人才专项资助项目(桂科 AD19110060);广西自然科学基金资助项目(2017GXNSFBA198212);广西无线宽带通信与信号处理重点实验室基金资助项目(GXKL06200114).
Corresponding Authors: Ning OUYANG     E-mail: linleping@guet.edu.cn;ynou@guet.edu.cn
Cite this article:

Leping LIN,Liang LI,Ning OUYANG. High spatio-temporal resolution precipitation forecast based on dual-polarization radar. Journal of ZheJiang University (Engineering Science), 2026, 60(3): 574-584.

URL:

https://www.zjujournals.com/eng/10.3785/j.issn.1008-973X.2026.03.013     OR     https://www.zjujournals.com/eng/Y2026/V60/I3/574


基于双偏振雷达的高时空分辨率临近降水预报

针对现有算法在复杂快变降水外推中的局限性及Z-R转换带来的误差叠加问题,提出联合双偏振雷达变量的多模态临近降水预报模型DPRF-UNet. 该预报模型利用双偏振雷达变量中的反射率因子、差分反射率和比差分相移,直接对降水量进行预测. 通过纳入降水粒子微物理特性的信息,采用端到端的降水预报框架,该模型避免了因经验性转换带来的误差,实现了降水的直接预测. 研究结果表明,与仅使用雷达反射率因子作为输入的主流模型相比,提出DPRF-UNet模型在所有降水阈值下的临界成功指数、Heidke技巧评分和命中率的平均值分别提高了2.6%、2.7%和1.0%,达到0.64、0.72和0.74.


关键词: 临近降水预报,  双偏振雷达,  深度学习,  时空预测,  时空分辨率 
Fig.1 Optimization process diagram of DPRF-UNet model parameter
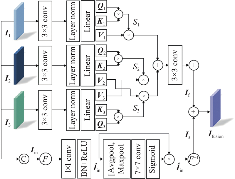
Fig.2 Schematic diagram of cross-attention spatial-frequency fusion module
Fig.3 Schematic diagram of integrated precipitation generation module
Fig.4 Schematic diagram of multi-scale attention convolution module
Fig.5 Schematic diagram of cross-layer fusion module
名称环境配置
操作系统Ubuntu20.04
处理器Intel(R)Xeon(R)Gold6248CPU@2.50 GHz
显卡Tesla A100
CUDA版本11.6
深度学习框架PyTorch1.13.0
Python版本3.9
显存80 GB
Tab.1 Hardware platform and software environment for deep learning experiment
R/(mm·(6 min)?1)P/%降水等级
[0, 0.5)75.86无降雨
[0.5, 5)13.98小雨
[5, 10)5.23中雨
[10, 30)3.93大雨
[30, +$ \infty $)0.97暴雨
Tab.2 Rain rate statistics in NJU-CPOL dataset
模型CSIHSSPOD
Rth = 0.5 mm/
(6 min)
Rth = 5 mm/
(6 min)
Rth = 10 mm/
(6 min)
平均值Rth = 0.5 mm/
(6 min)
Rth = 5 mm/
(6 min)
Rth = 10 mm/
(6 min)
平均值Rth = 0.5 mm/
(6 min)
Rth = 5 mm/
(6 min)
Rth = 10 mm/
(6 min)
平均值
ZH_Rain0.55290.22390.22870.33510.58320.29290.31020.39540.91970.26510.26160.4821
ZH_SmaAt0.67160.48970.50480.55530.72840.59550.61400.64590.88950.57380.57640.6799
ZH_AATrans0.69770.57620.58350.61910.75550.67200.67880.70210.89050.67600.66880.7451
ZH_Broad0.70920.58090.56600.61870.76750.67080.65780.69870.87260.67110.64120.7283
ZHKDP_DPRF0.72570.60260.58230.63680.78520.68260.68810.71860.86710.69530.66380.7420
ZHZDR_DPRF0.71650.60040.58190.63290.77380.68070.66580.70670.85580.68880.65760.7340
DPRF-UNet0.72060.60500.59530.64030.77870.69590.69930.72460.89980.70480.67550.7489
Tab.3 Comparison of experimental result for different models at 0.5 hour ahead time
