Please wait a minute...
工程设计学报  2026, Vol. 33 Issue (2): 254-264    DOI: 10.3785/j.issn.1006-754X.2026.05.169
优化设计     
辊轧机传动系统齿轮修形优化
杨辛未1,2(),关骏男1(),刘辉1,2,周嘉东1
1.辽宁工程技术大学 机械工程学院,辽宁 阜新 123000
2.辽宁工程技术大学 鄂尔多斯研究院,内蒙古 鄂尔多斯 017010
Optimization of gear modification for transmission systems of rolling mills
Xinwei YANG1,2(),Junnan GUAN1(),Hui LIU1,2,Jiadong ZHOU1
1.School of Mechanical Engineering, Liaoning Technical University, Fuxin 123000, China
2.Erdos Research Institute, Liaoning Technical University, Erdos 017010, China
 全文: PDF(5509 KB)   HTML
摘要:

面向航空发动机叶片辊轧机齿轮传动系统的高可靠性需求,采用多维度仿真与优化方法提升其综合性能。利用Romax软件构建齿轮传动系统的虚拟模型,结合静力学与动力学分析,识别出高载齿轮Z3、Z6;通过内部激励分析揭示齿轮啮合冲击特性,并基于Blok理论建立齿面闪温模型,获得温度沿齿面距离及滚动角的分布规律。采用第2代遗传算法对高载齿轮进行复合修形优化,结果表明:修形后齿面接触应力分布由阶梯状改善为均匀拱形,最大应力降低了20.47%~44.94%;传动误差波动范围从11.97~14.56 μm缩小至2.26~4.53 μm,幅值降低了68.89%~84.15%;齿面最高温度下降了5.3%~13.18%,热集中现象显著缓解。研究证实,复合修形可以协同优化齿轮传动系统的力学、运动学及热力学性能,为航空辊轧机高精度齿轮的可靠性设计提供了理论依据。

关键词: Romax齿轮修形齿轮动力学优化设计    
Abstract:

To meet the high-reliability demands of the gear transmission systems in aero-engine blade rolling mills, multi-dimensional simulation and optimization methods were employed to improve the comprehensive performance. A virtual gear transmission system model was built using Romax software, and the high-load gears Z3 and Z6 were identified by combining static and dynamic analyses. Internal excitation analysis revealed the gear meshing impact characteristics, and a tooth surface flash temperature model was built based on Blok theory to obtain the temperature distribution along the tooth surface distance and the rolling angle. The second-generation genetic algorithm was used to optimize the composite modification of high-load gears. The results showed that after modification, the contact stress distribution on the tooth surface was improved from a step-like pattern to a uniform arch-shaped pattern, with the maximum stress reduced by 20.47%-44.94%. The fluctuation range of transmission error was reduced from 11.97-14.56 μm to 2.26-4.53 μm, and the amplitude was reduced by 68.89%-84.15%. The maximum tooth surface temperature decreased by 5.3%-13.18%, and the thermal concentration phenomenon was significantly alleviated. This study demonstrates that composite modification can synergistically optimize the mechanical, kinematic, and thermodynamic performance of gear transmission systems, providing a theoretical basis for the reliability design of high-precision gears in aviation rolling mills.

Key words: Romax    gear modification    gear dynamics    design optimization
收稿日期: 2025-08-14 出版日期: 2026-04-28
CLC:  TH 122  
基金资助: 国家自然科学基金青年科学基金资助项目(52204214);中国博士后科学基金资助项目(2023M741502);“兴辽英才计划”资助项目(XLYC2403090);辽宁省教育厅基本科研项目(LJ212410147038);辽宁省自然基金联合基金计划资助项目(20240303);辽宁工程技术大学鄂尔多斯研究院校地科技合作培育项目(YJY-XD-2023-009)
通讯作者: 关骏男     E-mail: ybestxinwei@163.com;15840663421@163.com
作者简介: 杨辛未(1991—),男,副教授,博士,从事机械设计理论与方法、工矿装备自动化与智能化研究,E-mail: ybestxinwei@163.com, https://orcid.org/0000-0002-1670-0138
服务  
把本文推荐给朋友
加入引用管理器
E-mail Alert
RSS
作者相关文章  
杨辛未
关骏男
刘辉
周嘉东

引用本文:

杨辛未,关骏男,刘辉,周嘉东. 辊轧机传动系统齿轮修形优化[J]. 工程设计学报, 2026, 33(2): 254-264.

