Please wait a minute...
Journal of ZheJiang University (Engineering Science)  2026, Vol. 60 Issue (1): 191-198    DOI: 10.3785/j.issn.1008-973X.2026.01.018
    
hydrodynamic and hydraulic-control simulation of high-power ship azimuth thruster under variable load
Hao HE1(),Yongdong SHU2,3,Yonggang LIN2,*(),Fuquan DAI2,Ju ZHANG2
1. Wuhan Marine Machinery Plant Co. Ltd, Wuhan 430080, China
2. State Key Laboratory of Fluid Power and Mechatronic Systems, Zhejiang University, Hangzhou 310027, China
3. Nanjing High Accurate Marine Equipment Co. Ltd, Nanjing 211103, China
Download: HTML     PDF(2489KB) HTML
Export: BibTeX | EndNote (RIS)      

Abstract  

The hydraulic steering drive system of the high-power azimuth thruster was studied from load calculation, system design, simulation control to prototype test, in order to further guide the design and manufacture of the high-power azimuth thruster steering system. The hydrodynamic simulation method was used to obtain the steering load moment of the azimuth thruster under different advance coefficients and different steering angles. The validity and rationality of the hydrodynamic simulation were proved by comparing with the results of the open water experiment. The relationship between the fluctuation frequency of steering load moment and propeller blade rotation speed was summarized. A single-pump three-motor closed hydraulic steering system was designed according to the steering load. Considering the gear meshing of the mechanical system and the pressure fluctuation of the hydraulic system, a co-simulation model was built using AMESIM and ADAMS. The 180° rotation of the thruster was realized by speed PID feedback control. Through spectrum analysis, it was found that the load fluctuation seriously affected the gear meshing force and the hydraulic pressure inside the transmission system. Finally, the rationality of the system design and simulation control was verified by the real ship test.



Key wordsazimuth thruster      hydrodynamic simulation      hydraulic steering system      co-simulation      feedback control     
Received: 19 December 2024      Published: 15 December 2025
CLC:  TP 393  
Fund:  国家重点研发计划“高性能制造技术与重大装备”重点专项资助项目(2022YFB3404804);江苏省科技成果转化专项资金项目(BA2023019).
Corresponding Authors: Yonggang LIN     E-mail: 515612258@qq.com;yglin@zju.edu.cn
Cite this article:

Hao HE,Yongdong SHU,Yonggang LIN,Fuquan DAI,Ju ZHANG. hydrodynamic and hydraulic-control simulation of high-power ship azimuth thruster under variable load. Journal of ZheJiang University (Engineering Science), 2026, 60(1): 191-198.

URL:

https://www.zjujournals.com/eng/10.3785/j.issn.1008-973X.2026.01.018     OR     https://www.zjujournals.com/eng/Y2026/V60/I1/191


变负载下大功率船舶全回转推进器水动及液控仿真

为了进一步指导大功率全回转推进器回转系统的设计制造,从负载计算、系统设计、仿真控制到样机测试各个方面对大功率回转推进器的回转液压驱动系统进行研究. 使用水动力仿真研究方法,得到全回转推进器不同进速系数下不同回转角度下的回转负载力矩,通过与敞水实验结果的对比证明了仿真的正确性和合理性,并总结出回转负载力矩波动频率与浆叶转速的关系;根据回转负载设计单泵三马达闭式液压转舵系统,同时考虑机械系统齿轮啮合与液压系统压力波动,使用AMESIM和Adams搭建联合仿真模型,通过速度PID反馈控制实现推进器180°回转. 频谱分析结果表明,负载的波动严重影响了传动系统内部的齿轮啮合力及液压系统压力. 通过实船试验验证了系统设计和仿真控制的合理性.


