Please wait a minute...
Journal of ZheJiang University (Engineering Science)  2026, Vol. 60 Issue (4): 702-711    DOI: 10.3785/j.issn.1008-973X.2026.04.003
    
Local path planning based on an improved time elastic band algorithm
Xin HU1(),Jiazhong ZHANG1,Shuai HU1,Jian XIAO2,*(),Shiwei LUO3,Liang MA3
1. School of Energy and Electrical Engineering, Chang’an University, Xi’an 710064, China
2. School of Electronics and Control Engineering, Chang’an University, Xi’an 710064, China
3. Shaanxi 210 Research Institute Co. Ltd. of China Shaanxi Nuclear Industry Group, Xianyang 712000, China
Download: HTML     PDF(2149KB) HTML
Export: BibTeX | EndNote (RIS)      

Abstract  

Aiming at the problems of sudden changes in the acceleration rate and unsmooth control instructions of the time elastic band (TEB) algorithm in complex environments, an improved TEB algorithm was proposed. Firstly, this algorithm introduced the jerk constraint on the basis of the original TEB algorithm to smooth the velocity and acceleration curves and avoid oscillation and jitter phenomena of the robot during the movement process. Secondly, the method of adaptively adjusting the number of elastic band nodes was adopted to adaptively adjust the interpolation points, which improved the safety and stability of the robot’s movement process. To verify the effectiveness of the improved TEB algorithm, simulation and comparative experiments of the APF algorithm, DWA algorithm, traditional TEB algorithm and improved TEB algorithm were conducted in a long-distance long narrow corridor environment and a multi-turn environment including reverse parking. The results demonstrated that the improved TEB algorithm generated smoother paths. In corridor environments, the variance of linear velocity, the mean angular velocity, and the variance of angular velocity were reduced by 16.67%, 7.38%, and 12.84%, respectively, compared with the traditional TEB algorithm. In multi-turn environments, the corresponding reductions were 8.61%, 4.34%, and 8.58%, respectively. This led to smoother linear and angular velocities with reduced oscillations. Furthermore, the effectiveness of the algorithm has been validated in a real-world experimental environment.



Key wordspath planning      TEB algorithm      mobile robot      dynamic obstacle avoidance      jerk constraint     
Received: 21 May 2025      Published: 19 March 2026
CLC:  TP 242  
Fund:  陕西省秦创原“科学家+工程师”队伍建设项目(2024QCY-KXJ-161);咸阳市重点研发计划资助项目(L2024-ZDYF-ZDYF-GY-0004).
Corresponding Authors: Jian XIAO     E-mail: huxin@chd.edu.cn;xiaojian@chd.edu.cn
Cite this article:

Xin HU,Jiazhong ZHANG,Shuai HU,Jian XIAO,Shiwei LUO,Liang MA. Local path planning based on an improved time elastic band algorithm. Journal of ZheJiang University (Engineering Science), 2026, 60(4): 702-711.

URL:

https://www.zjujournals.com/eng/10.3785/j.issn.1008-973X.2026.04.003     OR     https://www.zjujournals.com/eng/Y2026/V60/I4/702


基于改进时间弹性带算法的局部路径规划

针对时间弹性带(TEB)算法在复杂环境下出现加速度变化率突变、控制指令不平滑的问题,提出改进的TEB算法. 在原始TEB算法基础上引入加加速度(jerk)约束来平滑速度和加速度曲线,避免机器人在运动过程中发生震荡、抖动现象. 采用自适应调整弹性带节点数量的方法来自适应调整插值点,提高机器人移动过程中的安全稳定性. 为了验证改进TEB算法的有效性,选取远距离长狭窄走廊环境和多转弯包含反向停车环境对APF算法、DWA算法、传统TEB算法和改进TEB算法进行仿真对比实验. 结果表明,改进TEB算法能生成更平滑路径. 在走廊环境中,其线速度方差、平均角速度、角速度方差分别较传统TEB降低了16.67%、7.38%、12.84%;在多转弯环境中,则分别降低了8.61%、4.34%、8.58%,速度与角速度更加平滑. 另外,在真实实验环境下验证了算法的有效性.


