Please wait a minute...
Journal of ZheJiang University (Engineering Science)  2026, Vol. 60 Issue (3): 468-477    DOI: 10.3785/j.issn.1008-973X.2026.03.002
    
Lightweight detection method of water leakage in tunnel based on HMARU-net
Xiaochun WU(),Ning GUO
School of Automation and Electrical Engineering, Lanzhou Jiaotong University, Lanzhou 730070, China
Download: HTML     PDF(3363KB) HTML
Export: BibTeX | EndNote (RIS)      

Abstract  

The lightweight segmentation model HMARU-net was proposed in order to address the issues of low detection accuracy, slow detection speed, and poor interference resistance in existing subway tunnel lining water leakage detection models. HC-MobileNetV3 combined with self-calibrating convolution was employed as the backbone feature extraction network, achieving lightweight modeling while enhancing multi-scale feature extraction capability. The partial attention convolutional aggregation network was designed to enhance global information modeling and complex detail feature extraction through attention mechanism and residual structure. A residual module (RAEPC Block) was incorporated into the decoder to reduce computational demand while improving segmentation accuracy and interference resistance. An Attention Gate introduced in the skip-connection layer effectively mitigated semantic discrepancy between encoder and decoder. The experimental results demonstrated that HMARU-net achieved the mean intersection over union of 86.0%, mean pixel accuracy of 93.07%, and accuracy of 98.33%. Model complexity was significantly reduced, with only 3.134×106 parameters and 6.872×109 computations, enabling image processing speed of 78.967 frames per second. HMARU-net significantly improved detection accuracy and efficiency while offering strong lightweight advantage compared with other mainstream semantic segmentation models.



Key wordswater leakage      semantic segmentation      lightweight      disease detection      deep learning     
Received: 02 April 2025      Published: 04 February 2026
CLC:  U 45  
Fund:  国家自然科学基金资助项目(61661027);中央引导地方科技发展资金资助项目(24ZYQA044);甘肃省重点研发计划资助项目(22YF7GA141).
Cite this article:

Xiaochun WU,Ning GUO. Lightweight detection method of water leakage in tunnel based on HMARU-net. Journal of ZheJiang University (Engineering Science), 2026, 60(3): 468-477.

URL:

https://www.zjujournals.com/eng/10.3785/j.issn.1008-973X.2026.03.002     OR     https://www.zjujournals.com/eng/Y2026/V60/I3/468


基于HMARU-net的隧道渗漏水轻量化检测方法

针对现有地铁隧道衬砌渗漏水检测模型检测精度较低、检测速度较慢、抗干扰能力较差的问题,提出轻量化分割模型HMARU-net. 采用结合自校准卷积的HC-MobileNetV3作为主干特征提取网络,轻量化模型并提升多尺度特征提取能力. 设计部分注意力卷积聚合网络PACANet,通过注意力机制和残差结构,增强全局信息建模和复杂细节特征提取的能力. 构建残差模块RAEPC Block组成解码器,减少计算需求,提高分割精度和抗干扰能力. 在跳跃连接层引入Attention Gate,有效降低编、解码器之间的语义差异. 实验结果表明,HMARU-net的平均交并比、平均像素准确度和准确率分别达到86.0%、93.07%和98.33%. 模型复杂度大幅降低,参数量、计算量仅为3.134×106和6.872×109,图片处理速度达到78.967 帧/s. 与其他主流语义分割模型相比,HMARU-net显著提升了检测精度与效率,具有较强的轻量化优势.


