Please wait a minute...
Chinese Journal of Engineering Design  2025, Vol. 32 Issue (6): 745-758    DOI: 10.3785/j.issn.1006-754X.2025.05.161
Theory and Method of Mechanical Design     
Fatigue life prediction method for bridge crane based on physical-informed neural network
Qing DONG(),Zewei DANG,Gening XU
School of Mechanical Engineering, Taiyuan University of Science and Technology, Taiyuan 030024, China
Download: HTML     PDF(7589KB)
Export: BibTeX | EndNote (RIS)      

Abstract  

Aiming at the problems of insufficient accuracy and weak generalization ability of traditional neural networks in fatigue life prediction of bridge cranes, a fatigue life prediction method based on physical-informed neural network (PINN) was proposed. Based on the fatigue crack propagation mechanism of the crane structure, a data model was constructed using bi-directional long short-term memory network, which extracted features from time-series load data and performed equivalent transformation. Subsequently, a physical model was established in combination with fracture mechanics theory to depict the evolution law of fatigue damage. The data model and the physical model were deeply integrated, and the fused dynamic stress data served as the input to the physical neural network, while the fatigue life was set as the output. A penalty term that satisfied the differential equation of the Paris model was used as the physical loss, which was combined with the network data loss to construct a minimized loss function. Precise prediction