关键词: 路径规划,  TEB算法,  移动机器人,  动态避障,  加加速度约束 
Fig.1 Motion model of a two-wheel differential robot
Fig.2 Sequence of pose points and time differences
Fig.3 Nonholonomic constraints
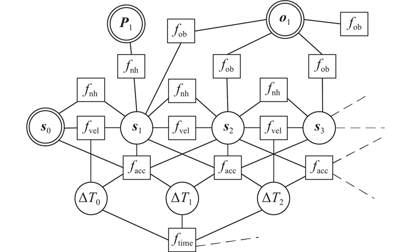
Fig.4 Hyper-graph structure of TEB algorithm
Fig.5 Flowchart of TEB algorithm
Fig.6 Schematic diagram of hyper-graph structure with jerk constraint added
参数数值参数数值
$ {v}_{\max } $/ (m?s?1)0.4$ {v}_{\text{bw},\max } $/(m·s?1)0.2
$ {\omega }_{\max } $/(rad·s?1)0.3$ {a}_{\max } $/(m·s?2)0.5
$ {\alpha }_{\max } $/(rad·s?2)0.5$ {j}_{\max } $/(m·s?3)0.5
$ {d}_{\min } $/ m0.5$ {r}_{\text{infl}} $/ m0.6
Tab.1 Simulation parameter settings
Fig.7 Paths and local enlarged views of four algorithms for route 1
Fig.8 Comparison of linear velocities of four algorithms for route 1
Fig.9 Comparison of angular velocities of four algorithms for route 1
算法$ \overline{v} $/(m·s?1)$ \sigma _{v}^{2} $/(m2·s?2)$ \overline{\omega } $/(rad·s?1)$ \sigma _{\omega }^{2} $/(rad2·s?2)
APF0.391 60.003 30.306 10.226 4
DWA0.375 00.004 70.138 40.049 1
传统TEB0.366 00.005 40.171 90.036 6
改进TEB0.382 00.004 50.159 20.031 9
Tab.2 Comparison of linear speed and angular velocity of route 1
Fig.10 Paths and local enlarged views of four algorithms for route 2
Fig.11 Comparison of linear velocities of different algorithms for route 2
Fig.12 Comparison of angular velocities of different algorithms for route 2
算法$ \overline{v} $/(m·s?1)$ \sigma _{v}^{2} $/(m2·s?2)$ \overline{\omega } $/(rad·s?1)$ \sigma _{\omega }^{2} $/(rad2·s?2)
APF0.390 90.003 50.237 10.064 7
DWA0.306 30.021 80.203 40.075 2
传统TEB0.339 80.015 10.188 70.044 3
改进TEB0.332 90.013 80.179 90.040 5
Tab.3 Comparison of linear speed and angular velocity of route 2
Fig.13 Physical testing environment
Fig.14 Comparison of TEB and improved TEB algorithms in a simple environment
Fig.15 Comparison of TEB and improved TEB algorithms in a complex environment
[1]   毛建旭, 贺振宇, 王耀南, 等 电力巡检机器人路径规划技术及应用综述[J]. 控制与决策, 2023, 38 (11): 3009- 3024
MAO Jianxu, HE Zhenyu, WANG Yaonan, et al Review of research and applications on path planning technology for power inspection robots[J]. Control and Decision, 2023, 38 (11): 3009- 3024
doi: 10.13195/j.kzyjc.2022.2219
[2]   于少猛, 闫铭, 王鹏飞, 等 丘陵山地果园植保无人机三维路径规划[J]. 浙江大学学报: 工学版, 2025, 59 (3): 635- 642
YU Shaomeng, YAN Ming, WANG Pengfei, et al 3D path planning of plant protection UAVs in hilly mountainous orchards[J]. Journal of Zhejiang University: Engineering Science, 2025, 59 (3): 635- 642
doi: 10.7652/xjtuxb202308016
[3]   陶永, 刘海涛, 王田苗, 等 我国服务机器人技术研究进展与产业化发展趋势[J]. 机械工程学报, 2022, 58 (18): 56- 74
TAO Yong, LIU Haitao, WANG Tianmiao, et al Research progress and industrialization development trend of Chinese service robot[J]. Journal of Mechanical Engineering, 2022, 58 (18): 56- 74
doi: 10.3901/JME.2022.18.056
[4]   MARASHIAN A, RAZMINIA A Mobile robot’s path-planning and path-tracking in static and dynamic environments: dynamic programming approach[J]. Robotics and Autonomous Systems, 2024, 172: 104592