关键词: 渗漏水,  语义分割,  轻量化,  病害检测,  深度学习 
Fig.1 Structure of HMARU-net
Fig.2 Structure of SC-bneck
Fig.3 Structure of self-calibration
序号输入特征尺寸操作类型ecSE激活函数s
06402×3Conv2d16HS2
13202×16bneck, 3×31616RE1
23202×16bneck, 3×36424RE2
31602×24bneck, 3×37224RE1
41602×24bneck, 5×57240+RE2
5802×40bneck, 5×512040+RE1
6802×40bneck, 5×512040+RE1
7802×40bneck, 3×324080HS2
8402×80bneck, 3×320080HS1
9402×80bneck, 3×318480HS1
10402×80bneck, 3×318480HS1
11402×80bneck, 3×3480112+HS1
12402×112SC-bneck, 3×3672112+HS1
13402×112SC-bneck, 5×5672160+HS2
14202×160SC-bneck, 5×5960160+HS1
15202×160SC-bneck, 5×5960160+HS1
Tab.1 HC-MobileNetV3 network configuration
Fig.4 Structure of RAEPC Block
Fig.5 Structure of PACANet
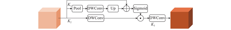
Fig.6 Structure of Attention Gate
类别参数
工作方式相位式
扫描距离0.6~350 m
扫描现场角水平360°,垂直300°
扫描速度106点/s
行走速度50~5000 m/h
测距精度±1 mm
角精度≥19角秒
相机同轴影像内置1.65亿像素
Tab.2 Parameter of MS100 acquisition device
Fig.7 MS100 mobile 3D scanning system
Fig.8 Illustration of image cropping
Fig.9 Schematic representation of specific enhancement
Fig.10 Data-enhanced image and labeled diagram
Fig.11 Loss curve of HMARU-net
训练集、验证集、测试集的比例mIOU/%mPA/%acc/%
8∶1∶186.0093.0798.33
7∶2∶185.2591.7997.99
6∶2∶285.1391.4698.15
Tab.3 Comparison of data set proportion
损失函数mIOU/%mPA/%acc/%
统一损失函数86.0093.0798.33
交叉熵损失函数83.6690.1098.07
Tab.4 Comparison of loss function
主干网络mIOU/%mPA/%acc/%Np/106FLOPs/109v/(帧·s-1)
VGG1681.3590.0697.6524.891705.73814.83
MobilenetV281.7990.6297.703.44912.272104.01
MobilenetV383.2891.3197.943.2958.58896.883
MobilenetV4M82.0091.2697.7111.07836.22081.23
Ghostnet83.1791.1697.932.9997.37278.36
HC-MobileNetV384.1892.5998.043.3258.65191.521
Tab.5 Comparison of backbone network
模型mIOU/%mPA/%acc/%Np/106FLOPs/109v/(帧·s-1)
U-net81.3590.0697.6524.891705.73814.830
U-net+HC-MobileNetV384.1892.5998.043.3258.65191.521
U-net+HC-MobileNetV3+RAEPC Block85.3792.7098.243.0946.43782.965
U-net+HC-MobileNetV3+Attention Gate85.4892.6998.263.3659.08589.367
U-net+HC-MobileNetV3+RAEPC Block +Attention Gate86.0093.0798.333.1346.87279.102
Tab.6 Ablation experiment
模型mIOU/%mPA/%acc/%Np/106FLOPs/109v/(帧·s-1)
Deeplabv3+77.9086.8097.1654.709260.68829.680
PSPnet79.8787.2697.5346.707184.98242.710
U-net81.3590.0697.6524.891705.73814.830
Segformer77.3987.3297.013.71521.15261.730
文献2377.6091.4796.755.81382.60469.253
TR-Unet83.9491.3898.0626.360762.2847.356
文献2479.4489.7797.2811.72075.72969.522
HMARU-net86.0093.0798.333.1346.87278.967
Tab.7 Comparative experimental result of different models
Fig.12 Visualization of segmentation effects of different models
[1]   侯秀芳, 冯晨, 燕汉民, 等 2024年中国内地城市轨道交通运营线路概况[J]. 都市快轨交通, 2025, 38 (1): 13- 19
HOU Xiufang, FENG Chen, YAN Hanmin, et al Overview of urban rail transit operations in Chinese China’s mainland in 2024[J]. Urban Rapid Rail Transit, 2025, 38 (1): 13- 19
[2]   TAN L, CHEN X, HU X, et al. DMDSNet: a computer vision-based dual multi-task model for tunnel bolt detection and corrosion segmentation [C]//Proceedings of the IEEE 26th International Conference on Intelligent Transportation Systems. Bilbao: IEEE, 2024: 4827–4833.