Xinwei YANG,Junnan GUAN,Hui LIU,Jiadong ZHOU. Optimization of gear modification for transmission systems of rolling mills[J]. Chinese Journal of Engineering Design, 2026, 33(2): 254-264.

链接本文:

https://www.zjujournals.com/gcsjxb/CN/10.3785/j.issn.1006-754X.2026.05.169        https://www.zjujournals.com/gcsjxb/CN/Y2026/V33/I2/254

图1  辊轧机传动系统模型
参数数值
大齿轮小齿轮
齿数5117
模数88
齿宽/mm3535
压力角/(°)2020
轴孔半径/mm121.041.5
表1  齿轮副主要参数
图2  辊轧机转矩、转速示意图
组件转速/(r·min-1)转矩/(N·m)
上托辊0.34 080
中间上托辊-0.9-1 360
中间下托辊0.91 360
下托辊-0.3-4 080
表2  辊轧机工况
图3  外激励下中间托辊的横向偏移量
位置齿轮副最大接触应力/MPa
上托辊Z1-Z2894
Z5-Z61 104
中间托辊Z2-Z31 580
Z6-Z71 560
下托辊Z3-Z42 025
Z7-Z81 720
表3  齿轮啮合时的接触应力
位置齿轮副传动误差最大值/μm传动误差最小值/μm幅值/μm
上托辊Z1-Z217.749.318.43
Z5-Z630.8016.2914.51
中间托辊Z2-Z326.5314.2512.28
Z6-Z725.8613.8911.97
下托辊Z3-Z430.6416.3814.26
Z7-Z818.159.678.48
表4  齿轮啮合传动误差
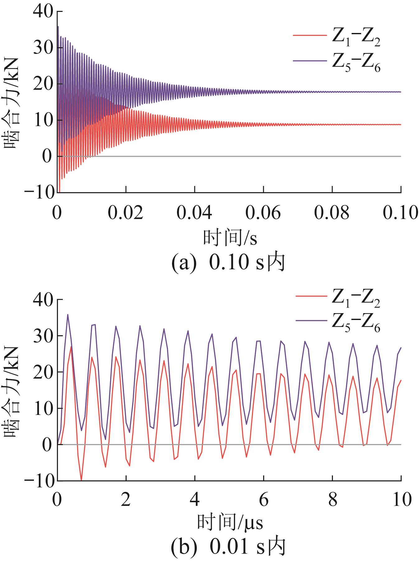
图4  齿轮副Z1 -Z2 与Z5 -Z6 的啮合力
图5  齿轮副Z2 -Z3 与Z6 -Z7 的啮合力
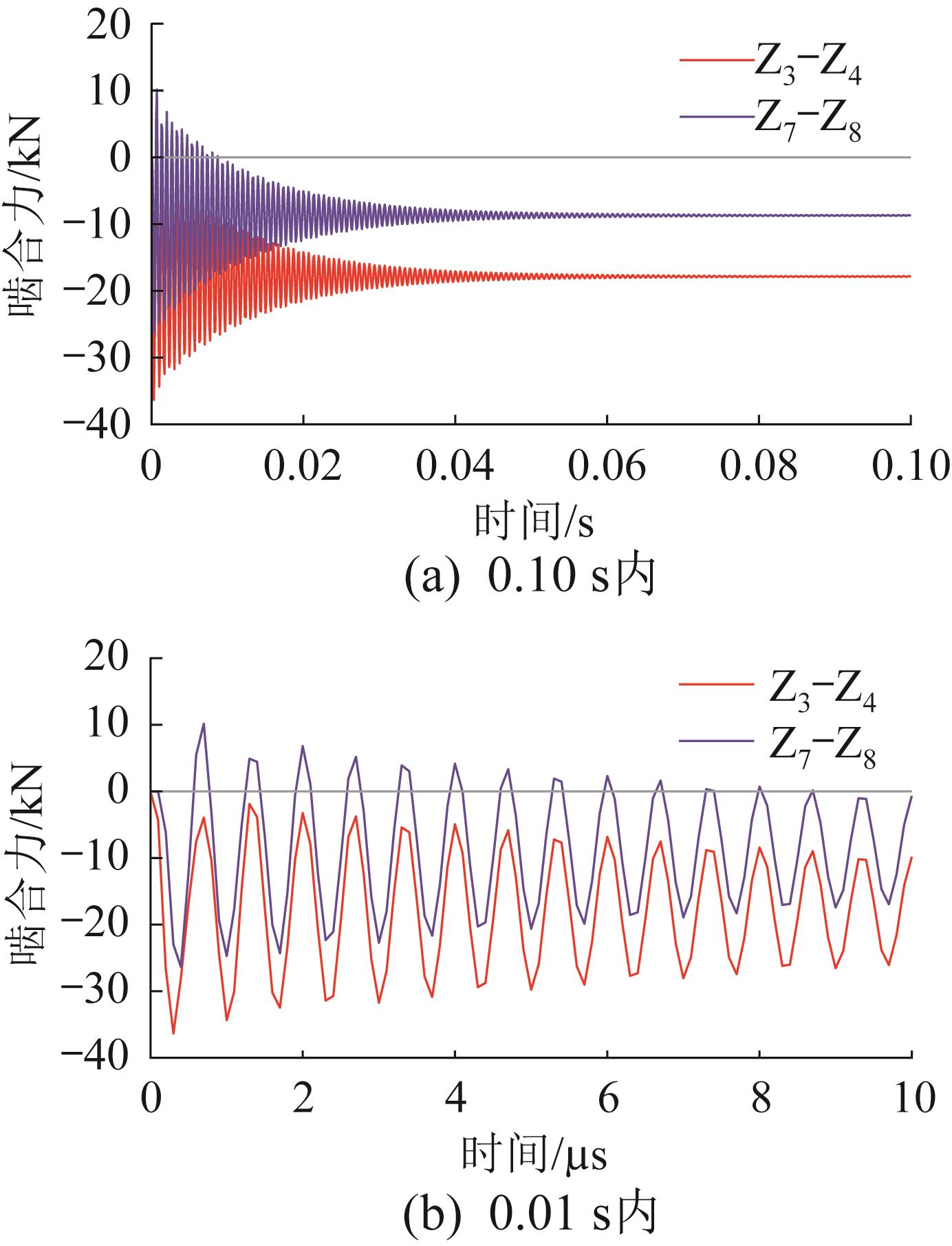
图6  齿轮副Z3 -Z4 与Z7 -Z8 的啮合力
齿轮齿轮副啮合状态齿面距离/mm滚动角/(°)最高齿面温度/℃最大温差/℃
Z2Z1-Z2啮出0~1032.318~40.25965.484.70
啮入0~50~12.46565.024.24
