考虑桩-筒变形协调的钢护筒-碎石复合桩水平承载力计算理论
Analytical method for evaluating lateral bearing capacity of gravel-filled canister-monopile considering pile-canister deformation coordination
通讯作者:
收稿日期: 2025-02-7
| 基金资助: |
|
Received: 2025-02-7
| Fund supported: | 中国工程院战略研究与咨询项目(2025-XZ-75);国家自然科学基金资助项目(52178358,52108349,52178367);浙江省自然科学基金重点资助项目(LTGG24E080001). |
作者简介 About authors
徐瑞麟(2001—),男,硕士生,从事桩基承载力研究.orcid.org/0009-0008-2088-3783.E-mail:
为了解决深远海海上风机基础成本较高的问题,提出由大直径单桩、钢护筒与桩筒间填充碎石3个部分组成的新型钢护筒-碎石复合桩. 在服役期间,碎石能够填充桩-土因长期循环作用产生的间隙,有效抑制桩周土体弱化,提升单桩的水平承载力. 针对水平受荷状态下的钢护筒-碎石复合桩进行承载力分析,考虑桩筒间填充碎石对桩身侧向支承刚度的提升作用以及护筒受荷后的水平位移发展,提出考虑桩-筒变形协调的应变楔耦合计算模型. 通过将筒径缩小至桩径,筒高缩减至零,填充碎石设置为桩周土体,使所提计算模型退化至单桩水平承载力计算模型,并与已有解析理论进行对比验证. 将所提模型计算结果与有限元计算结果对比,进一步验证模型的合理性及可靠性. 基于验证后的计算模型对钢护筒-碎石复合桩的主要设计参数进行分析,结果表明,钢护筒直径、高度与筒内碎石弹性模量均与钢护筒-碎石复合桩水平承载力呈正相关关系,护筒埋深存在最优设计值.
关键词:
To address the high cost of foundations for offshore wind turbines in deep and far-sea environments, a novel gravel-filled canister-monopile (GCM) was proposed, which consists of three components: a large-diameter monopile, a steel canister, and gravel filled between the pile and the canister. During service, the gravel was able to fill gaps generated in the pile–soil interface due to long-term cyclic loading, effectively mitigating the weakening of the surrounding soil and thereby enhancing the lateral bearing capacity of the monopile. To analyze the lateral bearing behavior of the gravel-filled canister-monopile, a strain wedge coupled model considering pile–canister deformation coordination was developed, taking into account the increase in lateral support stiffness provided by the filled gravel and the horizontal displacement development of the canister under load. By reducing the canister diameter to that of the pile, setting the canister height to zero, and treating the filled gravel as surrounding soil, the proposed model degenerated into a conventional monopile lateral bearing model, which was validated through comparison with existing analytical theories. Further comparisons with finite element analysis results confirmed the reasonableness and reliability of the proposed model. Based on the validated model, a parametric analysis of the main design parameters of the gravel-filled canister-monopile was conducted. The results indicated that the steel canister diameter, height, and the elastic modulus of the gravel were all positively correlated with the lateral bearing capacity, while the canister embedment depth exhibited an optimal design value.
Keywords:
本文引用格式
徐瑞麟, 易恩泽, 吴君涛, 王奎华, 张智卿, 汤旅军.
XU Ruilin, YI Enze, WU Juntao, WANG Kuihua, ZHANG Zhiqing, TANG Lüjun.