关键词: 全回转推进器,  水动力仿真,  液压转舵系统,  联合仿真,  反馈控制 
Fig.1 Simulation grid diagram of flow field of azimuth thruster
网格MJ
静止域大旋转域小旋转域
初始网格57476795911112777960.3362
网格1689721115093215333550.3358
网格2827665138111918400260.3361
Tab.1 Grid independence test (J=0.4)
Fig.2 Velocity change of flow field with advance coefficient J of 0.2
Fig.3 Velocity change of flow field with advance coefficient J of 0.4
Fig.4 Velocity change of flow field with advance coefficient J of 0.6
Fig.5 Steering load moment coefficient obtained by Akintur’s open water experiment
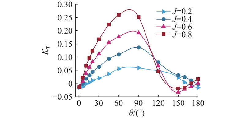
Fig.6 Steering load moment of CFD simulation at different advance coefficients
Fig.7 Schematic diagram of hydraulic steering system
特性参数数值
材料40 Cr
密度/( kg·m?3)7850
弹性模量/ GPa207
泊松比0.29
刚度系数/( N·mm?1)1×105
阻尼系数/( N·s·mm?1)50
Tab.2 Gear parameters in ADAMS
基本参数数值
马达排量/( mL·r?1)151.8
液压泵排量/( mL·r?1)646.6
补油泵排量/( mL·r?1)100
液压油体积弹性模量/Pa6.9×108
补油泵补油压力/(105 Pa)20
系统最高压力/(105 Pa)250
冲洗溢流阀压力/(105 Pa)17
Tab.3 Hydraulic system parameters in AMEsim
Fig.8 Co-simulation model of steering system of azimuth thruster
控制器类型KpTiTd
P0.50Kps
PI0.45Kps0.83Ts
PID0.60Kps0.50Ts0.125Ts
Tab.4 Critical gain method for tuning PID parameters
Fig.9 Changes in system parameters during 180° steering
Fig.10 Frequency analysis diagram of gear meshing force and hydraulic system pressure
Fig.11 Prototype of azimuth thruster
Fig.12 Change of thruster steering angle
Fig.13 Change of hydraulic pump volume flow rate
[1]   WU T, LI R, CHEN Q, et al A numerical study on modeling ship maneuvering performance using twin azimuth thrusters[J]. Journal of Marine Science and Engineering, 2023, 11 (11): 2167
doi: 10.3390/jmse11112167
[2]   邹康, 桂满海, 赖明雁 三吊舱船舶尾部附体对性能影响与螺旋桨功率不平衡分析[J]. 船海工程, 2023, 52 (6): 54- 59
ZOU Kang, GUI Manhai, LAI Mingyan Influence of appendages upon performance and propellers power imbalance analysis of a vessel with triple pods[J]. Ship and Ocean Engineering, 2023, 52 (6): 54- 59
[3]   唐文彪, 张聪, 欧阳武, 等 大型船舶吊舱推进器发展现状[J]. 舰船科学技术, 2020, 42 (7): 8- 12
TANG Wenbiao, ZHANG Cong, OUYANG Wu, et al Development status of large-scale ship pod propeller[J]. Ship Science and Technology, 2020, 42 (7): 8- 12
[4]   郑安宾, 许汪歆, 梁金雄, 等 吊舱式电力推进应用及发展[J]. 机电设备, 2022, 39 (5): 4- 8
ZHENG Anbin, XU Wangxin, LIANG Jinxiong, et al Application and development of podded electric propulsion[J]. Mechanical and Electrical Equipment, 2022, 39 (5): 4- 8
[5]   舒永东, 凌宏杰, 林勇刚, 等 全回转吊舱推进器动态转舵力矩数值预报研究[J]. 中国造船, 2024, 65 (1): 123- 132
SHU Yongdong, LING Hongjie, LIN Yonggang, et al Research on predicting dynamic rudder torque of fully rotating pod thruster[J]. Shipbuilding of China, 2024, 65 (1): 123- 132
[6]   中国船舶七〇四所研制10兆瓦大功率吊舱推进器取得重大突破 [EB/OL]. [2025-01-23]. https://www.csic.com.cn/n135/n171/n179/c29924/content.html
[7]   李祥光, 管义锋, 刘志伟, 等 基于STAR-CCM+的无轴轮缘推进器水动力性能分析[J]. 舰船科学技术, 2023, 45 (22): 50- 55
LI Xiangguang, GUAN Yifeng, LIU Zhiwei, et al Simulation of hydrodynamic performance of shaftless rim-driven thruster based on STAR-CCM[J]. Ship Science and Technology, 2023, 45 (22): 50- 55
[8]   张敏革, 韩光哲, 武天龙, 等 定子叶片对推进器水动力性能影响分析[J]. 舰船科学技术, 2023, 45 (23): 31- 38
ZHANG Minge, HAN Guangzhe, WU Tianlong, et al Influence analysis of stator blade on hydrodynamic performance of propeller[J]. Ship Science and Technology, 2023, 45 (23): 31- 38