Z2-Z3啮出0~1032.831~36.80178.6016.40
啮入0~50~12.46579.0516.85
Z3Z2-Z3啮出0~100~7.55479.0516.85
啮入0~1031.337~35.34877.3715.17
Z3-Z4啮入0~260~4.97275.6514.00
Z6Z5-Z6啮出0~1032.318~40.25968.407.06
啮入0~100~12.46567.716.37
Z6-Z7啮出30~3532.831~36.80178.6016.40
啮入30~350~9.00776.9614.76
Z7Z6-Z7啮出30~350~7.55478.6016.40
啮入30~3531.337~35.34876.9614.76
Z7-Z8啮入20~350~4.97271.1010.15
表5  齿面闪温分析的关键参数与结果
图7  典型齿轮修形方式
图8  小齿轮Z3 、Z6 的工作齿面示意图
图9  小齿轮Z3 的修形方案得分
图10  小齿轮Z6 的修形方案得分
修形方式修形量/μm
Z3(左)Z3(右)Z6(左)Z6(右)
齿向斜度8.7-0.2-13.17.5
齿向鼓形3.47.05.10.2
渐开线斜度12.30.912.210.2
渐开线鼓形30.030.030.028.7
齿顶修缘35.027.126.736.4
表6  遗传算法优化后的最佳修形方案
图11  Z3 与下托辊啮合处的接触应力分布
图12  Z3/Z6 与中间托辊啮合处的接触应力分布
图13  Z6 与上托辊啮合处的接触应力分布
齿轮啮合位置最大接触应力降幅/%
Z3Z2-Z323.10
Z3-Z444.94
Z6Z5-Z620.47
Z6-Z725.00
表7  不同啮合位置的最大接触应力降幅
图14  Z3 与下托辊啮合处的传动误差
图15  Z3/Z6 与中间托辊啮合处的传动误差
图16  Z6 与上托辊啮合处的传动误差
齿轮啮合位置传动误差降幅/%
Z3Z2-Z374.27
Z3-Z484.15
Z6Z5-Z668.89
Z6-Z780.95
表8  不同啮合位置的传动误差降幅
图17  Z3 与下托辊啮合处的齿面温度
图18  Z3/Z6 与中间托辊啮合处的齿面温度
图19  Z6 与上托辊啮合处的齿面温度
齿轮啮合位置齿面最高温度降幅/%
Z3Z2-Z312.76
Z3-Z411.80
Z6Z5-Z65.30
Z6-Z713.18
表9  不同啮合位置的齿面最高温度降幅
  