海上风电作为可再生能源的重要组成部分,受到越来越广泛的关注. 海上风电基础作为海上风机的支承结构,是风机安全稳定运行的重要保障. 当前,海上风电基础形式各异,其中单桩基础凭借其良好的沉降控制与优异的承载性能,在海洋风机基础的建设中占据主导地位. 相较于陆上风机,海上风机承受的环境载荷更复杂,在服役期间受到波浪、水流和风载荷的激励,对基础的水平承载力有更高的要求[1]. 工程上通常采用增加桩基的桩径与灌入深度来提高单桩基础水平承载力,促使工程成本急剧上升与施工难度显著增大. 对此众多学者开发出新型桩基础[2-4],其中Qiu等[5]提出的钢护筒-碎石复合桩型(在单桩周围添置用碎石填充的钢护筒),通过模型试验与有限元模拟证明了该体系可以提升桩基的水平承载力,改善筒体下的土体强度. 该桩型在受到水平荷载时涉及桩、碎石、筒与场地土四者间的相互作用,普通单桩的水平承载力计算理论无法对其进行计算分析,须考虑钢护筒-碎石复合桩水平受荷特性的计算理论与分析方法.
针对水平受荷桩的计算理论和分析方法较多,但有各自的适用条件和局限性[6]. 其中p-y曲线法适用于静载和动载分析,能考虑桩-土非线性作用与土体塑性屈服,因而运用广泛[7-8]. Norris等[9-10]提出应变楔模型法,将一维Winkler地基梁的p-y参数与三维土体应变楔关联. 该方法不受p-y曲线函数形式的局限,明确土体基本参数和本构关系便可以计算桩基在任意土层的水平受荷响应. 徐令宇[11]通过在应变楔模型中引入邓肯-张与摩尔-库伦模型,分别改进了砂土与黏土的应力-应变关系,给出应变楔高度的计算方法,并明确应变楔高度以下的地基反力模量计算方法,使得模型得以反映桩基尺寸效应对地基反力模量的影响. 杨晓峰等[12]假设三维被动土楔后桩身的水平位移呈沿深度非线性变化,分别引入双曲线型的土体水平应力-应变关系和桩-土界面处桩侧剪应力-位移关系,修正了原有应变楔模型,改善了原应变楔模型计算的水平承载力偏高的问题. Ashour等[13]将应变楔模型法引入砂土中水平受荷斜桩的计算,研究了倾斜角度对桩基响应的影响. 周德泉等[14]基于传统应变楔理论,引入Boussinesq解,构建斜桩挠曲微分方程,提出基于应变楔模型的堆载下被动斜桩受力变形分析模型. 罗丽娟等[15]基于应变楔模型构建改进分析模型,提出以被动土拱破坏为判据,修正群桩计算宽度并引入静止土压力影响, 揭示了邻桩相互作用下土抗力变化规律.
综上所述,水平受荷桩应变楔模型分析法已被证明能够较好地分析计算桩基的水平承载力,并且得到广泛运用. 本研究基于已有应变楔理论研究成果,针对水平受荷状态下的钢护筒-碎石复合桩进行承载力分析,考虑桩筒间填充碎石对桩身侧向支承刚度的提升作用以及护筒受荷后的水平位移发展,提出基于桩-筒变形协调的桩-碎石-筒-场地土应变楔耦合计算模型,并验证计算模型的正确性;讨论复合桩主要设计参数(护筒直径、护筒高度、护筒埋深以及碎石弹性模量)对桩身承载力的影响.
1. 钢护筒-碎石复合桩水平承载力计算理论
1.1. 基本假设
图 1
1.2. 桩-土侧向作用应变楔模型
当桩顶承受水平荷载时,桩周土体对桩身产生反作用力,可将其等效为winker弹性地基梁上的非线性弹簧,桩-土系统的控制方程为
图 2
图 3
式中:
式中:
式中:D为桩径或桩身宽度;
1.3. 筒-土侧向作用修正应变楔模型
桩体在水平荷载作用下主要表现为弯曲变形,但在钢护筒-碎石复合桩中护筒的高度远小于桩长,筒径约为桩径的3倍[5],桩身在护筒范围内的变形可近似视为平动,进而桩体通过碎石传递给筒体的荷载可近似为均布荷载,因此护筒在受荷后的运动状态可近似等效为平动. 本研究针对护筒的运动状态提出筒-土侧向作用修正应变楔模型. 假定护筒受荷后仅发生平动,忽略其转动,与桩体受力类似,筒体前土体处于被动受压状态,将其简化为如图2所示的楔形体,由扇形角
图 4
图 4 筒体运动及修正应变楔竖向剖面示意图
Fig.4 Schematic diagram of vertical section of cylinder motion and modified strain wedge
土体水平向应力增量
式中:
1.4. 计算流程
在计算过程中,将系统分为4段,如图5所示,每段的长度记作
图 5
图 5 钢护筒-碎石复合桩水平承载力计算模型示意图
Fig.5 Schematic diagram of calculation model for lateral bearing capacity of gravel-filled canister-monopile
式中:
式中:
由式(18)可知,碎石提供的推力也可以视为关于筒体位移
确定反力系数后,即可采用差分法求解式(1),结合桩顶和桩端的水平和弯矩约束情况,其差分求解方程组为
本研究提出的考虑桩-筒变形协调的钢护筒-碎石复合桩水平承载力理论计算流程如图6所示.