of the fatigue life of bridge cranes was achieved by optimizing this loss function. Taking the DQ40 kg-1.8 m-1.3 m small general-purpose bridge crane as an example, by comparing the measured data and predicted data of the fatigue life of the crane during normal operation, the feasibility of the proposed method was verified. The results showed that, compared with the convolutional neural network model, support vector regression model, and K-nearest neighbor model, the fatigue life prediction fitting accuracy of the PINN model increased by 19%, 24.9%, and 26% respectively. The research results provide a new strategy for predicting the fatigue life of cranes.



Key wordsphysical-informed neural network      data model      physical model      fatigue life      bridge crane     
Received: 04 July 2025      Published: 30 December 2025
CLC:  TH 78.1  
Cite this article:

Qing DONG,Zewei DANG,Gening XU. Fatigue life prediction method for bridge crane based on physical-informed neural network. Chinese Journal of Engineering Design, 2025, 32(6): 745-758.

URL:

https://www.zjujournals.com/gcsjxb/10.3785/j.issn.1006-754X.2025.05.161     OR     https://www.zjujournals.com/gcsjxb/Y2025/V32/I6/745


基于物理信息神经网络的桥式起重机疲劳寿命预测方法

针对传统神经网络在桥式起重机疲劳寿命预测中精度低、泛化能力弱等问题,提出了一种基于物理信息神经网络的疲劳寿命预测方法。以起重机结构疲劳裂纹扩展机理为基础,采用双向长短期记忆网络构建数据模型,对时序载荷数据进行特征提取与等效转换后,结合断裂力学理论建立物理模型,描述疲劳损伤演化规律。将数据模型与物理模型进行深度融合,将融合后的动应力数据作为物理神经网络的输入,将疲劳寿命作为输出,以满足Paris模型微分方程的惩罚项作为物理损失,并与网络数据损失联合来构建最小化损失函数,通过优化该损失函数实现桥式起重机疲劳寿命的精准预测。以DQ40 kg-1.8 m-1.3 m小型通用桥式起重机为例,通过对比起重机在正常运行下疲劳寿命的实测数据与预测数据,来验证所提出方法的可行性。结果表明,相较于卷积神经网络模型、支持向量回归模型和K近邻模型,物理信息神经网络模型的疲劳寿命预测拟合精度分别提升了19%、24.9%和26%。研究结果为起重机疲劳寿命预测提供了一种新策略。