[1] 房雪洋, 马自勇, 田英虎, 等. 矿用点线啮合齿轮齿廓修形及接触特性研究[J]. 太原科技大学学报, 2025, 46(1): 34-40.
FANG X Y, MA Z Y, TIAN Y H, et al. Study on profile modification and contact of point-line meshing gear used in mining machine [J]. Journal of Taiyuan University of Science and Technology, 2025, 46(1): 34-40.
[2] 李大庆, 毛亚洲, 张宇轩, 等. 齿面修形量对面齿轮副啮合性能的影响[J]. 现代制造工程, 2025(1): 80-86.
LI D Q, MAO Y Z, ZHANG Y X, et al. The influence of pinion modification amount on the meshing performance of face gears [J]. Modern Manufacturing Engineering, 2025(1): 80-86.
[3] 薛建华, 李威. 齿廓修形机理及其对温度场的影响[J]. 东北大学学报(自然科学版), 2013, 34(12): 1763-1767. doi:10.3969/j.issn.1005-3026.2013.12.022
XUE J H, LI W. Tooth profile modification mechanism and its influence on temperature fields [J]. Journal of Northeastern University (Natural Science), 2013, 34(12): 1763-1767.
doi: 10.3969/j.issn.1005-3026.2013.12.022
[4] 杨微, 许刚. 某同轴型电驱减速器齿轮修形优化分析[J]. 科技与创新, 2025( 1): 159-161.
YANG W, XU G. Optimization analysis of gear modification of a coaxial electric drive reducer [J]. Science and Technology & Innovation, 2025 (1): 159-161.
[5] 汤海乐, 赵秀栩, 张景, 等. 新能源汽车变速箱齿轮修形分析与优化[J]. 重庆理工大学学报(自然科学), 2025, 39(1): 177-184. doi:10.3969/j.issn.1674-8425(z).2025.01.023
TANG H L, ZHAO X X, ZHANG J, et al. Analysis and optimization of gearing modification of gearbox of new energy vehicles [J]. Journal of Chongqing University of Technology (Natural Science), 2025, 39(1): 177-184.
doi: 10.3969/j.issn.1674-8425(z).2025.01.023
[6] 侯晓燕, 王曦, 周越. 考虑圆弧修形和交错角的人字齿轮啮合行为分析[J]. 西安交通大学学报, 2025, 59(4):180-192.
HOU X Y, WANG X, ZHOU Y. Analysis on the meshing behavior of double helical gear considering arc modification and stagger angle [J].Journal of Xi’an Jiaotong University, 2025, 59(4): 180-192.
[7] 苏进展, 冯要克, 刘镔, 等. 双圆弧刀具加工直齿锥齿轮的啮合性能分析及优化[J]. 中国机械工程, 2025, 36(8): 1683-1690. doi:10.3969/j.issn.1004-132X.2025.08.004
SU J Z, FENG Y K, LIU B, et al. Analysis and optimization of meshing performance of straight bevel gears machined by dual interlocking circular cutters [J]. China Mechanical Engineering, 2025, 36(8): 1683-1690.
doi: 10.3969/j.issn.1004-132X.2025.08.004