图 6
图 6 钢护筒-碎石复合桩水平承载力理论计算流程图
Fig.6 Flowchart of theoretical calculation for lateral bearing capacity of gravel-filled canister-monopile
2. 模型验证
2.1. 所提模型与已有解析理论的对比
为了验证本研究提出的考虑桩-筒变形协调的钢护筒-碎石复合桩水平承载力计算理论的正确性,将所提计算模型退化至单桩应变楔计算模型,并与杨晓峰等[12]提出的单桩应变楔计算模型进行对比. 解的退化思路:将护筒直径逼近于桩径,护筒高度逼近于0,桶内碎石弹性模量设置为桩周土体弹性模量. 对比工况中土体有效重度为14.935 kN/m3,土体内摩擦角为39°,相对密实度为65%;桩基埋深、桩径分别为50.0、2.5 m,抗弯刚度为56.66 GN·m2,单桩加载位置位于地表以上2.7D处,荷载大小为6.202 MN. 如图7所示为本研究计算理论的退化解与已有应变楔模型计算得到的桩身位移沿桩深度的分布情况. 结果表明,所提模型退化后的解与已有解的计算结果基本一致,初步验证了所提模型的合理性.
图 7
图 7 不同应变楔计算模型的计算结果对比
Fig.7 Comparison of results between two strain-wedge calculation models
2.2. 所提模型与有限元的对比
为了进一步验证计算模型的正确性及适用性,采用Abaqus有限元软件进行建模,将模型计算结果与应变楔计算结果进行对比. 有限元模型为钢管桩与套筒形式,埋置于均质砂土中,套筒内填置碎石,如图8所示. 模型网格数共
图 8
表 1 有限元模型各部件参数
Tab.1
| 部件 | 参数 | 数值 |
| 土体 | 有效重度/(kN·m−3) | 14.935 |
| 摩擦角/(°) | 39 | |
| 膨胀角/(°) | 9 | |
| 黏聚力/kPa | 0.10 | |
| 弹性模量/MPa | 40 | |
| 泊松比 | 0.25 | |
| 桩体 | 埋入桩长L/m | 50 |
| 桩径D/m | 2.50 | |
| 抗弯刚度EI/(GN·m2) | 56.66 | |
| 等效弹性模量/GPa | 29.55 | |
| 泊松比 | 0.20 | |
| 护筒 | 筒高H/m | 5 |
| 筒径/m | 7.5 | |
| 壁厚/m | 0.05 | |
| 埋深/m | 5 |
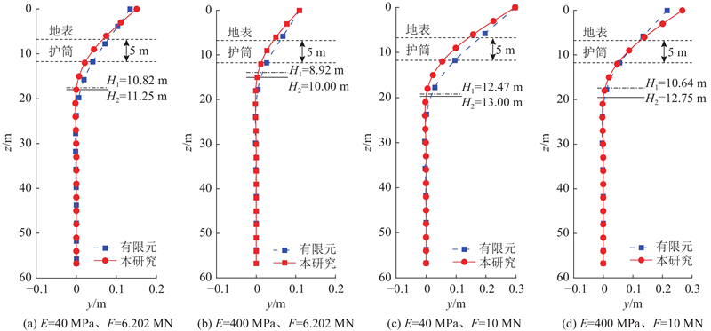
验证计算考虑碎石弹性模量分别为40 MPa与400 MPa,荷载大小分别为6.202 MN与10 MN共计4种计算工况,单桩加载位置位于地表以上2.7D处. 如图9所示为采用所提计算模型与有限元计算得到的桩身位移沿桩深度的分布情况. 可以看出,所提模型计算结果与有限元数值计算结果较为吻合,所提模型计算结果的桩身上部位移略小于有限元计算结果,原因是所提模型假设套筒的运动为平动,不考虑转动. 在有限元计算结果中,选取桩土接触表面上土体水平位移第一零点处的深度作为应变楔发展深度H1,对比所提模型计算的应变楔深度H2,二者接近,进一步验证了所提模型的正确性.