[9]   陈振纬, 周赵烨 基于Ka4-70桨型的轮缘推进器水动力性能分析[J]. 船舶工程, 2023, 45 (12): 75- 83,93
CHEN Zhenwei, ZHOU Zhaoye Hydrodynamic blade design and analysis of rim-driven thruster based on Ka4-70 propeller[J]. Ship Engineering, 2023, 45 (12): 75- 83,93
[10]   HOU L X, HU A K, WANG S Energy saving performance analysis of contra-rotating azimuth propulsor. Part 2: optimal matching investigation in model scale[J]. Applied Ocean Research, 2019, 88: 29- 36
doi: 10.1016/j.apor.2019.04.016
[11]   HU J, ZHAO W, CHEN C G, et al Numerical simulation on the hydrodynamic performance of an azimuthing pushing podded propulsor in reverse flow and rotation[J]. Applied Ocean Research, 2020, 104: 102338
doi: 10.1016/j.apor.2020.102338
[12]   张文璨, 董国祥, 陈伟民 全回转推进器多偏转角工况水动力性能研究[J]. 上海船舶运输科学研究所学报, 2017, 40 (1): 6- 15
ZHANG Wencan, DONG Guoxiang, CHEN Weimin Research on hydrodynamic performance of azimuth thruster under multiple turning-angle working conditions[J]. Journal of Shanghai Ship and Shipping Research Institute, 2017, 40 (1): 6- 15
[13]   AKINTURK A, ISLAM M F, VEITCH B, et al Performance of dynamic azimuthing podded propulsor[J]. International Shipbuilding Progress, 2012, 59 (1/2): 83- 106
[14]   陈帅, 王靖凯, 刘国增, 等 动力定位船舶推进器的偏置组合设置[J]. 江苏船舶, 2023, 40 (5): 45- 46,60
CHEN Shuai, WANG Jingkai, LIU Guozeng, et al Bias combination setting of dynamic positioning ship propulsion[J]. Jiangsu Ship, 2023, 40 (5): 45- 46,60
[15]   REICHEL M Equivalent standard manoeuvres for pod-driven ships[J]. Ocean Engineering, 2019, 187: 106165
doi: 10.1016/j.oceaneng.2019.106165
[16]   ZHANG G. Azimuth thruster single lever type remote control system [M]// Fundamental design and automation technologies in offshore robotics. Amsterdam: Elsevier, 2020: 77–89. [LinkOut]
[17]   黄喆. 吊舱回转液压系统的设计与仿真研究 [D]. 大连: 大连海事大学, 2015.
HUANG Zhe. The design and simulation research of slewing hydraulic system on podded propulsion [D]. Dalian: Dalian Maritime University, 2015.
[18]   WU T, LI R, CHEN Q, et al A numerical study on modeling ship maneuvering performance using twin azimuth thrusters[J]. Journal of Marine Science and Engineering, 2023, 11 (11): 2167
doi: 10.3390/jmse11112167
[19]   SONG B W, WANG Y J, TIAN W L Open water performance comparison between hub-type and hubless rim driven thrusters based on CFD method[J]. Ocean Engineering, 2015, 103: 55- 63
doi: 10.1016/j.oceaneng.2015.04.074
[20]   WU T, LI R, CHEN Q, et al A numerical study on modeling ship maneuvering performance using twin azimuth thrusters[J]. Journal of Marine Science and Engineering, 2023, 11 (11): 2167
doi: 10.3390/jmse11112167
[21]   FENG X, FANG J, LIN Y, et al. Coupled aero-hydro-mooring dynamic analysis of floating offshore wind turbine under blade pitch motion [J]. Physics of Fluids, 2023, 35(4).
[22]   LIN Y, DAI F, SONG J, et al Simulation studies around the steering system of the azimuthing propulsor[J]. Ocean Engineering, 2022, 264: 112512
doi: 10.1016/j.oceaneng.2022.112512
[23]   吴晓明, 高殿荣. 液压变量泵(马达)变量调节原理与应用 [M]. 第 2版. 北京: 机械工业出版社, 2018.
[24]   CAD/CAM/CAE技术联盟. ADAMS 2018动力学分析与仿真从入门到精通 [M]. 北京: 清华大学出版社, 2020.
[25]   李增刚, 李保国. ADAMS入门详解与实例 [M]. 3版. 北京: 清华大学出版社, 2021.
[26]   张秀梅. 液压系统建模与仿真 [M]. 北京: 清华大学出版社, 2019.