[8] 王振博, 郑鹏, 刘逸飞. 基于神经网络优化的正交试验内齿轮齿面偏载矫正研究[J]. 机械传动, 2023, 47(8): 16-23.
WANG Z B, ZHENG P, LIU Y F. Research on correcting eccentric load of the internal gear tooth surface by orthogonal tests based on neural network optimization [J]. Journal of Mechanical Transmission, 2023, 47(8):16-23.
[9] RAUT A S, KHOT S M, SALUNKHE V G. Optimization of geometrical features of spur gear pair teeth for minimization of vibration generation [J]. Journal of Vibration Engineering & Technologies, 2024, 12(1): 533-545.
[10] GHOSH S S, CHAKRABORTY G. On optimal tooth profile modification for reduction of vibration and noise in spur gear pairs [J]. Mechanism and Machine Theory, 2016, 105: 145-163.
[11] CARBONELLI A, RIGAUD E, PERRET-LIAUDET J. Vibro-acoustic analysis of geared systems:predicting and controlling the whining noise [M] //Automotive NVH Technology. Cham:Springer, 2016: 63-79.
[12] BRUYÈRE J, Velex P. Towards general performance diagrams to define optimum profile and lead modifications with regard to transmission error in spur and helical gears [J]. Mechanism and Machine Theory, 2022, 176: 105021.
[13] 刘震.高精度叶片辊轧机传动系统动态特性的研究[D].阜新:辽宁工程技术大学, 2014.
LIU Z. Study on the dynamic characteristics of the high precision leaf-roller rolling mill drive system [D]. Fuxin:Liaoning Technical University, 2014.
[14] CHAARI F, FAKHFAKH T, HADDAR M. Analytical modelling of spur gear tooth crack and influence on gear mesh stiffness [J]. European Journal of Mechanics A/Solids, 2008, 28(3): 461-468.
[15] 陈洪月, 李玉珠, 张钊, 等. 采煤机摇臂齿轮传动系统固-热-力耦合特性分析[J]. 煤炭学报, 2018, 43(3): 878-887.
CHEN H Y, LI Y Z, ZHANG Z, et al. Analysis of solid-thermal-mechanical coupling characteristics of rocker-arm gear drive system of shearer [J]. Journal of China Coal Society, 2018, 43(3): 878-887.
[16] 薛建华, 李威. 斜齿圆柱齿轮副热机耦合三维有限元分析[J]. 华中科技大学学报(自然科学版), 2013, 41(10): 54-58.
XUE J H, LI W. Analyzing thermo-mechanical coupling of helical gear pair by three-dimensional finite element model [J]. Journal of Huazhong University of Science and Technology (Natural Science Edition), 2013,41(10): 54-58.
[17] 靳立红. 采煤机截割部齿轮传动系统温度场分析与承载接触性能研究[D]. 哈尔滨: 哈尔滨理工大学, 2023.