关键词: 物理信息神经网络,  数据模型,  物理模型,  疲劳寿命,  桥式起重机 
Fig.1 Neural network structure
Fig.2 Overall framework of fatigue life prediction model for bridge crane
Fig.3 BiLSTM network model
Fig.4 Crane operation experiment platform
Fig.5 Working cycle process of crane
Fig.6 Layout positions of sensors
参数采集范围参数采集范围
负载/kg[5, 23]大车到主梁端部的距离/mm[100, 1 300]
应变/μm[0, 300]小车到主梁端部的距离/mm[100, 1 500]
起升高度/mm[0, 1 000]起升拉力(含吊具)/N[13, 206]
Table 1 Acquisition range of each parameter
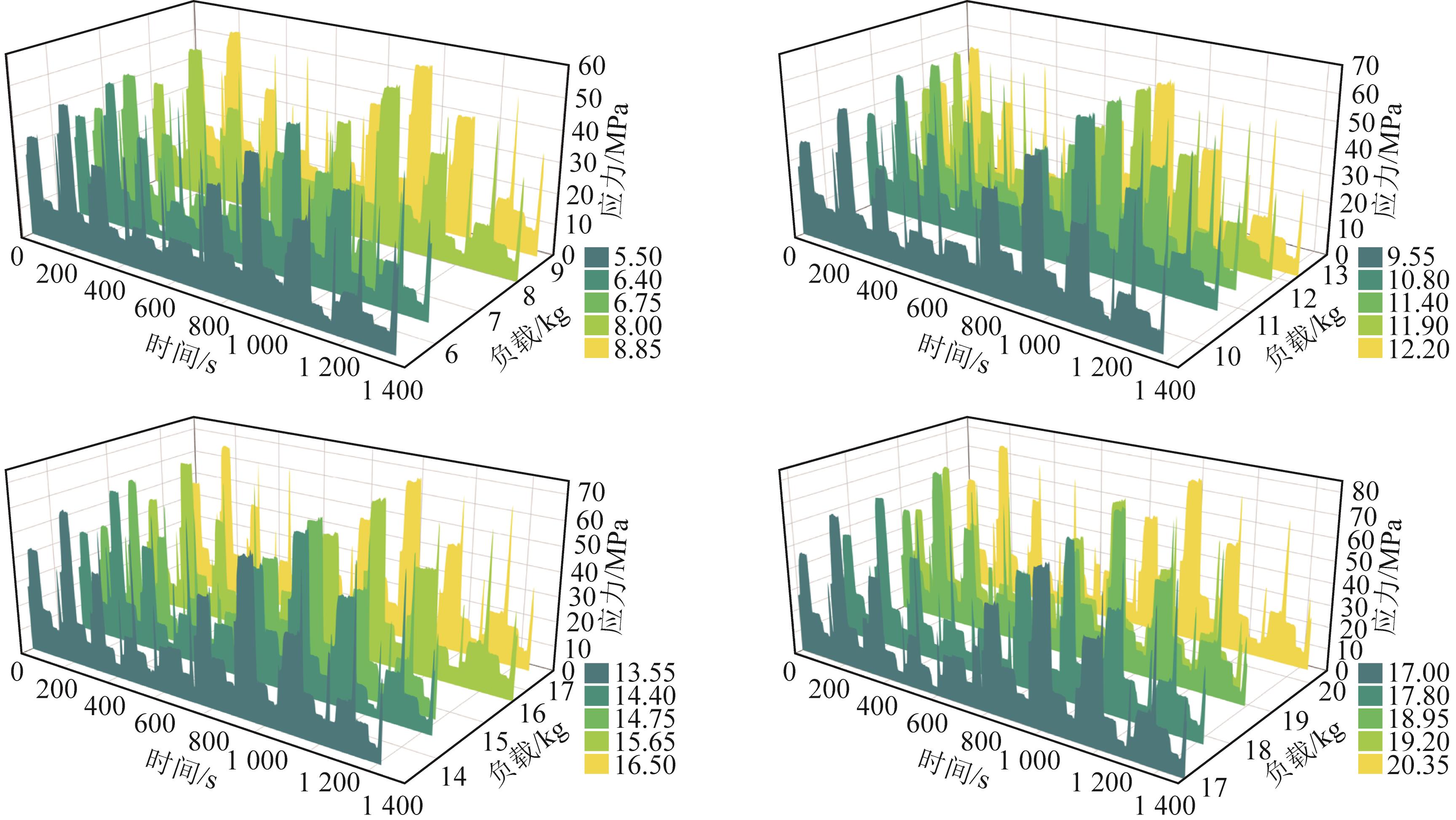
Fig.7 Parameter acquisition results with load of 8.85 kg
Fig.8 Original stress-time history
Fig.9 Processed stress-time history
Fig.10 Comparison of stress data with load of 8.85 kg before and after preprocessing
Fig.11 Test results related to BiLSTM model
评价指标数值
训练集测试集
EMA2.468 62.470 0
ERMS3.537 13.538 2
R20.948 890.949 93
Table 2 Evaluation indicator values of BiLSTM model
Fig.12 Stress range
Fig.13 Target statistic parameters
Fig.14 Derivative of mean and standard deviation of fatigue life to equivalent stress range
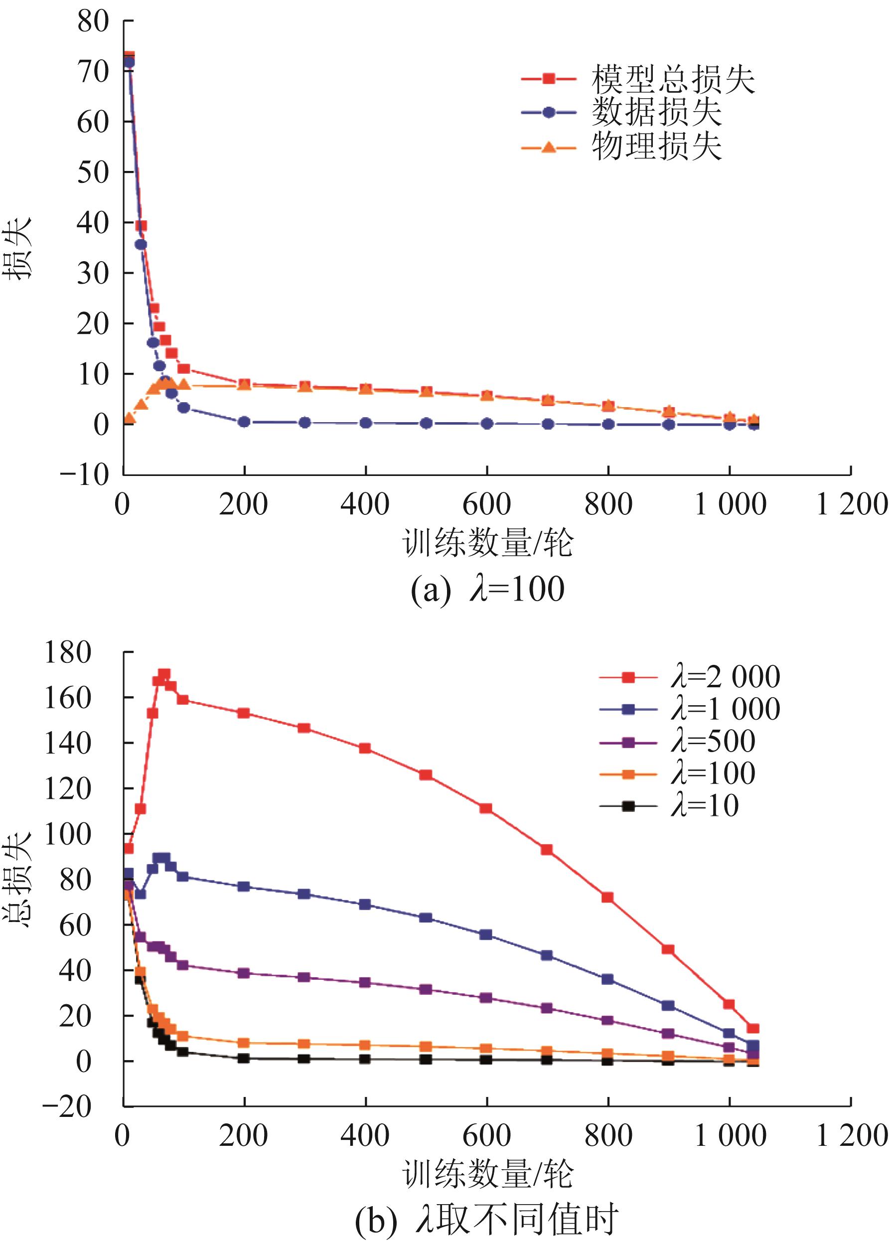
Fig.15 Loss of PINN
Fig.16 Comparison between predicted life and actual life
Fig.17 Fatigue life derived from each model
模型EMAERMSR2
CNN0.085 00.108 70.771 9
SVR0.100 10.143 40.715 7
KNN0.068 80.075 80.705 1
PINN0.038 70.048 90.953 7
Table 3 Evaluation indicator values of each model
 
 
[[1]]   高沛. 桥式起重机预测性维护系统关键技术研究[D]. 太原: 中北大学, 2023.