doi: 10.1016/j.robot.2023.104592
[5]   张彪, 李永强 基于动态寻优蚁群算法的移动机器人路径规划[J]. 仪器仪表学报, 2025, 46 (3): 74- 85
ZHANG Biao, LI Yongqiang Path planning of mobile robot based on the dynamic optimization ant colony algorithm[J]. Chinese Journal of Scientific Instrument, 2025, 46 (3): 74- 85
[6]   刘宇庭, 郭世杰, 唐术锋, 等 改进A*与ROA-DWA融合的机器人路径规划[J]. 浙江大学学报: 工学版, 2024, 58 (2): 360- 369
LIU Yuting, GUO Shijie, TANG Shufeng, et al Path planning based on fusion of improved A* and ROA-DWA for robot[J]. Journal of Zhejiang University: Engineering Science, 2024, 58 (2): 360- 369
[7]   WANG P, LIU Y, YAO W, et al Improved A-star algorithm based on multivariate fusion heuristic function for autonomous driving path planning[J]. Proceedings of the Institution of Mechanical Engineers, Part D: Journal of Automobile Engineering, 2023, 237 (7): 1527- 1542
doi: 10.1177/09544070221100677
[8]   潘嘉威, 王淳立, 郑秀娟, 等 基于语义分割的启发式采样路径规划算法[J]. 浙江大学学报: 工学版, 2025, 59 (10): 2154- 2163
PAN Jiawei, WANG Chunli, ZHENG Xiujuan, et al Heuristic sampling path planning algorithm based onsemantic segmentation[J]. Journal of Zhejiang University: Engineering Science, 2025, 59 (10): 2154- 2163
doi: 10.19650/j.cnki.cjsi.J2413264
[9]   陈丽芳, 杨火根, 陈智超, 等 B样条技术与遗传算法融合的全局路径规划[J]. 浙江大学学报: 工学版, 2024, 58 (12): 2520- 2530
CHEN Lifang, YANG Huogen, CHEN Zhichao, et al Global path planning with integration of B-spline technique and genetic algorithm[J]. Journal of Zhejiang University: Engineering Science, 2024, 58 (12): 2520- 2530
[10]   崔炜, 朱发证 机器人导航的路径规划算法研究综述[J]. 计算机工程与应用, 2023, 59 (19): 10- 20
CUI Wei, ZHU Fazheng Review of path planning algorithms for robot navigation[J]. Computer Engineering and Applications, 2023, 59 (19): 10- 20
doi: 10.3778/j.issn.1002-8331.2301-0088
[11]   王鹤静, 王丽娜 机器人路径规划算法综述[J]. 桂林理工大学学报, 2023, 43 (1): 137- 147
WANG Hejing, WANG Lina Review of path planning for robots[J]. Journal of Guilin University of Technology, 2023, 43 (1): 137- 147
doi: 10.11896/jsjkx.240900074
[12]   林韩熙, 向丹, 欧阳剑, 等 移动机器人路径规划算法的研究综述[J]. 计算机工程与应用, 2021, 57 (18): 38- 48
LIN Hanxi, XIANG Dan, OUYANG Jian, et al Review of path planning algorithms for mobile robots[J]. Computer Engineering and Applications, 2021, 57 (18): 38- 48
[13]   RÖSMANN C, FEITEN W, WÖSCH T, et al. Efficient trajectory optimization using a sparse model [C]// European Conference on Mobile Robots. Barcelona: IEEE, 2013: 138–143.
[14]   ROESMANN C, FEITEN W, WOESCH T, et al. Trajectory modification considering dynamic constraints of autonomous robots [C]// Proceedings of the 7th German Conference on Robotics. Munich: VDE, 2012: 1–6.
[15]   RÖSMANN C, HOFFMANN F, BERTRAM T. Kinodynamic trajectory optimization and control for car-like robots [C]// IEEE/RSJ International Conference on Intelligent Robots and Systems. Vancouver: IEEE, 2017: 5681–5686.
[16]   FOX D, BURGARD W, THRUN S The dynamic window approach to collision avoidance[J]. IEEE Robotics and Automation Magazine, 1997, 4 (1): 23- 33
doi: 10.1109/100.580977