[3]   李健超, 柴雪松, 马学志, 等 铁路隧道衬砌表观病害等级评定研究[J]. 铁道建筑, 2023, 63 (4): 73- 76
LI Jianchao, CHAI Xuesong, MA Xuezhi, et al Research on evaluation of surface disease grade for railway tunnel lining[J]. Railway Engineering, 2023, 63 (4): 73- 76
doi: 10.3969/j.issn.1003-1995.2023.04.17
[4]   常瑞清. 襄渝线隧道渗漏水病害分析与修理工作策略优化研究 [D]. 北京: 中国铁道科学研究院, 2023: 1–10.
CHANG Ruiqing. Analysis of water-seepage disease and optimization of repair strategy in Xiangyu Railway Tunnel [D]. Beijing: China Academy of Railway Sciences, 2023: 1-10.
[5]   黄宏伟, 李庆桐 基于深度学习的盾构隧道渗漏水病害图像识别[J]. 岩石力学与工程学报, 2017, 36 (12): 2861- 2871
HUANG Hongwei, LI Qingtong Image recognition for water leakage in shield tunnel based on deep learning[J]. Chinese Journal of Rock Mechanics and Engineering, 2017, 36 (12): 2861- 2871
doi: 10.13722/j.cnki.jrme.2017.0552
[6]   宋娟, 贺龙喜, 龙会平 基于深度学习的隧道衬砌多病害检测算法[J]. 浙江大学学报: 工学版, 2024, 58 (6): 1161- 1173
SONG Juan, HE Longxi, LONG Huiping Deep learning-based algorithm for multi defect detection in tunnel lining[J]. Journal of Zhejiang University: Engineering Science, 2024, 58 (6): 1161- 1173
doi: 10.3785/j.issn.1008-973X.2024.06.007
[7]   王健, 郑理科, 吴斌杰, 等 改进Mask RCNN的盾构隧道渗漏水检测方法[J]. 测绘通报, 2024, (2): 170- 177
WANG Jian, ZHENG Like, WU Binjie, et al Improved Mask RCNN method for shield tunnel leakage detection[J]. Bulletin of Surveying and Mapping, 2024, (2): 170- 177
doi: 10.13474/j.cnki.11-2246.2024.0232
[8]   周中, 张俊杰, 龚琛杰, 等 基于深度语义分割的隧道渗漏水智能识别[J]. 岩石力学与工程学报, 2022, 41 (10): 2082- 2093
ZHOU Zhong, ZHANG Junjie, GONG Chenjie, et al Automatic identification of tunnel leakage based on deep semantic segmentation[J]. Chinese Journal of Rock Mechanics and Engineering, 2022, 41 (10): 2082- 2093
doi: 10.13722/j.cnki.jrme.2022.0016
[9]   TAN L, HU X, TANG T, et al A lightweight metro tunnel water leakage identification algorithm via machine vision[J]. Engineering Failure Analysis, 2023, 150: 107327
doi: 10.1016/j.engfailanal.2023.107327
[10]   WANG P, SHI G Image segmentation of tunnel water leakage defects in complex environments using an improved Unet model[J]. Scientific Reports, 2024, 14: 24286
doi: 10.1038/s41598-024-75723-4
[11]   RONNEBERGER O, FISCHER P, BROX T. U-Net: convolutional networks for biomedical image segmentation [C]//Medical Image Computing and Computer-Assisted Intervention. Cham: Springer, 2015: 234–241.
[12]   杨栋杰, 高贤君, 冉树浩, 等 基于多重多尺度融合注意力网络的建筑物提取[J]. 浙江大学学报: 工学版, 2022, 56 (10): 1924- 1934
YANG Dongjie, GAO Xianjun, RAN Shuhao, et al Building extraction based on multiple multiscale-feature fusion attention network[J]. Journal of Zhejiang University: Engineering Science, 2022, 56 (10): 1924- 1934
doi: 10.3785/j.issn.1008-973X.2022.10.004
[13]   吴泽康, 赵姗, 李宏伟, 等 遥感图像语义分割空间全局上下文信息网络[J]. 浙江大学学报: 工学版, 2022, 56 (4): 795- 802
WU Zekang, ZHAO Shan, LI Hongwei, et al Spatial global context information network for semantic segmentation of remote sensing image[J]. Journal of Zhejiang University: Engineering Science, 2022, 56 (4): 795- 802