GAO P. Bridge crane predictive maintenance system key technology research[D]. Taiyuan: North University of China, 2023.
[[2]]   张小丽, 陈雪峰, 李兵, 等. 机械重大装备寿命预测综述[J]. 机械工程学报, 2011, 47(11): 100-116. doi:10.3901/jme.2011.11.100
ZHANG X L, CHEN X F, LI B, et al. Review of life prediction for mechanical major equipments[J]. Journal of Mechanical Engineering, 2011, 47(11): 100-116.
doi: 10.3901/jme.2011.11.100
[[3]]   陈琳, 秦义校, 高梁, 等. 基于刚柔耦合动力学的铸造起重机结构疲劳寿命研究[J]. 起重运输机械, 2025(5): 29-36.
CHEN L, QIN Y X, GAO L, et al. Research on fatigue life of casting crane structure based on rigid-flexible coupling dynamics[J]. Hoisting and Conveying Machinery, 2025(5): 29-36.
[[4]]   李现春, 胡晓兵, 李毅, 等. 基于nCode Design-Life的重型起重设备疲劳寿命预测研究[J]. 机械, 2017, 44(8): 1-6.
LI X C, HU X B, LI Y, et al. Research on fatigue life prediction of heavy lifting equipment based on nCode Design-Life[J]. Machinery, 2017, 44(8): 1-6.
[[5]]   闫梦煜, 魏国前, 段若尘. 考虑非线性累积损伤的铸造起重机疲劳性能分析[J]. 机械强度, 2024, 46(4): 977-983.
YAN M Y, WEI G Q, DUAN R C. Fatigue performance analysis of casting cranes considering non-linear cumulative damage[J]. Journal of Mechanical Strength, 2024, 46(4): 977-983.
[[6]]   唐涛, 张飞庆, 佘玲娟. 基于名义应力法的高强钢泵车臂架疲劳寿命研究[J]. 工程机械, 2016, 47(3): 12-17, 6.
TANG T, ZHANG F Q, SHE L J. A study on fatigue life of high-strength steel pump truck boom frames based on nominal stress process[J]. Construction Machinery and Equipment, 2016, 47(3): 12-17, 6.
[[7]]   徐格宁, 张永才, 张魏唯. 铸造起重机金属结构疲劳裂纹扩展分析[J]. 机械设计与制造, 2020(3): 13-17.
XU G N, ZHANG Y C, ZHANG W W. Fatigue crack growth analysis of metal structure of casting crane[J]. Machinery Design & Manufacture, 2020(3): 13-17.
[[8]]   LEHNER P, KREJSA M, PAŘENICA P, et al. Fatigue damage analysis of a riveted steel overhead crane support truss[J]. International Journal of Fatigue, 2019: 105190.
[[9]]   G Á, PALMA E, DE PAULA R. Crane girder fatigue life determination using SN and LEFM methods[J]. Engineering Failure Analysis, 2017, 79: 812-819.
[[10]]   XU B, WU Q. Stress fatigue crack propagation analysis of crane structure based on acoustic emission[J]. Engineering Failure Analysis, 2020, 109: 104206.
[[11]]   王大荣, 任京, 宋奎, 等. 岸桥前主梁安全监测及蠕变长短期记忆神经网络预测[J]. 湘潭大学学报(自然科学版), 2025, 47(4): 44-52.
WANG D R, REN J, SONG K, et al. Safety monitoring of front girder of quayside container crane and creep prediction by long short-term memory neural network[J]. Journal of Xiangtan University (Natural Science Edition), 2025, 47(4): 44-52.
[[12]]   范小宁, 徐格宁, 王爱红. 基于人工神经网络获取起重机当量载荷谱的疲劳剩余寿命估算方法[J]. 机械工程学报, 2011, 47(20): 69-74. doi:10.3901/jme.2011.20.069
FAN X N, XU G N, WANG A H. Evaluation method of remaining fatigue life for crane based on the acquisition of the equivalent load spectrum by the artificial neural network[J]. Journal of Mechanical Engineering, 2011, 47(20): 69-74.
doi: 10.3901/jme.2011.20.069
[[13]]   戚其松, 李成刚, 董青, 等. 起重机生命周期载荷谱预测及基于疲劳寿命的结构优化设计[J]. 工程设计学报, 2023, 30(3): 380-389.