[17]   程传奇, 郝向阳, 李建胜, 等 融合改进A*算法和动态窗口法的全局动态路径规划[J]. 西安交通大学学报, 2017, 51 (11): 137- 143
CHENG Chuanqi, HAO Xiangyang, LI Jiansheng, et al Global dynamic path planning based on fusion of improved A* algorithm and dynamic window approach[J]. Journal of Xi’an Jiaotong University, 2017, 51 (11): 137- 143
doi: 10.7652/xjtuxb201711019
[18]   王永雄, 田永永, 李璇, 等 穿越稠密障碍物的自适应动态窗口法[J]. 控制与决策, 2019, 34 (5): 927- 936
WANG Yongxiong, TIAN Yongyong, LI Xuan, et al Self-adaptive dynamic window approach in dense obstacles[J]. Control and Decision, 2019, 34 (5): 927- 936
doi: 10.13195/j.kzyjc.2017.1497
[19]   CHANG L, SHAN L, JIANG C, et al Reinforcement based mobile robot path planning with improved dynamic window approach in unknown environment[J]. Autonomous Robots, 2021, 45 (1): 51- 76
doi: 10.1007/s10514-020-09947-4
[20]   徐小强, 王明勇, 冒燕 基于改进人工势场法的移动机器人路径规划[J]. 计算机应用, 2020, 40 (12): 3508- 3512
XU Xiaoqiang, WANG Mingyong, MAO Yan Path planning of mobile robot based on improved artificial potential field method[J]. Journal of Computer Applications, 2020, 40 (12): 3508- 3512
[21]   PAN Z, ZHANG C, XIA Y, et al An improved artificial potential field method for path planning and formation control of the multi-UAV systems[J]. IEEE Transactions on Circuits and Systems II: Express Briefs, 2022, 69 (3): 1129- 1133
[22]   鲜斌, 宋宁 基于模型预测控制与改进人工势场法的多无人机路径规划[J]. 控制与决策, 2024, 39 (7): 2133- 2141
XIAN Bin, SONG Ning A multiple UAVs path planning method based on model predictive control and improved artificial potential field[J]. Control and Decision, 2024, 39 (7): 2133- 2141
[23]   栾添添, 王皓, 尤波, 等 狭窄空间的位姿辅助点TEB无人车导航方法[J]. 仪器仪表学报, 2023, 44 (4): 121- 128
LUAN Tiantian, WANG Hao, YOU Bo, et al TEB unmanned vehicle navigation method for position and attitude auxiliary points in narrow space[J]. Chinese Journal of Scientific Instrument, 2023, 44 (4): 121- 128
doi: 10.19650/j.cnki.cjsi.J2210653
[24]   CHEN L, LIU R, JIA D, et al Improvement of the TEB algorithm for local path planning of car-like mobile robots based on fuzzy logic control[J]. Actuators, 2025, 14 (1): 12
doi: 10.3390/act14010012
[25]   代婉玉, 张丽娟, 吴佳峰, 等 改进TEB算法的局部路径规划算法研究[J]. 计算机工程与应用, 2022, 58 (8): 283- 288
DAI Wanyu, ZHANG Lijuan, WU Jiafeng, et al Research on local path planning algorithm based on improved TEB algorithm[J]. Computer Engineering and Applications, 2022, 58 (8): 283- 288
doi: 10.3778/j.issn.1002-8331.2108-0290
[26]   陈奕梅, 沈建峰, 李柄棋 改进TEB算法的多机器人动态避障策略研究[J]. 电光与控制, 2022, 29 (5): 107- 112
CHEN Yimei, SHEN Jianfeng, LI Bingqi On dynamic obstacle avoidance strategy for multi-robot with improved TEB algorithm[J]. Electronics Optics and Control, 2022, 29 (5): 107- 112
doi: 10.3969/j.issn.1671-637X.2022.05.021
[1] Guijuan LIN,Zihan LI,Xiaochen CHEN,Yu WANG. Single-steering-driven AGV path planning based on behavior tree[J]. Journal of ZheJiang University (Engineering Science), 2026, 60(3): 643-650.
[2] Hui XIONG,Banglu GE,Jinzhen LIU,Jiaxing WANG. Improved slime mould bee colony algorithm for multi-UAVs cooperative path planning[J]. Journal of ZheJiang University (Engineering Science), 2025, 59(8): 1698-1707.
