Please wait a minute...
浙江大学学报(工学版)  2026, Vol. 60 Issue (2): 445-454    DOI: 10.3785/j.issn.1008-973X.2026.02.023
交通工程、土木工程     
考虑桩-筒变形协调的钢护筒-碎石复合桩水平承载力计算理论
徐瑞麟1,2(),易恩泽1,2,吴君涛1,2,*(),王奎华1,2,张智卿3,汤旅军4
1. 浙江大学 建筑工程学院,浙江 杭州 310058
2. 浙江大学 平衡建筑研究中心,浙江 杭州 310063
3. 温州理工学院 建筑与能源工程学院,浙江 温州 325035
4. 浙江水利水电学院 建筑工程学院,浙江 杭州 310018
Analytical method for evaluating lateral bearing capacity of gravel-filled canister-monopile considering pile-canister deformation coordination
Ruilin XU1,2(),Enze YI1,2,Juntao WU1,2,*(),Kuihua WANG1,2,Zhiqing ZHANG3,Lüjun TANG4
1. College of Civil Engineering and Architecture, Zhejiang University, Hangzhou 310058, China
2. Center for Balance Architecture, Zhejiang University, Hangzhou 310063, China
3. College of Architecture and Energy Engineering, Wenzhou University of Technology, Wenzhou 325035, China
4. College of Civil Engineering and Architecture, Zhejiang University of Water Resources and Electric Power, Hangzhou 310018, China
 全文: PDF(1842 KB)   HTML
摘要:

为了解决深远海海上风机基础成本较高的问题,提出由大直径单桩、钢护筒与桩筒间填充碎石3个部分组成的新型钢护筒-碎石复合桩. 在服役期间,碎石能够填充桩-土因长期循环作用产生的间隙,有效抑制桩周土体弱化,提升单桩的水平承载力. 针对水平受荷状态下的钢护筒-碎石复合桩进行承载力分析,考虑桩筒间填充碎石对桩身侧向支承刚度的提升作用以及护筒受荷后的水平位移发展,提出考虑桩-筒变形协调的应变楔耦合计算模型. 通过将筒径缩小至桩径,筒高缩减至零,填充碎石设置为桩周土体,使所提计算模型退化至单桩水平承载力计算模型,并与已有解析理论进行对比验证. 将所提模型计算结果与有限元计算结果对比,进一步验证模型的合理性及可靠性. 基于验证后的计算模型对钢护筒-碎石复合桩的主要设计参数进行分析,结果表明,钢护筒直径、高度与筒内碎石弹性模量均与钢护筒-碎石复合桩水平承载力呈正相关关系,护筒埋深存在最优设计值.

关键词: 复合桩海上风电修正应变楔方法水平承载力参数分析砂土    
Abstract:

To address the high cost of foundations for offshore wind turbines in deep and far-sea environments, a novel gravel-filled canister-monopile (GCM) was proposed, which consists of three components: a large-diameter monopile, a steel canister, and gravel filled between the pile and the canister. During service, the gravel was able to fill gaps generated in the pile–soil interface due to long-term cyclic loading, effectively mitigating the weakening of the surrounding soil and thereby enhancing the lateral bearing capacity of the monopile. To analyze the lateral bearing behavior of the gravel-filled canister-monopile, a strain wedge coupled model considering pile–canister deformation coordination was developed, taking into account the increase in lateral support stiffness provided by the filled gravel and the horizontal displacement development of the canister under load. By reducing the canister diameter to that of the pile, setting the canister height to zero, and treating the filled gravel as surrounding soil, the proposed model degenerated into a conventional monopile lateral bearing model, which was validated through comparison with existing analytical theories. Further comparisons with finite element analysis results confirmed the reasonableness and reliability of the proposed model. Based on the validated model, a parametric analysis of the main design parameters of the gravel-filled canister-monopile was conducted. The results indicated that the steel canister diameter, height, and the elastic modulus of the gravel were all positively correlated with the lateral bearing capacity, while the canister embedment depth exhibited an optimal design value.