图 9
图 9 不同工况下桩身位移沿深度的分布
Fig.9 Distribution of pile displacement at various depths under different working conditions
表 2 桩体性能试验用参数
Tab.2
| 名称 | 参数 | 数值 |
| 试验干砂 | 有效重度/(kN·m−3) | 14.935 |
| 峰值摩擦角/(°) | 39 | |
| 残余摩擦角/(°) | 35 | |
| 黏聚力/kPa | 0.00 | |
| 相对密实度Dr/% | 65 | |
| 泊松比 | 0.25 | |
| 原型钢管桩 | 埋入桩长L/m | 50 |
| 桩径D/m | 2.50 | |
| 抗弯刚度EI/(GN·m2) | 56.66 | |
| 壁厚/m | 0.045 | |
| 泊松比 | 0.20 |
图 10
图 10 钢护筒-碎石复合桩与单桩位移-荷载曲线对比
Fig.10 Comparison of displacement-load curves for gravel-filled canister-monopile and single pile
3. 参数分析
为了探究复合桩中主要设计参数对桩基础承载性能的影响,以2.2节中的桩、土参数为例,针对护筒直径、护筒高度、护筒埋深与筒内碎石弹性模量4个变量开展参数分析. 除了针对护筒埋深的参数分析外,在针对1个变量进行分析时,其余3个变量均与2.2节一致,4个变量的取值如表3所示. 单桩加载位置位于地表以上2.7D处.
表 3 钢护筒-碎石复合桩主要设计参数的取值
Tab.3
| 参数 | 数值 |
| 筒径Dc/m | 2D、3D、4D、5D |
| 筒高H/m | 0.10L、0.15L、0.20L、0.25L |
| 护筒埋深hc/m | 0.5H、0.6H、0.7H、0.8H、0.9H、1.0H |
| 碎石弹性模量Es/MPa | 40、400、 |
如图11所示为在不同筒径下桩顶的荷载-位移曲线,荷载大小为10 MN时桩身位移与弯矩沿深度分布的计算结果. 随着筒径增加,土体给予护筒反力的范围提升,桩身位移与弯矩下降,桩身承载性能提升. 当护筒直径较大时,提升护筒直径带来的桩身承载力提升不明显. 如本算例中护筒直径为4D与5D时,2种工况下的荷载-位移曲线与桩身弯矩沿深度分布情况几乎一致,因此在实际工程中可考虑通过增加护筒直径来提升桩基承载力.
图 11
图 11 不同筒径下的钢护筒-碎石复合桩性能参数对比
Fig.11 Comparison of performance parameters for gravel-filled canister-monopile under different canister diameters
如图12所示为在不同护筒高度大小下桩顶的荷载-位移曲线,荷载大小为10 MN时桩身位移与弯矩沿深度分布的计算结果. 随着筒高增加,碎石与护筒能提供反力的深度增加,桩身位移与弯矩下降,桩身承载性能提升. 但护筒高度不易过大,一是过度提升护筒高度带来的桩身承载力提升不明显,二是筒高的提升会相应增加施工难度. 如本算例中当护筒深度超过0.10L,不同筒高对应工况下的荷载-位移曲线与桩身位移、弯矩沿深度分布情况几乎一致,因此在实际工程中护筒高度须控制在合理范围内.