[3] Jun YE,Zhibin XIAO,Xiaoyang LIN,Guan QUAN,Zhen WANG,Yueda WANG,Jiangfei HE,Yang ZHAO. Optimization methods of 3D self-supporting truss structure based on muti-axis 3D printing[J]. Journal of ZheJiang University (Engineering Science), 2025, 59(7): 1333-1343.
[4] Kun HAO,Xuan MENG,Xiaofang ZHAO,Zhisheng LI. 3D underwater AUV path planning method integrating adaptive potential field method and deep reinforcement learning[J]. Journal of ZheJiang University (Engineering Science), 2025, 59(7): 1451-1461.
[5] Yuxin LIAO,Wei WANG,Weiming TENG,Haiyan HE,Zhan WANG,Jin WANG. Multi-objective constraint-based smooth path generation for UAVs global optimization method[J]. Journal of ZheJiang University (Engineering Science), 2025, 59(7): 1481-1491.
[6] Wei ZHAO,Wanzhi ZHANG,Jialin HOU,Rui HOU,Yuhua LI,Lejun ZHAO,Jin Cheng. Path planning of agricultural robots based on improved deep reinforcement learning algorithm[J]. Journal of ZheJiang University (Engineering Science), 2025, 59(7): 1492-1503.
[7] Shaomeng YU,Ming YAN,Pengfei WANG,Jianxi ZHU,Xin YANG. 3D path planning of plant protection UAVs in hilly mountainous orchards[J]. Journal of ZheJiang University (Engineering Science), 2025, 59(3): 635-642.
[8] Jiawei PAN,Chunli WANG,Xiujuan ZHENG,Haiyan TU. Heuristic sampling path planning algorithm based on semantic segmentation[J]. Journal of ZheJiang University (Engineering Science), 2025, 59(10): 2154-2163.
[9] Zhiwei FAN,Kai JIA,Lei ZHANG,Fengshan ZOU,Zhenjun DU,Mingmin LIU. Optimal velocity planning for mobile robot based on simultaneous dynamic optimization[J]. Journal of ZheJiang University (Engineering Science), 2024, 58(8): 1556-1564.
[10] Yuting LIU,Shijie GUO,Shufeng TANG,Xuewei ZHANG,Tiantian LI. Path planning based on fusion of improved A* and ROA-DWA for robot[J]. Journal of ZheJiang University (Engineering Science), 2024, 58(2): 360-369.
[11] Lifang CHEN,Huogen YANG,Zhichao CHEN,Jie YANG. Global path planning with integration of B-spline technique and genetic algorithm[J]. Journal of ZheJiang University (Engineering Science), 2024, 58(12): 2520-2530.
[12] Jia-ao JIN,Hong-yao SHEN,Yang-fan SUN,Jia-hao LIN,Jing-ni CHEN. Single-line laser scanning path planning for wire arc and additive manufacturing[J]. Journal of ZheJiang University (Engineering Science), 2023, 57(1): 21-31.
[13] Wei-xiang XU,Nan KANG,Ting XU. Optimal path planning method based on travel plan data[J]. Journal of ZheJiang University (Engineering Science), 2022, 56(8): 1542-1552.
[14] Hong-xin CHEN,Bei ZHANG,Chun-xiang WANG,Ming YANG. Robot target following based on adaptive follower mechanism[J]. Journal of ZheJiang University (Engineering Science), 2022, 56(6): 1071-1078.
[15] Jing-li WU,Guo-dong YI,Le-miao QIU,Shu-you ZHANG. Path planning of mobile robots in mixed obstacle space with high temperature[J]. Journal of ZheJiang University (Engineering Science), 2021, 55(10): 1806-1814.