[27]   ZHANG W, YUAN Q, XU Y, et al Research on control strategy of electro-hydraulic lifting system based on AMESim and MATLAB[J]. Symmetry, 2023, 15 (2): 435
doi: 10.3390/sym15020435
[28]   LIN Y, DAI F, LIU H, et al Design and control of the mechanical-hydraulic hybrid transmission system in wind turbines[J]. Mechatronics, 2024, 99: 103137
doi: 10.1016/j.mechatronics.2024.103137
[1] Xiao-long WANG,Hai-feng LV,Jin-ying HUANG,Guang-pu LIU. Model-free feedforward/feedback control scheme for magnetorheological damper[J]. Journal of ZheJiang University (Engineering Science), 2022, 56(5): 873-878.
[2] Hao CHEN,Xin-jie WANG,Jiong WANG,Zhan-wen XI,Yun CAO. Optimization and design of micro-electro-thermal actuator based on Kriging model[J]. Journal of ZheJiang University (Engineering Science), 2020, 54(8): 1490-1496.
[3] Hai-dong WU,Zhen-li SI. Intelligent vehicle trajectory tracking control based on linear matrix inequality[J]. Journal of ZheJiang University (Engineering Science), 2020, 54(1): 110-117.
[4] Yu-xi CHEN,Guo-fang GONG,Zhuo SHI,Hua-yong YANG. Coordinated control of gripper and thrust system for TBM based on construction data[J]. Journal of ZheJiang University (Engineering Science), 2019, 53(2): 250-257.
[5] LI Jin-lin, WANG Jia-bin, HE Wen. Electromechanical co-simulation analysis for contactless positioning and vibration isolation platform[J]. Journal of ZheJiang University (Engineering Science), 2019, 53(1): 146-157.
[6] ZHAO Jie-mei, HU Zhong-hui. Path following control of AUV in horizontal plane based on dynamic feedback control[J]. Journal of ZheJiang University (Engineering Science), 2018, 52(8): 1467-1473.
[7] ZHENG Peng-yuan, WANG Zhen-zhen, XIANG Zhen-dong, FENG Dong-han. Mixed multi-step feedback model predictive control for linear varying systems with measurable parameters[J]. Journal of ZheJiang University (Engineering Science), 2018, 52(4): 703-709.
[8] HUANG Xiao-shuo,HE Yan,JIANG Jing-ping. Internet based control strategy for brushless DC motor drive systems [J]. Journal of ZheJiang University (Engineering Science), 2013, 47(5): 831-836.
[9] HAO Chuan-chuan, FANG Zhou, LI Ping. Output feedback reinforcement learning control method
based on reference model
[J]. Journal of ZheJiang University (Engineering Science), 2013, 47(3): 409-414.
[10] WU Zhi-jun, ZHU Shao-peng, LIU Xiao-long, QIU Bin-bin. Power performance and ride comfort analysis of electric all-terrain vehicles[J]. Journal of ZheJiang University (Engineering Science), 2013, 47(12): 2227-2233.
[11] ZHU Kang-wu, GU Lin-yi, MA Xin-jun, XU Ben-tao. Studies on multivariable robust output feedback control for
underwater vehicles
[J]. Journal of ZheJiang University (Engineering Science), 2012, 46(8): 1397-1406.
[12] LIN Xiao-xia,ZHANG Shu-you,CHEN Jing,ZHAO Zhen. Time varying load course model for co-simulation of
multibody dynamics and finite element
[J]. Journal of ZheJiang University (Engineering Science), 2011, 45(9): 1643-1649.
[13] WANG Jian-Zhong, JIN Bei, LU Ren-Quan. Modeling and analysis of urban drainage system based on
leakage model
[J]. Journal of ZheJiang University (Engineering Science), 2010, 44(7): 1382-1386.
[14] WANG Dun-Hong, XUE An-Ke. Output feedback control for timedelay system with
quantized measurement
[J]. Journal of ZheJiang University (Engineering Science), 2010, 44(7): 1418-1422.