Key words: composite pile    offshore wind turbine    modified strain wedge method    lateral bearing capacity    parameter analysis    sand
收稿日期: 2025-02-07 出版日期: 2026-02-03
CLC:  TU 437  
基金资助: 中国工程院战略研究与咨询项目(2025-XZ-75);国家自然科学基金资助项目(52178358, 52108349, 52178367);浙江省自然科学基金重点资助项目(LTGG24E080001).
通讯作者: 吴君涛     E-mail: ruilinxu@zju.edu.cn;wujuntao31@126.com
作者简介: 徐瑞麟(2001—),男,硕士生,从事桩基承载力研究. orcid.org/0009-0008-2088-3783. E-mail:ruilinxu@zju.edu.cn
服务  
把本文推荐给朋友
加入引用管理器
E-mail Alert
作者相关文章  
徐瑞麟
易恩泽
吴君涛
王奎华
张智卿
汤旅军

引用本文:

徐瑞麟,易恩泽,吴君涛,王奎华,张智卿,汤旅军. 考虑桩-筒变形协调的钢护筒-碎石复合桩水平承载力计算理论[J]. 浙江大学学报(工学版), 2026, 60(2): 445-454.

Ruilin XU,Enze YI,Juntao WU,Kuihua WANG,Zhiqing ZHANG,Lüjun TANG. Analytical method for evaluating lateral bearing capacity of gravel-filled canister-monopile considering pile-canister deformation coordination. Journal of ZheJiang University (Engineering Science), 2026, 60(2): 445-454.

链接本文:

https://www.zjujournals.com/eng/CN/10.3785/j.issn.1008-973X.2026.02.023        https://www.zjujournals.com/eng/CN/Y2026/V60/I2/445