QI Q S, LI C G, DONG Q, et al. Prediction of load spectrum for crane life cycle and structural optimal design based on fatigue life[J]. Chinese Journal of Engineering Design, 2023, 30(3): 380-389.
[[14]]   雷亚国, 贾峰, 周昕, 等. 基于深度学习理论的机械装备大数据健康监测方法[J]. 机械工程学报, 2015, 51(21): 49-56. doi:10.3901/jme.2015.21.049
LEI Y G, JIA F, ZHOU X, et al. A deep learning-based method for machinery health monitoring with big data[J]. Journal of Mechanical Engineering, 2015, 51(21): 49-56.
doi: 10.3901/jme.2015.21.049
[[15]]   刘丽, 裴行智, 雷雪梅. 基于时间卷积注意力网络的剩余寿命预测方法[J]. 计算机集成制造系统, 2022, 28(8): 2375-2386.
LIU L, PEI X Z, LEI X M. Temporal convolutional attention network for remaining useful life estimation[J]. Computer Integrated Manufacturing Systems, 2022, 28(8): 2375-2386.
[[16]]   付玲, 佘玲娟, 颜镀镭, 等. 基于内嵌物理信息与注意力机制Bi LSTM神经网络的臂架系统疲劳损伤预测模型[J]. 机械工程学报, 2024, 60(13): 205-215. doi:10.3901/jme.2024.13.205
FU L, SHE L J, YAN D L, et al. Fatigue damage prediction framework of the boom system based on embedded physical information and attention mechanism BiLSTM neural network[J]. Journal of Mechanical Engineering, 2024, 60(13): 205-215.
doi: 10.3901/jme.2024.13.205
[[17]]   文井辉, 伍荣森, 李帅永, 等. 基于DRSN和优化BiLSTM的轴承剩余寿命预测方法[J]. 计算机集成制造系统, 2024, 30(5): 1877-1888.
WEN J H, WU R S, LI S Y, et al. Bearing residual life prediction method based on DRSN and optimized BiLSTM[J]. Computer Integrated Manufacturing Systems, 2024, 30(5): 1877-1888.
[[18]]   ZHOU T T, JIANG S, HAN T, et al. A physically consistent framework for fatigue life prediction using probabilistic physics-informed neural network[J]. International Journal of Fatigue, 2023, 166: 107234.
[[19]]   孙宝晗, 颜廷俊. 基于P-S-N曲线的岸边起重机疲劳寿命预估的研究[J]. 中国水运, 2024(19): 134-136.
SUN B H, YAN T J. Study on fatigue life prediction of quayside crane based on P-S-N curve[J]. China Water Transport, 2024(19): 134-136.
[[20]]   张剑. 桥架型起重机疲劳寿命预测和结构可靠性分析[D]. 南京: 南京航空航天大学, 2022.
ZHANG J. Fatigue life prediction and structural reliability analysis of bridge crane[D]. Nanjing: Nanjing University of Aeronautics and Astronautics, 2022.
[[21]]   张颛利, 孙兴悦, 陈旭. 基于物理信息神经网络的金属多轴疲劳寿命预测进展[J]. 机械强度, 2025, 47(2): 44-52.
ZHANG Z L, SUN X Y, CHEN X. Development in metal multiaxial fatigue life prediction based on physics-informed neural network[J]. Journal of Mechanical Strength, 2025, 47(2): 44-52.
[[22]]   WEI W, CHEN S J, CHEN C, et al. HEN: a novel hybrid explainable neural network based framework for robust network intrusion detection[J]. Science China Information Sciences, 2024, 67(7): 170304.
[[23]]   WEN J, DENG Y Q, PENG W L, et al. Linguistic steganalysis via fusing multi-granularity attentional text features[J]. Chinese Journal of Electronics, 2023, 32(1): 76-84.
[[24]]   中国机械工业联合会. 起重机械安全评估规范 通用要求: [S]. 北京: 中国标准出版社, 2022.
China Machinery Industry Federation. Safety assessment rules for lifting appliances—General requirements: [S]. Beijing: Standards Press of China, 2022.
[[25]]   LI J H, LI B. Solving forward and inverse problems of the nonlinear Schrödinger equation with the generalized- symmetric Scarf-II potential via PINN deep learning[J]. Communications in Theoretical Physics, 2021, 73(12): 125001.