模型CSIHSSPOD
Rth = 0.5 mm/
(6 min)
Rth = 5 mm/
(6 min)
Rth = 10 mm/
(6 min)
平均值Rth = 0.5 mm/
(6 min)
Rth = 5 mm/
(6 min)
Rth = 10 mm/
(6 min)
平均值Rth = 0.5 mm/
(6 min)
Rth = 5 mm/
(6 min)
Rth = 10 mm/
(6 min)
平均值
ZH_Rain0.55010.24610.26600.35400.57950.32440.35900.42090.91720.28550.29870.5004
ZH_SmaAt0.67330.49710.51910.56310.72790.60330.62870.65330.89990.57820.58320.6871
ZH_AATrans0.68820.57770.57670.61420.74340.67070.67200.69530.89390.68240.65850.7449
ZH_Broad0.72150.60730.59260.64040.77950.69590.68460.72000.87350.69770.66610.7457
ZHKDP_DPRF0.73360.61390.59950.64900.78810.70120.69380.72770.90140.71110.67840.7636
ZHZDR_DPRF0.72890.61330.59970.64730.78360.69640.68930.72310.87190.70250.67410.7495
DPRF-UNet0.72910.61710.59620.64740.78470.70790.69280.72840.90020.72390.68590.7680
Tab.4 Comparison of experimental result for different models at 1 hour ahead time
模型CSIHSSPOD
Rth = 0.5 mm/
(6 min)
Rth = 5 mm/
(6 min)
Rth = 10 mm/
(6 min)
平均值Rth = 0.5 mm/
(6 min)
Rth = 5 mm/
(6 min)
Rth = 10 mm/
(6 min)
平均值Rth = 0.5 mm/
(6 min)
Rth = 5 mm/
(6 min)
Rth = 10 mm/
(6 min)
平均值
ZH_Rain0.54480.18740.15490.29570.57340.24140.21470.34310.91280.23710.19590.4486
ZH_SmaAt0.63090.31770.25430.40090.68380.39410.33620.47130.88130.42310.33140.5452
ZH_AATrans0.63710.33300.26160.41050.69190.41360.34300.48280.84250.44680.33540.5415
ZH_Broad0.61200.30990.22550.38240.66730.37740.29220.44560.79770.42020.27690.4982
ZHKDP_DPRF0.62000.32770.26550.40440.67520.40320.34800.47540.82850.44750.34810.5413
ZHZDR_DPRF0.62180.31890.24690.39580.67750.38880.32020.46210.82060.43010.31560.5221
DPRF-UNet0.62650.33510.26690.40950.68240.41400.34570.48070.83120.46470.35780.5513
Tab.5 Comparison of experimental result for different models at 1.5 hour ahead time
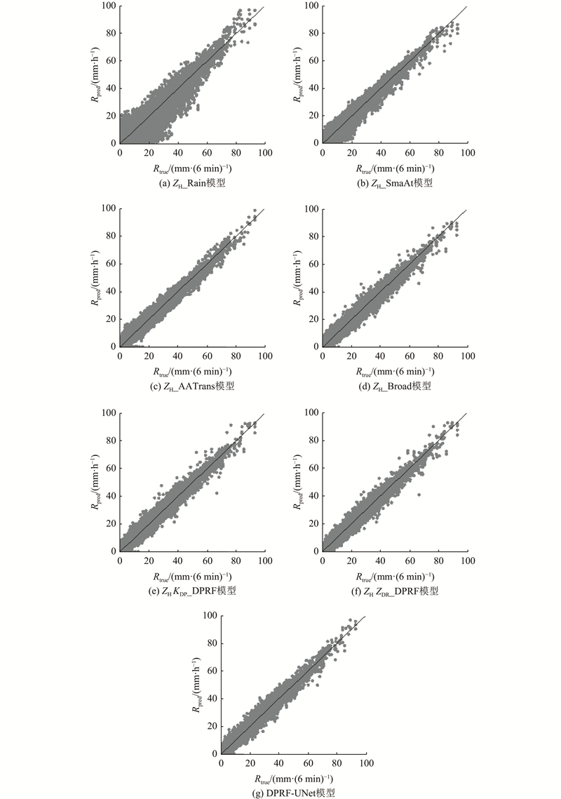
Fig.6 Comparison of predictive scatterplot of different models in continuous precipitation process
Fig.7 Comparison of model prediction visualization result at different lead time
Fig.8 Comparison of model prediction visualization result at different lead time
模型CSIHSSPOD
Rth = 0.5 mm/
(6 min)
Rth = 5 mm/
(6 min)
Rth = 10 mm/
(6 min)
平均值Rth = 0.5 mm/
(6 min)
Rth = 5 mm/
(6 min)
Rth = 10 mm/
(6 min)
平均值Rth = 0.5 mm/
(6 min)
Rth = 5 mm/
(6 min)
Rth = 10 mm/
(6 min)
平均值
DPRF-UNet0.72910.61710.59620.64740.78470.70790.69280.72840.89430.72390.68590.7680
DPRF-UNet-F0.71120.55250.54100.60150.76940.65430.64810.69060.85360.62460.60200.6934
DPRF-UNet-C0.71720.59900.58380.63330.77250.69310.68250.71600.89020.70460.67190.7569