图 1  钢护筒-碎石复合桩示意图
图 2  应变楔模型示意图
图 3  应变楔模型分层计算示意图[12]
图 4  筒体运动及修正应变楔竖向剖面示意图
图 5  钢护筒-碎石复合桩水平承载力计算模型示意图
图 6  钢护筒-碎石复合桩水平承载力理论计算流程图
图 7  不同应变楔计算模型的计算结果对比
图 8  钢护筒-碎石复合桩的建模示意图
部件参数数值
土体有效重度/(kN·m?3)14.935
摩擦角/(°)39
膨胀角/(°)9
黏聚力/kPa0.10
弹性模量/MPa40
泊松比0.25
桩体埋入桩长L/m50
桩径D/m2.50
抗弯刚度EI/(GN·m2)56.66
等效弹性模量/GPa29.55
泊松比0.20
护筒筒高H/m5
筒径/m7.5
壁厚/m0.05
埋深/m5
表 1  有限元模型各部件参数
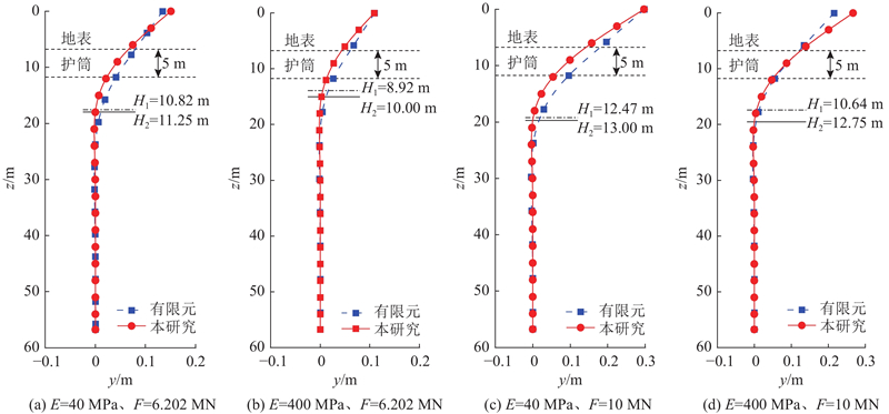
图 9  不同工况下桩身位移沿深度的分布
名称参数数值
试验干砂有效重度/(kN·m?3)14.935
峰值摩擦角/(°)39
残余摩擦角/(°)35
黏聚力/kPa0.00
相对密实度Dr/%65
泊松比0.25
原型钢管桩埋入桩长L/m50
桩径D/m2.50
抗弯刚度EI/(GN·m2)56.66
壁厚/m0.045
泊松比0.20
表 2  桩体性能试验用参数
图 10  钢护筒-碎石复合桩与单桩位移-荷载曲线对比
参数数值
筒径Dc/m2D、3D、4D、5D
筒高H/m0.10L、0.15L、0.20L、0.25L
护筒埋深hc/m0.5H、0.6H、0.7H、0.8H、0.9H、1.0H
碎石弹性模量Es/MPa40、400、400040000
表 3  钢护筒-碎石复合桩主要设计参数的取值
图 11  不同筒径下的钢护筒-碎石复合桩性能参数对比
图 12  不同筒高下的钢护筒-碎石复合桩性能参数对比
图 13  不同护筒埋深下的钢护筒-碎石复合桩性能参数对比
图 14  不同碎石弹性模量下的钢护筒-碎石复合桩性能参数对比
1 范小雪, 李原, 吴文兵, 等 饱和土中大直径缺陷桩水平振动响应研究[J]. 岩石力学与工程学报, 2020, 39 (2): 413- 423
FAN Xiaoxue, LI Yuan, WU Wenbing, et al Horizontal vibration response of defective large-diameter piles embedded in saturated soils[J]. Chinese Journal of Rock Mechanics and Engineering, 2020, 39 (2): 413- 423
2 ARSHI H S, STONE K, GUNZEL F. Cost efficient design of monopile foundations for offshore wind turbines [C]// Proceedings of the 16th European Conference on Soil Mechanics and Geotechnical Engineering: Geotechnical Engineering for Infrastructure Development. London: [s.n.], 2015: 1237–1242.
3 高鲁超, 戴国亮, 姚中原, 等 水泥土大直径单桩水平承载性能试验研究[J]. 东南大学学报: 自然科学版, 2024, 54 (1): 142- 148
GAO Luchao, DAI Guoliang, YAO Zhongyuan, et al Experimental study on lateral bearing behaviors of large-diameter monopiles in cement-soil[J]. Journal of Southeast University: Natural Science Edition, 2024, 54 (1): 142- 148
doi: 10.3969/j.issn.1001-0505.2024.01.018
4 王安辉, 章定文, 谢京臣 软黏土中劲性复合桩水平承载特性p-y曲线研究[J]. 岩土工程学报, 2020, 42 (2): 381- 389
WANG Anhui, ZHANG Dingwen, XIE Jingchen p-y curves for lateral bearing behavior of strength composite piles in soft clay[J]. Chinese Journal of Geotechnical Engineering, 2020, 42 (2): 381- 389
doi: 10.11779/CJGE202002020
5 QIU X, M HESHAM EI NAGGAR M, WANG K. Experimental and numerical studies on lateral bearing characteristics of innovative gravel-filled canister-monopile (GCM) hybrid foundation[J]. Marine Georesources and Geotechnology, 2024, 42 (12): 1824- 1843
doi: 10.1080/1064119X.2024.2304049
6 常林越, 王金昌, 朱向荣, 等 水平受荷长桩弹塑性计算解析解[J]. 岩土力学, 2010, 31 (10): 3173- 3178
CHANG Linyue, WANG Jinchang, ZHU Xiangrong, et al Analytical elastoplastic solutions of laterally loaded long piles[J]. Rock and Soil Mechanics, 2010, 31 (10): 3173- 3178
7 苏静波, 邵国建, 刘宁 基于P-Y曲线法的水平受荷桩非线性有限元分析[J]. 岩土力学, 2006, 27 (10): 1781- 1785
SU Jingbo, SHAO Guojian, LIU Ning Nonlinear finite element analysis of piles under lateral load based on P-Y curves[J]. Rock and Soil Mechanics, 2006, 27 (10): 1781- 1785
doi: 10.3969/j.issn.1000-7598.2006.10.028