[[26]]   乌云图, 李娜, 蔡晋辉. 岸边集装箱桥式起重机疲劳寿命预测[J]. 中国测试, 2018, 44(4): 14-18.
WU Y T, LI N, CAI J H. The fatigue life prediction of quayside container bridge crane[J]. China Measurement & Test, 2018, 44(4): 14-18.
[1] Zhen CHEN,Qingjie RAN,Xiaoyang YING,Nengpeng CHEN,Chaocheng WEI,Qiaomu WANG. Fatigue life optimization of sheer wave vibroseis vibrator baseplate based on NSGA-Ⅱ and TOPSIS method[J]. Chinese Journal of Engineering Design, 2025, 32(2): 272-280.
[2] Liyong TIAN,Jiahao ZHANG,Ning YU,Xiaohan YU,Shuo ZHANG. Study on fatigue life prediction and influencing factors of roadheader rotary platform[J]. Chinese Journal of Engineering Design, 2025, 32(1): 92-101.
[3] Qing DONG,Tianxiang ZHANG,Qisong QI,Gening XU. Optimization design of metal structure of bridge crane based on structural function derivative coefficients[J]. Chinese Journal of Engineering Design, 2024, 31(6): 810-822.
[4] Shunhai XU,Xiaolei ZHOU,Guofang GONG,Haoceng HONG,Peng ZHANG,Shang LIU,Yalei FAN. Remanufacturability evaluation of piston pump based on remaining life[J]. Chinese Journal of Engineering Design, 2024, 31(5): 557-564.
[5] Qisong QI,Chenggang LI,Qing DONG,Yuhao CHEN,Hang XU. Prediction of load spectrum for crane life cycle and structural optimal design based on fatigue life[J]. Chinese Journal of Engineering Design, 2023, 30(3): 380-389.
[6] Chun-jian HUA,Dong-dong LI,Yi JIANG,Jian-feng YU,Ying CHEN. Study on fatigue life of shaft with V-notch under dual-frequency excitation[J]. Chinese Journal of Engineering Design, 2023, 30(1): 102-108.
[7] HAO Chun-yong, WANG Dong-liang, ZHENG Jin-yang, XU Ping, GU Chao-hua. Research on the relationship between burst pressure and fatigue life of composite hydrogen storage tank with aluminum liner[J]. Chinese Journal of Engineering Design, 2021, 28(5): 594-601.
[8] CHEN Zhen, ZHOU Yang, JING Shuang, HUANG Zhi-qiang, CHEN Yan. Study on damage mechanism and fatigue life prediction of seismic vibrator baseplate[J]. Chinese Journal of Engineering Design, 2019, 26(6): 658-665.
[9] LI Song-mei, ZHENG Zhe, LI Shuai-shuai, CHANG De-gong. Structure and fatigue life analysis of damping type tripod universal joint[J]. Chinese Journal of Engineering Design, 2019, 26(5): 520-526.
[10] WANG Gang, HUANG Ling-hui, LIU Jin-jun. Research on dynamic stress and fatigue life for ultra-deep mine hoist drum[J]. Chinese Journal of Engineering Design, 2018, 25(6): 703-710.
[11] CAI Yu-qiang, ZHU Dong-sheng. Analysis of crankshaft fatigue life of high-speed crank press based on dynamics simulation[J]. Chinese Journal of Engineering Design, 2017, 24(6): 680-686.
[12] LIU Wen, ZHANG Jin-hong, LIN Teng-jiao, YANG Yun, CAI Yun-long. Prediction and research on influencing factors of structural noise of bridge crane with three-point support[J]. Chinese Journal of Engineering Design, 2017, 24(5): 580-587,594.
[13] REN Yuan, ZHANG Cheng-cheng, GAO Jing-yun, LI Meng-guang. Finite element simulation for the growth of the sealing labyrinth crack in turbine disc[J]. Chinese Journal of Engineering Design, 2016, 23(2): 152-159,165.
[14] SHEN Jie-bin, TANG Dong-lin. Study of field size parameter in stress field intensity approach[J]. Chinese Journal of Engineering Design, 2016, 23(1): 22-27.
[15] LIU Zhe, TAO Feng-he, JIA Chang-zhi. Fatigue life prediction on drive shaft of tracked vehicle and structure optimization[J]. Chinese Journal of Engineering Design, 2015, 22(5): 431-437.