Tab.6 Comparison of ablation experiment result at 1 hour ahead time
[1]   RAVURI S, LENC K, WILLSON M, et al Skilful precipitation nowcasting using deep generative models of radar[J]. Nature, 2021, 597 (7878): 672- 677
[2]   李扬, 刘玉宝, 许小峰 基于深度学习改进数值天气预报模式和预报的研究及挑战[J]. 气象科技进展, 2021, 11 (3): 103- 112
LI Yang, LIU Yubao, XU Xiaofeng Advances and challenges for improving numerical weather prediction models and forecasting using deep learning[J]. Advances in Meteorological Science and Technology, 2021, 11 (3): 103- 112
[3]   REINOSO-RONDINEL R, REMPEL M, SCHULTZE M, et al Nationwide radar-based precipitation nowcasting: a localization filtering approach and its application for Germany[J]. IEEE Journal of Selected Topics in Applied Earth Observations and Remote Sensing, 2022, 15: 1670- 1691
doi: 10.1109/JSTARS.2022.3144342
[4]   AYZEL G, HEISTERMANN M, WINTERRATH T Optical flow models as an open benchmark for radar-based precipitation nowcasting (rainymotion v0.1)[J]. Geoscientific Model Development, 2019, 12 (4): 1387- 1402
doi: 10.5194/gmd-12-1387-2019
[5]   SHI X, CHEN Z, WANG H, et al. Convolutional LSTM network: a machine learning approach for precipitation nowcasting [C]∥Advances in Neural Information Processing Systems 28. Montreal: Curran Associates, Inc, 2015: 802-810.
[6]   俞小鼎, 周小刚, 王秀明 雷暴与强对流临近天气预报技术进展[J]. 气象学报, 2012, 70 (3): 311- 337
YU Xiaoding, ZHOU Xiaogang, WANG Xiuming The advances in the nowcasting techniques on thunderstorms and severe convection[J]. Acta Meteorologica Sinica, 2012, 70 (3): 311- 337
[7]   黄兴友, 马玉蓉, 胡苏蔓 基于深度学习的天气雷达回波序列外推及效果分析[J]. 气象学报, 2021, 79 (5): 817- 827
HUANG Xingyou, MA Yurong, HU Suman Extrapolation and effect analysis of weather radar echo sequence based on deep learning[J]. Acta Meteorologica Sinica, 2021, 79 (5): 817- 827
[8]   马志峰, 张浩, 刘劼 基于深度学习的短临降水预报综述[J]. 计算机工程与科学, 2023, 45 (10): 1731- 1753
MA Zhifeng, ZHANG Hao, LIU Jie A survey of precipitation nowcasting based on deep learning[J]. Computer Engineering and Science, 2023, 45 (10): 1731- 1753
[9]   SHI X, GAO Z, LAUSEN L, et al. Deep learning for precipitation nowcasting: a benchmark and a new model [C]//Advances in Neural Information Processing Systems 30. Red Hook, NY: Cur Associates, Inc., 2017.
[10]   WANG Y, LONG M, WANG J, et al. PredRNN: recurrent neural networks for predictive learning using spatiotemporal LSTMs [C]//Proceedings of the Neural Information Processing Systems. Long Beach: Curran Associates, Inc, 2017: 879-888.
