|
|
|
| Influence of structural deformation of elastic propeller on excitation force characteristics |
Weiran CHEN1( ),Haopeng CAI2,Hao WU1,Yanpeng BU1,Linlin CAO1,*( ),Dazhuan WU1 |
1. College of Energy Engineering, Zhejiang University, Hangzhou 310027, China 2. Institute of Acoustics, Chinese Academy of Sciences, Beijing 100190, China |
|
|
|
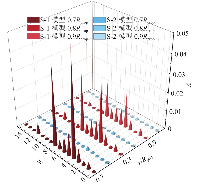
Abstract A fluid-structure interaction method based on computational fluid dynamics and finite element analysis was employed for conducting numerical simulation of vehicle-propeller combined models to investigate the structural deformation law of an elastic propeller in the complex wake field of a vehicle and the effect of this deformation on excitation forces. Based on the characteristics of both uniform and non-uniform submarine wake fields obtained through harmonic analysis, the steady and dynamic deformation characteristics of the elastic propeller under different wake fields were analyzed. The rigid and elastic propellers were compared in terms of the time-averaged value and the fluctuating amplitude of excitation forces, so as to analyze the underlying mechanism by which the structural deformation affected the excitation forces. The experimental results showed that steady deformation of the elastic propeller was mainly driven by the time-averaged load in the wake field, and the increased pitch angle led to a 9.5% rise in the time-averaged axial force. The dynamic deformation, which was mainly driven by the fluctuating load in the non-uniform wake field, could buffer the inflow excitation and provide adaptive regulation, thus significantly suppressing the pulsating amplitude of the propeller’s axial excitation force at the blade frequency with a reduction of 86.1%. This study reveals the regulatory mechanism of structural deformation of elastic propellers on excitation forces and provides theoretical support for the application of marine propulsion systems and the control of excitation forces.
|
|
Received: 11 March 2025
Published: 15 December 2025
|
|
|
| Fund: 国家自然科学基金联合基金资助项目(U2341242). |
|
Corresponding Authors:
Linlin CAO
E-mail: 22327161@zju.edu.cn;caolinlin@zju.edu.cn
|
弹性螺旋桨结构变形对激励力特性的影响
为了探究弹性螺旋桨在航行体复杂伴流场中的结构变形规律及其对激励力的影响机理,采用计算流体力学/有限元流固耦合方法开展航行体-螺旋桨组合模型的数值模拟. 根据由谐调分析得到的均匀与非均匀水下伴流场特性,分析不同伴流场中弹性螺旋桨的稳态变形与动态变形规律. 对比刚性与弹性螺旋桨的激励力时均值与脉动幅值的差异,分析结构变形对激励力产生影响的内在机理. 研究结果表明,弹性螺旋桨的稳态变形主要由伴流场中的时均载荷驱动,螺距角增大导致轴向力时均值提升了9.5%;动态变形主要由非均匀伴流场中的脉动载荷驱动,能够缓冲来流激励并自适应调节,从而显著抑制螺旋桨轴向激励力叶频处的脉动幅值,降幅达到86.1%. 研究揭示了弹性螺旋桨结构变形对激励力的调控机制,为船舶推进系统的应用和激励力控制提供了理论依据.
关键词:
弹性螺旋桨,
流固耦合,
伴流场,
结构变形,
激励力
|
|
| [1] |
李子如, 李广辉, 何朋朋, 等 复合材料螺旋桨非定常流固耦合特性数值分析[J]. 华中科技大学学报: 自然科学版, 2019, 47 (9): 7- 13 LI Ziru, LI Guanghui, HE Pengpeng, et al Numerical analysis of unsteady fluid-structure interaction of composite marine propellers[J]. Journal of Huazhong University of Science and Technology: Natural Science Edition, 2019, 47 (9): 7- 13
|
|
|
| [2] |
YOUNG Y L Fluid-structure interaction analysis of flexible composite marine propellers[J]. Journal of Fluids and Structures, 2008, 24 (6): 799- 818
doi: 10.1016/j.jfluidstructs.2007.12.010
|
|
|
| [3] |
何朋朋. 船用复合材料螺旋桨流固声耦合特性数值研究[D]. 武汉: 武汉理工大学, 2019. HE Pengpeng. Numerical research of fluid-structure-acoustics coupling characteristics of marine composite propellers [D]. Wuhan: Wuhan University of Technology, 2019.