doi: 10.3785/j.issn.1008-973X.2022.04.019
[14]   SIMONYAN K, ZISSERMAN A. Very deep convolutional networks for large-scale image recognition [EB/OL]. [2025-03-15]. https://arxiv.org/abs/1409.1556
[15]   HOWARD A, SANDLER M, CHEN B, et al. Searching for MobileNetV3 [C]//Proceedings of the IEEE/CVF International Conference on Computer Vision. Seoul: IEEE, 2019: 1314-1324.
[16]   LIU J J, HOU Q, CHENG M M, et al. Improving convolutional networks with self-calibrated convolutions [C]//Proceedings of the IEEE/CVF Conference on Computer Vision and Pattern Recognition. Seattle: IEEE, 2020: 10093–10102.
[17]   CHEN J, KAO S H, HE H, et al. Run, don’t walk: chasing higher FLOPS for faster neural networks [C]//Proceedings of the IEEE/CVF Conference on Computer Vision and Pattern Recognition. Vancouver: IEEE, 2023: 12021–12031.
[18]   OKTAY O, SCHLEMPER J, LE FOLGOC L, et al. Attention U-Net: learning where to look for the pancreas [EB/OL]. [2025-03-15]. https://arxiv.org/abs/1804.03999
[19]   LIN T Y, GOYAL P, GIRSHICK R, et al. Focal loss for dense object detection [C]//Proceedings of the IEEE International Conference on Computer Vision. Venice: IEEE, 2017: 2999–3007.
[20]   CHEN L C, ZHU Y, PAPANDREOU G, et al. Encoder-decoder with atrous separable convolution for semantic image segmentation [C]// Proceedings of the European Conference on Computer Vision. Cham: Springer, 2018: 833–851.
[21]   ZHAO H, SHI J, QI X, et al. Pyramid scene parsing network [C]//Proceedings of the IEEE Conference on Computer Vision and Pattern Recognition. Honolulu: IEEE, 2017: 6230–6239.
[22]   XIE E, WANG W, YU Z, et al. SegFormer: simple and efficient design for semantic segmentation with transformers [EB/OL]. [2025-03-15]. https://arxiv.org/abs/2105.15203.
[23]   郭道俊, 周幸宇, 许崇帮, 等 基于DeepLabV3+网络改进的快速隧道病害分割方法[J]. 公路交通科技, 2023, 40 (8): 127- 135
GUO Daojun, ZHOU Xingyu, XU Chongbang, et al Improved fast tunnel disease segmentation method based on DeepLabV3+ network[J]. Journal of Highway and Transportation Research and Development, 2023, 40 (8): 127- 135
doi: 10.3969/j.issn.1002-0268.2023.08.018
[24]   WANG D, HOU G, CHEN Q, et al Segmentation of tunnel water leakage based on a lightweight DeepLabV3+ model[J]. Measurement Science and Technology, 2025, 36 (1): 015414
doi: 10.1088/1361-6501/ad894f
[25]   陈曦, 张坤, 王伟, 等 基于TR-Unet的隧道渗漏水智能识别方法[J]. 应用基础与工程科学学报, 2025, 33 (2): 514- 525
CHEN Xi, ZHANG Kun, WANG Wei, et al Intelligent identification of tunnel water leakage based on TR-Unet[J]. Journal of Basic Science and Engineering, 2025, 33 (2): 514- 525
doi: 10.16058/j.issn.1005-0930.2025.02.018
[1] Minghui YANG,Muyuan SONG,Daxi FU,Yanwei GUO,Xianzhui LU,Wencong ZHANG,Weilong ZHENG. Prediction of shield tunneling-induced soil settlement based on multi-head self-attention-Bi-LSTM model[J]. Journal of ZheJiang University (Engineering Science), 2026, 60(2): 415-424.