[11]   MA Z, ZHANG H, LIU J DB-RNN: an RNN for precipitation nowcasting deblurring[J]. IEEE Journal of Selected Topics in Applied Earth Observations and Remote Sensing, 2024, 17: 5026- 5041
[12]   AYZEL G, SCHEFFER T, HEISTERMANN M RainNet v1.0: a convolutional neural network for radar-based precipitation nowcasting[J]. Geoscientific Model Development, 2020, 13 (6): 2631- 2644
[13]   RONNEBERGER O, FISCHER P, BROX T. U-Net: convolutional networks for biomedical image segmentation [C]//Medical Image Computing and Computer-Assisted Intervention. Cham: Springer, 2015: 234–241.
[14]   TREBING K, STAǸCZYK T, MEHRKANOON S SmaAt-UNet: precipitation nowcasting using a small attention-UNet architecture[J]. Pattern Recognition Letters, 2021, 145: 178- 186
[15]   YANG Y, MEHRKANOON S. AA-TransUNet: attention augmented TransUNet for nowcasting tasks [C]//Proceedings of the International Joint Conference on Neural Networks. Padua: IEEE, 2022: 1–8.
[16]   FERNÁNDEZ J G, MEHRKANOON S Broad-UNet: multi-scale feature learning for nowcasting tasks[J]. Neural Networks, 2021, 144: 419- 427
[17]   REN G, SUN Y, SUN H, et al A case study on two differential reflectivity columns in a convective cell: phased-array radar observation and cloud model simulation[J]. Remote Sensing, 2024, 16 (3): 460
[18]   PAN X, LU Y, ZHAO K, et al Improving nowcasting of convective development by incorporating polarimetric radar variables into a deep-learning model[J]. Geophysical Research Letters, 2021, 48 (21): e2021GL095302
[19]   ZHU K, CHEN H, HAN L. MCT U-Net: a deep learning nowcasting method using dual-polarization radar observations [C]//IEEE International Geoscience and Remote Sensing Symposium. Kuala Lumpur: IEEE, 2022: 4665–4668.
[20]   ROMBEEK N, LEINONEN J, HAMANN U Exploiting radar polarimetry for nowcasting thunderstorm hazards using deep learning[J]. Natural Hazards and Earth System Sciences, 2024, 24 (1): 133- 144
[21]   RYZHKOV A, ZHANG P, BUKOVČIĆ P, et al Polarimetric radar quantitative precipitation estimation[J]. Remote Sensing, 2022, 14 (7): 1695
[22]   庄潇然, 郑玉, 王亚强, 等 基于深度学习的融合降水临近预报方法及其在中国东部地区的应用研究[J]. 气象学报, 2023, 81 (2): 286- 303
ZHUANG Xiaoran, ZHENG Yu, WANG Yaqiang, et al Research on fusion precipitation prediction method based on deep learning and its application in Eastern China[J]. Acta Meteorologica Sinica, 2023, 81 (2): 286- 303
[23]   CREMONINI R, VOORMANSIK T, POST P, et al Estimation of extreme precipitation events in Estonia and Italy using dual-polarization weather radar quantitative precipitation estimations[J]. Atmospheric Measurement Techniques, 2023, 16 (11): 2943- 2956
[24]   HUANG H, ZHAO K, ZHANG G, et al Quantitative precipitation estimation with operational polarimetric radar measurements in Southern China: a differential phase–based variational approach[J]. Journal of Atmospheric and Oceanic Technology, 2018, 35 (6): 1253- 1271
[25]   张永华. 基于深度学习的华南登陆台风偏振雷达定量降水估测研究 [D]. 南京: 南京信息工程大学, 2022.
ZHANG Yonghua. Research on quantitative precipitation estimation of landfalling typhoons in South China based on deep learning and polarimetric radar [D]. Nanjing: Nanjing University of Information Science and Technology, 2022.
[26]   GU X, WANG L, DENG Z, et al Adaptive spatial and frequency experts fusion network for medical image fusion[J]. Biomedical Signal Processing and Control, 2024, 96: 106478
[27]   COOLEY J W, TUKEY J W An algorithm for the machine calculation of complex Fourier series[J]. Mathematics of Computation, 1965, 19 (90): 297- 301
[28]   HOU Q, ZHOU D, FENG J. Coordinate attention for efficient mobile network design [C]//Proceedings of the IEEE/CVF Conference on Computer Vision and Pattern Recognition. Nashville: IEEE, 2021: 13708–13717.