JIN L H. Analysis of temperature field and load-bearing contact performance of gear transmission system of shearer cutting section [D]. Harbin: Harbin University of Science and Technology, 2023.
[18] 石莹. 基于摩擦学的机车牵引齿轮力学性能研究[D]. 大连: 大连交通大学, 2013.
SHI Y. Study on mechanical properties of locomotive traction gear based on tribology [D]. Dalian: Dalian Jiaotong University, 2013.
[19] BLOK H. Theoretical study of temperature rise at surface of actual contact under oiliness lubricating conditions [C]//General Discussion on Lubrication & Lubricants. London: Institution of Mechanical Engineers, 1937: 222-235.
[20] 杨萍, 杨沛然. 斜齿圆柱齿轮的热弹流润滑理论[J]. 机械工程学报, 2006(10): 43-48. doi:10.3321/j.issn:0577-6686.2006.10.007
YANG P, YANG P R. Theory of thermal elastohydrodynamic lubrication for helical gears [J]. Journal of Mechanical Engineering, 2006(10): 43-48.
doi: 10.3321/j.issn:0577-6686.2006.10.007
[1] 齐杨,娄元航. 多体节叠加型混联机构正运动学建模与优化设计[J]. 工程设计学报, 2026, 33(2): 190-203.
[2] 刘鑫,吴青锋,杨文广. 基于自适应Kriging代理模型的工程机械结构优化设计方法[J]. 工程设计学报, 2025, 32(6): 735-744.
[3] 刘东,胡国良,张佳伟,喻理梵. 变刚度变阻尼磁流变阻尼器的优化设计及性能分析[J]. 工程设计学报, 2025, 32(5): 686-695.
[4] 李浩,王颖,马耀帅,孙春亚,黄荣杰,王昊琪,李琳利. 基于Kriging模型的大型立式磨机选粉机结构优化设计研究[J]. 工程设计学报, 2024, 31(6): 801-809.
[5] 董青,张天祥,戚其松,徐格宁. 基于结构功能衍生系数的桥式起重机金属结构优化设计[J]. 工程设计学报, 2024, 31(6): 810-822.
[6] 曹望城,韩佳轩,姚廷强. 基于参数化多体动力学模型的内齿式回转支承动态优化设计[J]. 工程设计学报, 2024, 31(2): 168-177.
[7] 蔡锦云,刘忠,王罡,赵庆斌,安宁,杜旭伟,李东良,李源周. 基于响应面法的绞磨机辅助拉尾绳装置优化设计[J]. 工程设计学报, 2024, 31(2): 178-187.
[8] 戚其松,李成刚,董青,陈钰浩,徐航. 起重机生命周期载荷谱预测及基于疲劳寿命的结构优化设计[J]. 工程设计学报, 2023, 30(3): 380-389.
[9] 张正峰,宋小雨,袁晓磊,陈文娟,张伟东. Al/CFRP混合薄壁结构耐撞性能可靠性优化设计[J]. 工程设计学报, 2022, 29(6): 720-730.
[10] 孙光明,王奕苗,万仟,弓堃,汪文津,赵坚. 考虑装配变形的精密机床床身优化设计[J]. 工程设计学报, 2022, 29(3): 318-326.
[11] 陈振, 李涛, 薛晓伟, 周阳, 敬爽, 陈言. 基于模糊综合评价法的可控震源振动器平板疲劳可靠性分析与优化[J]. 工程设计学报, 2021, 28(4): 415-425.
[12] 张锦, 刘佩珊, 殷玉枫. Y形旋转超声波马达的设计与动态特性分析[J]. 工程设计学报, 2021, 28(2): 248-254.
[13] 刘永江, 彭宣霖, 唐雄辉, 李华, 齐紫梅. 轴流散热风机共振失效分析与优化设计[J]. 工程设计学报, 2021, 28(2): 203-209.
[14] 魏巍, 林载盛. 基于RIR-MOO的定制产品优化设计方法研究[J]. 工程设计学报, 2020, 27(5): 592-599.
[15] 孙月海, 唐二星. 弧齿锥齿轮基本参数优化设计[J]. 工程设计学报, 2020, 27(5): 616-624.