[2] Zhihang ZHU,Yunfeng YAN,Donglian QI. Image generation for power personnel behaviors based on diffusion model with multimodal prompts[J]. Journal of ZheJiang University (Engineering Science), 2026, 60(1): 43-51.
[3] Yue SUN,Xinglan ZHANG. Targeted adversarial attack method based on dual guidance[J]. Journal of ZheJiang University (Engineering Science), 2026, 60(1): 81-89.
[4] Jizhong DUAN,Haiyuan LI. Multi-scale parallel magnetic resonance imaging reconstruction based on variational model and Transformer[J]. Journal of ZheJiang University (Engineering Science), 2025, 59(9): 1826-1837.
[5] Chaoqun DONG,Zhan WANG,Ping LIAO,Shuai XIE,Yujie RONG,Jingsong ZHOU. Lightweight YOLOv5s-OCG rail sleeper crack detection algorithm[J]. Journal of ZheJiang University (Engineering Science), 2025, 59(9): 1838-1845.
[6] Fujian WANG,Zetian ZHANG,Xiqun CHEN,Dianhai WANG. Usage prediction of shared bike based on multi-channel graph aggregation attention mechanism[J]. Journal of ZheJiang University (Engineering Science), 2025, 59(9): 1986-1995.
[7] Pengzhi LIN,Ming’en ZHONG,Kang FAN,Jiawei TAN,Zhiqiang LIN. Traffic scene perception algorithm based on cross-task bidirectional feature interaction[J]. Journal of ZheJiang University (Engineering Science), 2025, 59(9): 1784-1792.
[8] Hong ZHANG,Xuecheng ZHANG,Guoqiang WANG,Panlong GU,Nan JIANG. Real-time positioning and control of soft robot based on three-dimensional vision[J]. Journal of ZheJiang University (Engineering Science), 2025, 59(8): 1574-1582.
[9] Yahong ZHAI,Yaling CHEN,Longyan XU,Yu GONG. Improved YOLOv8s lightweight small target detection algorithm of UAV aerial image[J]. Journal of ZheJiang University (Engineering Science), 2025, 59(8): 1708-1717.
[10] Xinyu WEI,Lei RAO,Guangyu FAN,Niansheng CHEN,Songlin CHENG,Dingyu YANG. High-precision real-time semantic segmentation network for UAV remote sensing images[J]. Journal of ZheJiang University (Engineering Science), 2025, 59(7): 1411-1420.
[11] Shengju WANG,Zan ZHANG. Missing value imputation algorithm based on accelerated diffusion model[J]. Journal of ZheJiang University (Engineering Science), 2025, 59(7): 1471-1480.
[12] Dongping ZHANG,Dawei WANG,Shuji HE,Siliang TANG,Zhiyong LIU,Zhongqiu LIU. Remaining useful life prediction of aircraft engines based on cross-dimensional feature fusion[J]. Journal of ZheJiang University (Engineering Science), 2025, 59(7): 1504-1513.
[13] Yongqing CAI,Cheng HAN,Wei QUAN,Wudi CHEN. Visual induced motion sickness estimation model based on attention mechanism[J]. Journal of ZheJiang University (Engineering Science), 2025, 59(6): 1110-1118.
[14] Lihong WANG,Xinqian LIU,Jing LI,Zhiquan FENG. Network intrusion detection method based on federated learning and spatiotemporal feature fusion[J]. Journal of ZheJiang University (Engineering Science), 2025, 59(6): 1201-1210.
[15] Huizhi XU,Xiuqing WANG. Perception of distance and speed of front vehicle based on vehicle image features[J]. Journal of ZheJiang University (Engineering Science), 2025, 59(6): 1219-1232.