图 12
图 12 不同筒高下的钢护筒-碎石复合桩性能参数对比
Fig.12 Comparison of performance parameters for gravel-filled canister-monopile under different canister heights
为了直观表现护筒不同埋深对桩基承载能的影响,选取筒高为0.2L、筒径为3D的护筒进行分析. 如图13所示为在不同护筒埋深下桩顶的荷载-位移曲线,荷载大小为10 MN时桩身位移与弯矩沿深度的分布的计算结果. 由图13(a)可知,在荷载大小于13 MN时,护筒埋深为0.6H的桩基础承载性能最好;大于13 MN时,护筒埋深为0.7H的桩基础承载性能最好. 由图13(b)与图13(c)可知,在10 MN的荷载下,护筒埋深为0.6H的桩基础桩身位移最小,与之对应的桩身最大弯矩也最小. 原因是土面以上的筒和碎石在一定程度上能限制桩基的位移,若土面以上的护筒高度较高、埋深较小,筒周土体与护筒的作用区域变小,进而影响护筒的稳定,随之影响桩基的承载性能,因此在单工况下,理论上存在最优的护筒埋深. 由此可知,在实际工程中,可依据桩基的受力情况确定最优的护筒埋深.
图 13
图 13 不同护筒埋深下的钢护筒-碎石复合桩性能参数对比
Fig.13 Comparison of performance parameters for gravel-filled canister-monopile under different embedded depths of canister
如图14所示为在不同碎石弹性模量下桩顶的荷载-位移曲线,荷载大小为10 MN时桩身位移与弯矩沿深度分布的计算结果. 可以看出,碎石弹性模量的提升对桩基的承载性能的提升有限. 在本算例中,当碎石弹性模量超过桩周土体弹性模量10倍后,不同碎石弹性模量对应工况下的荷载-位移曲线与桩身位移、弯矩沿深度分布情况几乎一致. 因此在实际工程考虑成本的情况下,碎石弹性模量仅需略大于土体弹性模量.
图 14
图 14 不同碎石弹性模量下的钢护筒-碎石复合桩性能参数对比
Fig.14 Comparison of performance parameters for gravel-filled canister-monopile under different elastic moduli of gravel
4. 结 语
本研究针对水平受荷状态下的钢护筒-碎石复合桩进行承载力分析,考虑桩筒间填充碎石对桩身侧向支承刚度的提升作用以及护筒受荷后的水平位移发展,提出基于桩-筒变形协调的桩-碎石-筒-场地土应变楔耦合计算理论;分别进行所提理论的退化解与已有理论对比,所提理论与有限元计算结果对比,验证理论的合理性及可靠性. 研究结果表明,1)护筒直径、护筒高度与护筒内碎石弹性模量均与钢护筒-碎石复合桩的承载力呈正相关关系;2)在工程实际中,须依据实际情况在合理范围内提高护筒直径、护筒高度与护筒内碎石弹性模量;3)护筒埋入土体深度对钢护筒-碎石复合桩的承载力有重要影响,存在护筒最佳埋深,在实际工程中可依据桩基参数、受力情况确定最优的护筒埋深. 本文理论仅适用于静力条件下钢护筒-碎石复合桩水平承载力的计算,未针对其循环受荷载工况下的承载力进行分析. 后续将通过试验明确钢护筒-碎石复合桩循环荷载后筒内碎石下落迁移情况,结合试验结果提出适用于循环荷载条件下钢护筒-碎石复合桩水平承载力的计算理论.
参考文献
饱和土中大直径缺陷桩水平振动响应研究
[J].