|
|
|
| [4] |
李雪芹, 郭双喜, 陈科 基于铺覆模拟的复合材料螺旋桨叶片分区域铺层优化[J]. 宇航材料工艺, 2022, 52 (1): 45- 51 LI Xueqin, GUO Shuangxi, CHEN Ke Regional stacking sequence optimization of composite propeller blade based on draping simulation[J]. Aerospace Materials & Technology, 2022, 52 (1): 45- 51
doi: 10.12044/j.issn.1007-2330.2022.01.006
|
|
|
| [5] |
洪毅, 赫晓东 复合材料船用螺旋桨设计与CFD/FEM计算[J]. 哈尔滨工业大学学报, 2010, 42 (3): 404- 408 HONG Yi, HE Xiaodong Design of composite marine propeller and the calculation of CFD/FEM[J]. Journal of Harbin Institute of Technology, 2010, 42 (3): 404- 408
doi: 10.11918/j.issn.0367-6234.2010.03.016
|
|
|
| [6] |
ZHANG X, HONG Y, LIU W, et al Improving the propulsion performance of composite propellers under off-design conditions[J]. Applied Ocean Research, 2020, 100: 102164
doi: 10.1016/j.apor.2020.102164
|
|
|
| [7] |
王玮, 刘平, 杨光 弹性螺旋桨的轴向非定常力分析[J]. 海军工程大学学报, 2017, 29 (6): 28- 32 WANG Wei, LIU Ping, YANG Guang Axial unsteady force analysis of flexible propeller[J]. Journal of Naval University of Engineering, 2017, 29 (6): 28- 32
|
|
|
| [8] |
武兴伟, 邹冬林, 董新国, 等 弹性螺旋桨纵向激励力特性研究[J]. 噪声与振动控制, 2023, 43 (1): 7- 11 WU Xingwei, ZOU Donglin, DONG Xinguo, et al Study on the longitudinal excitation force characteristics of elastic propellers[J]. Noise and Vibration Control, 2023, 43 (1): 7- 11
doi: 10.3969/j.issn.1006-1355.2023.01.002
|
|
|
| [9] |
丁永乐, 宋保维, 王鹏 柔性螺旋桨非定常流场及结构动态响应数值计算[J]. 哈尔滨工程大学学报, 2019, 40 (3): 456- 461 DING Yongle, SONG Baowei, WANG Peng Numerical investigation of the unsteady flow and structural dynamics of a flexible propeller[J]. Journal of Harbin Engineering University, 2019, 40 (3): 456- 461
doi: 10.11990/jheu.201712053
|
|
|
| [10] |
ZOU D, JIAO C, TA N, et al Theoretical study on the axial excitation force transmission characteristics of marine propellers[J]. Ocean Engineering, 2019, 189: 106364
doi: 10.1016/j.oceaneng.2019.106364
|
|
|
| [11] |
姜宜辰, 黄磊, 代金池, 等 弹性对螺旋桨激励力和噪声特性影响分析[J]. 哈尔滨工程大学学报, 2025, 46 (1): 1- 9 JIANG Yichen, HUANG Lei, DAI Jinchi, et al Influence of elasticity on propeller excitation force and noise characteristics[J]. Journal of Harbin Engineering University, 2025, 46 (1): 1- 9
doi: 10.11990/jheu.202302020
|
|
|
| [12] |
GROVES N, HUANG T, CHANG M. Geometric characteristics of DARPA suboff models: DTRC model numbers 5470 and 5471 [R]. Bethesda: David Taylor Research Center, 1989.
|
|
|
| [13] |
SEVIK M. Sound radiation from a subsonic rotor subjected to turbulence [C]// Fluid Mechanics Acoustics and Design of Turbomachinery. State College: NASA, 1974: 493–512.
|
|
|
| [14] |
田畅, 夏林生, 付敏飞, 等 潜艇伴流场对螺旋桨激励力的影响[J]. 中国舰船研究, 2023, 18 (3): 111- 121 TIAN Chang, XIA Linsheng, FU Minfei, et al Influence of wake field on propeller exciting force of submarine[J]. Chinese Journal of Ship Research, 2023, 18 (3): 111- 121
|
|
|
| [15] |
田畅. 水下航行器伴流场对推进器激励力特性的影响研究[D]. 杭州: 浙江大学, 2022. TIAN Chang. Research on the influence of the wake field of underwater vehicles on propulsor exciting force characteristics [D]. Hangzhou: Zhejiang University, 2022.
|
|
|
| [16] |
DUCOIN A, YOUNG Y L, SIGRIST J F. Hydroelastic responses of a flexible hydrofoil in turbulent, cavitating flow [C]// Proceedings of the ASME 2010 7th International Symposium on Fluid-Structure Interactions, Flow-Sound Interactions, and Flow-Induced Vibration and Noise. Montreal: ASME Press, 2010: 493–502.
|
|
|
| [17] |
DUCOIN A, ASTOLFI J A, SIGRIST J F An experimental analysis of fluid structure interaction on a flexible hydrofoil in various flow regimes including cavitating flow[J]. European Journal of Mechanics-B/Fluids, 2012, 36: 63- 74
doi: 10.1016/j.euromechflu.2012.03.009
|
|
|
| [18] |
DUCOIN A, YOUNG Y L Hydroelastic response and stability of a hydrofoil in viscous flow[J]. Journal of Fluids and Structures, 2013, 38: 40- 57
doi: 10.1016/j.jfluidstructs.2012.12.011
|
|
|
| [19] |
DUCOIN A, ASTOLFI J A, GOBERT M L An experimental study of boundary-layer transition induced vibrations on a hydrofoil[J]. Journal of Fluids and Structures, 2012, 32: 37- 51
doi: 10.1016/j.jfluidstructs.2011.04.002
|
|
|
|
Viewed |
|
|
|
Full text
|
|
|
|
|
Abstract
|
|
|
|
|
Cited |
|
|
|
|
| |
Shared |
|
|
|
|
| |
Discussed |
|
|
|
|