8 陈祥, 孙进忠, 蔡新滨 基桩水平静载试验及内力和变形分析[J]. 岩土力学, 2010, 31 (3): 753- 759
CHEN Xiang, SUN Jinzhong, CAI Xinbin Horizontal static loading test and analyses of internal force and distortion on single pile[J]. Rock and Soil Mechanics, 2010, 31 (3): 753- 759
9 NORRIS G M. Theoretically based BEF laterally loaded pile analysis [C]// Proceedings of the 3rd International Conference on Numerical Methods in Offshore Piling. Paris: Technip, 1986: 361–386.
10 ASHOUR M, NORRIS G, PILLING P Lateral loading of a pile in layered soil using the strain wedge model[J]. Journal of Geotechnical and Geoenvironmental Engineering, 1998, 124 (4): 303- 315
doi: 10.1061/(ASCE)1090-0241(1998)124:4(303)
11 徐令宇. 桩基础水平响应计算方法及其抗液化性能研究 [D]. 大连: 大连理工大学, 2013: 1−156.
XU Lingyu. Computation method for response of laterally loaded piles and liquefaction-mitigation performance of piled foundation [D]. Dalian: Dalian University of Technology, 2013: 1−156.
12 杨晓峰, 张陈蓉, 黄茂松, 等 砂土中桩土侧向相互作用的应变楔模型修正[J]. 岩土力学, 2016, 37 (10): 2877- 2884
YANG Xiaofeng, ZHANG Chenrong, HUANG Maosong, et al Modification of strain wedge method for lateral soil-pile interaction in sand[J]. Rock and Soil Mechanics, 2016, 37 (10): 2877- 2884
doi: 10.16285/j.rsm.2016.10.019
13 ASHOUR M, ALAAELDIN A, ARAB M G Laterally loaded battered piles in sandy soils[J]. Journal of Geotechnical and Geoenvironmental Engineering, 2020, 146: 06019017
doi: 10.1061/(ASCE)GT.1943-5606.0002186
14 周德泉, 朱沁, 王创业, 等 基于应变楔模型的堆载下被动斜桩受力变形分析[J]. 湖南大学学报: 自然科学版, 2024, 51 (5): 46- 55
ZHOU Dequan, ZHU Qin, WANG Chuangye, et al Analysis on stress and deformation of passive battered piles under surcharge based on SW model[J]. Journal of Hunan University: Natural Sciences, 2024, 51 (5): 46- 55
15 罗丽娟, 任翔, 李晟, 等. 基于土拱效应和黄土改进应变楔模型的抗滑桩水平承载力计算[EB/OL]. (2024−03−30)[2025−02−07]. https://doi.org/10.16183/j.cnki.jsjtu.2023.650.
16 DUNCAN J M, CHANG C Y Nonlinear analysis of stress and strain in soils[J]. Journal of the Soil Mechanics and Foundations Division, 1970, 96 (5): 1629- 1653
doi: 10.1061/JSFEAQ.0001458
17 BYRNE P M, CHEUNG H, YAN L Soil parameters for deformation analysis of sand masses[J]. Canadian Geotechnical Journal, 1987, 24 (3): 366- 376
doi: 10.1139/t87-047
18 WONG K S, TEH C I Negative skin friction on piles in layered soil deposits[J]. Journal of Geotechnical Engineering, 1995, 121 (6): 457- 465
doi: 10.1061/(ASCE)0733-9410(1995)121:6(457)
19 陈仁朋, 周万欢, 曹卫平, 等 改进的桩土界面荷载传递双曲线模型及其在单桩负摩阻力时间效应研究中的应用[J]. 岩土工程学报, 2007, 29 (6): 824- 830
CHEN Renpeng, ZHOU Wanhuan, CAO Weiping, et al Improved hyperbolic model of load-transfer for pile-soil interface and its application in study of negative friction of single piles considering time effect[J]. Chinese Journal of Geotechnical Engineering, 2007, 29 (6): 824- 830
doi: 10.3321/j.issn:1000-4548.2007.06.006
20 KULHAWY F H. Limiting tip and side resistance: fact or fallacy? [C]// Proceedings of Symposium on Analysis and Design of Pile Foundations. New York: ASCE, 1984: 80–98.