Horizontal vibration response of defective large-diameter piles embedded in saturated soils
[J].
水泥土大直径单桩水平承载性能试验研究
[J].DOI:10.3969/j.issn.1001-0505.2024.01.018
Experimental study on lateral bearing behaviors of large-diameter monopiles in cement-soil
[J].DOI:10.3969/j.issn.1001-0505.2024.01.018
软黏土中劲性复合桩水平承载特性p-y曲线研究
[J].DOI:10.11779/CJGE202002020 [本文引用: 1]
p-y curves for lateral bearing behavior of strength composite piles in soft clay
[J].DOI:10.11779/CJGE202002020 [本文引用: 1]
HESHAM EI NAGGAR M, WANG K. Experimental and numerical studies on lateral bearing characteristics of innovative gravel-filled canister-monopile (GCM) hybrid foundation
[J].DOI:10.1080/1064119X.2024.2304049 [本文引用: 3]
水平受荷长桩弹塑性计算解析解
[J].
Analytical elastoplastic solutions of laterally loaded long piles
[J].
基于P-Y曲线法的水平受荷桩非线性有限元分析
[J].DOI:10.3969/j.issn.1000-7598.2006.10.028 [本文引用: 1]
Nonlinear finite element analysis of piles under lateral load based on P-Y curves
[J].DOI:10.3969/j.issn.1000-7598.2006.10.028 [本文引用: 1]
基桩水平静载试验及内力和变形分析
[J].
Horizontal static loading test and analyses of internal force and distortion on single pile
[J].
Lateral loading of a pile in layered soil using the strain wedge model
[J].DOI:10.1061/(ASCE)1090-0241(1998)124:4(303) [本文引用: 6]
砂土中桩土侧向相互作用的应变楔模型修正
[J].DOI:10.16285/j.rsm.2016.10.019 [本文引用: 5]
Modification of strain wedge method for lateral soil-pile interaction in sand
[J].DOI:10.16285/j.rsm.2016.10.019 [本文引用: 5]
Laterally loaded battered piles in sandy soils
[J].DOI:10.1061/(ASCE)GT.1943-5606.0002186 [本文引用: 1]
基于应变楔模型的堆载下被动斜桩受力变形分析
[J].
Analysis on stress and deformation of passive battered piles under surcharge based on SW model
[J].
Nonlinear analysis of stress and strain in soils
[J].DOI:10.1061/JSFEAQ.0001458 [本文引用: 1]
Soil parameters for deformation analysis of sand masses
[J].
Negative skin friction on piles in layered soil deposits
[J].DOI:10.1061/(ASCE)0733-9410(1995)121:6(457) [本文引用: 1]
改进的桩土界面荷载传递双曲线模型及其在单桩负摩阻力时间效应研究中的应用
[J].DOI:10.3321/j.issn:1000-4548.2007.06.006 [本文引用: 1]
Improved hyperbolic model of load-transfer for pile-soil interface and its application in study of negative friction of single piles considering time effect
[J].DOI:10.3321/j.issn:1000-4548.2007.06.006 [本文引用: 1]
Horizontal stiffness and damping of single piles
[J].DOI:10.1061/AJGEB6.0001259 [本文引用: 1]
Displacement phase differences in a harmonically oscillating pile
[J].
Analytical model for laterally loaded soil-extended pile shaft applied to verifying the applicability of lateral PS method
[J].DOI:10.1061/(ASCE)GT.1943-5606.0002636 [本文引用: 1]
酸碱污染土工程性质研究
[J].
Study on fundamental engineering properties of polluted soil by acid and alkali
[J].
Nonlinear analysis of laterally loaded rigid piles in cohesionless soil
[J].DOI:10.1016/j.compgeo.2008.12.001 [本文引用: 2]
Dynamic response of poroelastic soil adjacent to an axially vibrating pile
[J].DOI:10.1061/JENMDT.EMENG-7930 [本文引用: 1]
/
| 〈 |
|
〉 |