[29]   KINGMA D P, BA J. Adam: a method for stochastic optimization [EB/OL]. (2014-12-22). https://arxiv.org/abs/1412.6980.
[30]   SMITH L N, TOPIN N. Super-convergence: very fast training of neural networks using large learning rates [C]//Proceedings of the Artificial Intelligence and Machine Learning for Multi-Domain Operations Applications. Baltimore: SPIE, 2019: 36.
[1] Xiaochun WU,Ning GUO. Lightweight detection method of water leakage in tunnel based on HMARU-net[J]. Journal of ZheJiang University (Engineering Science), 2026, 60(3): 468-477.
[2] Minghui YANG,Muyuan SONG,Daxi FU,Yanwei GUO,Xianzhui LU,Wencong ZHANG,Weilong ZHENG. Prediction of shield tunneling-induced soil settlement based on multi-head self-attention-Bi-LSTM model[J]. Journal of ZheJiang University (Engineering Science), 2026, 60(2): 415-424.
[3] Zhihang ZHU,Yunfeng YAN,Donglian QI. Image generation for power personnel behaviors based on diffusion model with multimodal prompts[J]. Journal of ZheJiang University (Engineering Science), 2026, 60(1): 43-51.
[4] Yue SUN,Xinglan ZHANG. Targeted adversarial attack method based on dual guidance[J]. Journal of ZheJiang University (Engineering Science), 2026, 60(1): 81-89.
[5] Jizhong DUAN,Haiyuan LI. Multi-scale parallel magnetic resonance imaging reconstruction based on variational model and Transformer[J]. Journal of ZheJiang University (Engineering Science), 2025, 59(9): 1826-1837.
[6] Fujian WANG,Zetian ZHANG,Xiqun CHEN,Dianhai WANG. Usage prediction of shared bike based on multi-channel graph aggregation attention mechanism[J]. Journal of ZheJiang University (Engineering Science), 2025, 59(9): 1986-1995.
[7] Hong ZHANG,Xuecheng ZHANG,Guoqiang WANG,Panlong GU,Nan JIANG. Real-time positioning and control of soft robot based on three-dimensional vision[J]. Journal of ZheJiang University (Engineering Science), 2025, 59(8): 1574-1582.
[8] Shengju WANG,Zan ZHANG. Missing value imputation algorithm based on accelerated diffusion model[J]. Journal of ZheJiang University (Engineering Science), 2025, 59(7): 1471-1480.
[9] Dongping ZHANG,Dawei WANG,Shuji HE,Siliang TANG,Zhiyong LIU,Zhongqiu LIU. Remaining useful life prediction of aircraft engines based on cross-dimensional feature fusion[J]. Journal of ZheJiang University (Engineering Science), 2025, 59(7): 1504-1513.
[10] Yongqing CAI,Cheng HAN,Wei QUAN,Wudi CHEN. Visual induced motion sickness estimation model based on attention mechanism[J]. Journal of ZheJiang University (Engineering Science), 2025, 59(6): 1110-1118.
[11] Lihong WANG,Xinqian LIU,Jing LI,Zhiquan FENG. Network intrusion detection method based on federated learning and spatiotemporal feature fusion[J]. Journal of ZheJiang University (Engineering Science), 2025, 59(6): 1201-1210.
[12] Huizhi XU,Xiuqing WANG. Perception of distance and speed of front vehicle based on vehicle image features[J]. Journal of ZheJiang University (Engineering Science), 2025, 59(6): 1219-1232.
[13] Zan CHEN,Ran LI,Yuanjing FENG,Yongqiang LI. Video snapshot compressive imaging reconstruction based on temporal super-resolution[J]. Journal of ZheJiang University (Engineering Science), 2025, 59(5): 956-963.
[14] Li MA,Yongshun WANG,Yao HU,Lei FAN. Pre-trained long-short spatiotemporal interleaved Transformer for traffic flow prediction applications[J]. Journal of ZheJiang University (Engineering Science), 2025, 59(4): 669-678.
[15] Qiaohong CHEN,Menghao GUO,Xian FANG,Qi SUN. Image captioning based on cross-modal cascaded diffusion model[J]. Journal of ZheJiang University (Engineering Science), 2025, 59(4): 787-794.