21 BRIAUD J L, SMITH T, MEYER B. Laterally loaded piles and the pressuremeter: comparison of existing methods [M]// LANGER J A, MOSLEY E T, THOMPSON C D. Laterally loaded deep foundations: analysis and performance. [S.l.]: ASTM, 1984: 97–111.
22 DOBRY R, VICENTI E, O’ROURKE M J, et al Horizontal stiffness and damping of single piles[J]. Journal of the Geotechnical Engineering Division, 1982, 108 (3): 439- 459
doi: 10.1061/AJGEB6.0001259
23 MAKRIS N, GAZETAS G Displacement phase differences in a harmonically oscillating pile[J]. Géotechnique, 1993, 43 (1): 135- 150
24 WU J, EL NAGGAR M H, WANG K Analytical model for laterally loaded soil-extended pile shaft applied to verifying the applicability of lateral PS method[J]. Journal of Geotechnical and Geoenvironmental Engineering, 2021, 147 (10): 04021103
doi: 10.1061/(ASCE)GT.1943-5606.0002636
25 刘汉龙, 朱春鹏, 沈杨 酸碱污染土工程性质研究[J]. 湖南大学学报: 自然科学版, 2008, 35 (11): 39- 44
LIU Hanlong, ZHU Chunpeng, SHEN Yang Study on fundamental engineering properties of polluted soil by acid and alkali[J]. Journal of Hunan University: Natural Sciences, 2008, 35 (11): 39- 44
26 ZHANG L Nonlinear analysis of laterally loaded rigid piles in cohesionless soil[J]. Computers and Geotechnics, 2009, 36 (5): 718- 724
doi: 10.1016/j.compgeo.2008.12.001
27 ACHMUS M, ABDEL-RAHMAN K. Finite element modelling of horizontally loaded monopile foundations for offshore wind energy converters in Germany [C]// Proceedings of the International Sympodium on Frontiers in Offshore Geotechnics. London: [s.n.], 2005: 391–396.
28 WU J, EL NAGGAR M H, WANG K Dynamic response of poroelastic soil adjacent to an axially vibrating pile[J]. Journal of Engineering Mechanics, 2024, 150 (11): 04024084
doi: 10.1061/JENMDT.EMENG-7930
29 朱斌, 熊根, 刘晋超, 等 砂土中大直径单桩水平受荷离心模型试验[J]. 岩土工程学报, 2013, 35 (10): 1807- 1815
ZHU Bin, XIONG Gen, LIU Jinchao, et al Centrifuge modelling of a large-diameter single pile under lateral loads in sand[J]. Chinese Journal of Geotechnical Engineering, 2013, 35 (10): 1807- 1815
[1] 江钇垚,陈延博,卞怡,徐文杰,詹良通,柯瀚,王清扬. 脲酶诱导矿化对铅、镉复合污染砂土固化 修复的试验研究[J]. 浙江大学学报(工学版), 2025, 59(2): 332-341.
[2] 余文韬,谢旭,成程. 焊接构造对T型接头超低周疲劳性能的影响[J]. 浙江大学学报(工学版), 2021, 55(1): 31-37.
[3] 胡文韬,刘豆,耿大新,王宁,徐长节,上官兴,闵婕. 水平受荷阶梯形变截面桩的内力及变形分析[J]. 浙江大学学报(工学版), 2020, 54(4): 739-747.
[4] 汪劲丰,乌添媚,王建江,王敏权,徐荣桥. 基于部分抗剪的钢箱梁横向分块施工效应分析[J]. 浙江大学学报(工学版), 2019, 53(7): 1380-1388.
[5] 曹卫平,夏冰,葛欣. 水平受荷斜桩双曲线型p-y曲线的构建及其应用[J]. 浙江大学学报(工学版), 2019, 53(10): 1946-1954.
[6] 王忠瑾,谢新宇,方鹏飞,李金柱,金伟良. 刚性长短组合桩的非线性沉降计算分析[J]. J4, 2014, 48(3): 463-470.
[7] 梁孟根, 梁甜, 陈云敏. 自由场地液化响应特性的离心机振动台试验[J]. J4, 2013, 47(10): 1805-1814.
[8] 徐日庆,张俊,朱剑锋, 王兴陈. 考虑扰动影响的修正Duncan-Chang模型[J]. J4, 2012, 46(1): 1-7.
[9] 张学军, 郑克晴, 田新建, 邱利民. 直接接触式冰浆生成器参数分析及设计要点[J]. J4, 2011, 45(6): 1136-1140.
[10] 朱剑锋, 徐日庆, 秦艳华. 基于SMP准则改进Lade-Duncan模型[J]. J4, 2011, 45(10): 1884-1888.
[11] 徐日庆, 李昕睿, 朱剑锋. 刚性挡土墙平动模式下中间被动土压力的计算[J]. J4, 2010, 44(10): 2005-2009.
[12] 罗小平 韦巍. 关于生物免疫遗传算法收敛性的一般讨论研究[J]. J4, 2005, 39(12): 2006-2011.