Please wait a minute...
Journal of ZheJiang University (Engineering Science)  2025, Vol. 59 Issue (12): 2655-2666    DOI: 10.3785/j.issn.1008-973X.2025.12.020
    
Sensorless control based on a three-parameter notch filter for pulsating high-frequency voltage injection
Xin LI(),Xiaoning LUO
College of New Energy and Power Engineering, Lanzhou Jiaotong University, Lanzhou 730070, China
Download: HTML     PDF(7285KB) HTML
Export: BibTeX | EndNote (RIS)      

Abstract  

A pulsating high-frequency voltage injection-based sensorless control strategy for permanent magnet synchronous motor (PMSM) based on a three-parameter notch filter (TPNF) was proposed to address the increased filtering delay, reduced observation accuracy and degraded dynamic performance caused by low-pass and band-pass filters in traditional pulsating high-frequency voltage injection methods for sensorless control of PMSM in the low-speed range. Based on analyzing the impact of filters in the signal processing stage on system performance, the TPNF was used to replace the low-pass filter to enhance the attenuation of injected high-frequency AC components in the system, while increasing the current loop bandwidth, and improving position estimation accuracy. Additionally, a fourth-order generalized integrator (FOGI) was used to replace the band-pass filter to extract high-frequency signals containing position information, further reducing the impact of filtering delay on position estimation accuracy and improving estimation accuracy. This approach enabled precise rotor position tracking and enhanced the system’s dynamic performance. Simulation and experimental results indicate that the proposed strategy achieves superior rotor position estimation accuracy and dynamic response compared to traditional methods under motor startup, sudden load application, and load-carrying speed variation conditions, effectively improving PMSM control performance at low speeds.



Key wordspulsating high-frequency voltage injection      sensorless control      permanent magnet synchronous motor (PMSM)      low-pass filter      three-parameter notch filter     
Received: 11 December 2024      Published: 25 November 2025
CLC:  TM 315  
Fund:  甘肃省科技重大专项计划资助项目(22ZD6GA028);甘肃省科技计划资助项目(联合科研基金)(24JRRA853);甘肃省教育厅:优秀研究生“创新之星项目(2025CXZX-727)”.
Cite this article:

Xin LI,Xiaoning LUO. Sensorless control based on a three-parameter notch filter for pulsating high-frequency voltage injection. Journal of ZheJiang University (Engineering Science), 2025, 59(12): 2655-2666.

URL:

https://www.zjujournals.com/eng/10.3785/j.issn.1008-973X.2025.12.020     OR     https://www.zjujournals.com/eng/Y2025/V59/I12/2655


基于三参数陷波器的脉振高频电压注入无位置传感器控制

传统脉振高频电压注入法采用低通滤波器和带通滤波器,在实现永磁同步电机(PMSM)低速域无位置传感器控制时,存在滤波延迟增加、观测精度降低以及动态性能变差的问题. 为此,提出基于三参数陷波器(TPNF)的脉振高频电压注入永磁同步电机无位置传感器控制策略. 在分析信号处理环节滤波器对系统性能影响的基础上,利用三参数陷波器取代低通滤波器增强对系统中注入高频交流分量的滤除,同时提高电流环带宽和位置估计精度;采用四阶广义积分器(FOGI)代替带通滤波器提取含有位置信息的高频信号,进一步减小滤波延时对位置估计精度的影响,实现对转子位置的精确跟踪和系统动态性能的提升. 仿真和实验结果表明,在电机启动、突加负载、带载变速工况下,转子位置估算精度和系统动态响应能力均优于传统方法,能有效提高电机在低速状态下的控制性能.


关键词: 脉振高频电压注入,  无位置传感器控制,  永磁同步电机(PMSM),  低通滤波器,  三参数陷波器 
Fig.1 Schematic diagram of relationship between three coordinate systems
Fig.2 Structure block diagram of conventional position error signal demodulation strategy
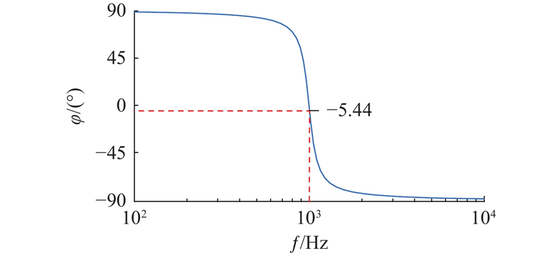
Fig.3 Bode plot and phase-frequency characteristic curve of LPF
Fig.4 Equivalent block diagram of a current loop
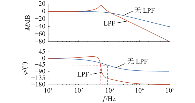
Fig.5 Closed-loop Bode plot of current loop with and without LPF for system
Fig.6 Phase-frequency characteristic curve of BPF
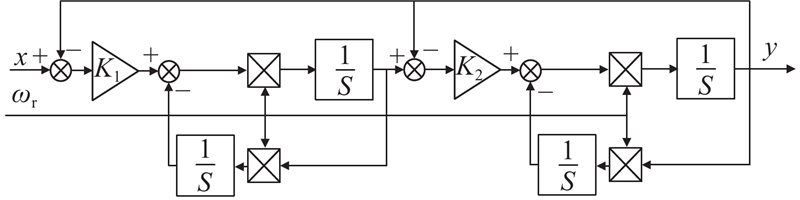
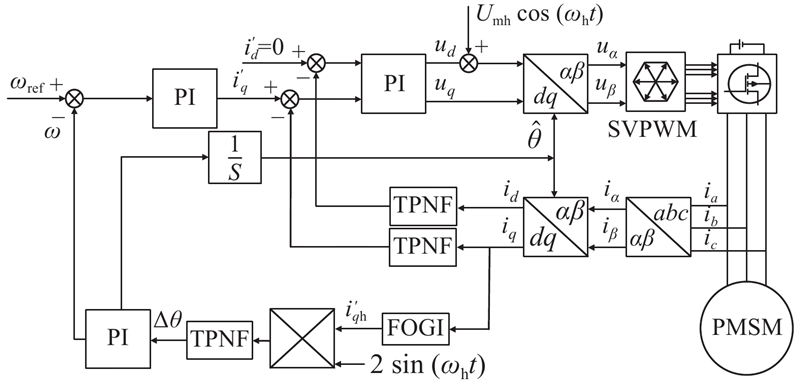
Fig.7 Improved control block diagram of high-frequency pulsating voltage injection method
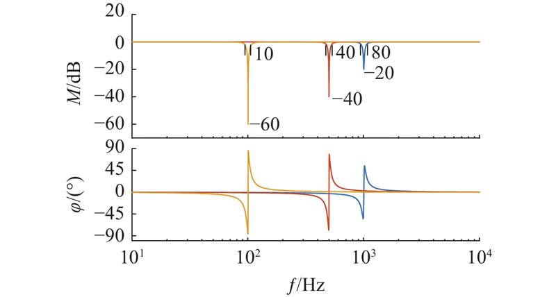
Fig.8 Bode plot of TPNF
Fig.9 Comparison of TPNF and LPF signal filtering
Fig.10 Block diagram of improved current loop structure
Fig.11 Current loop Bode plot before and after improvement
Fig.12 Structure of fourth order generalized integrator
Fig.13 FOGI Bode plot
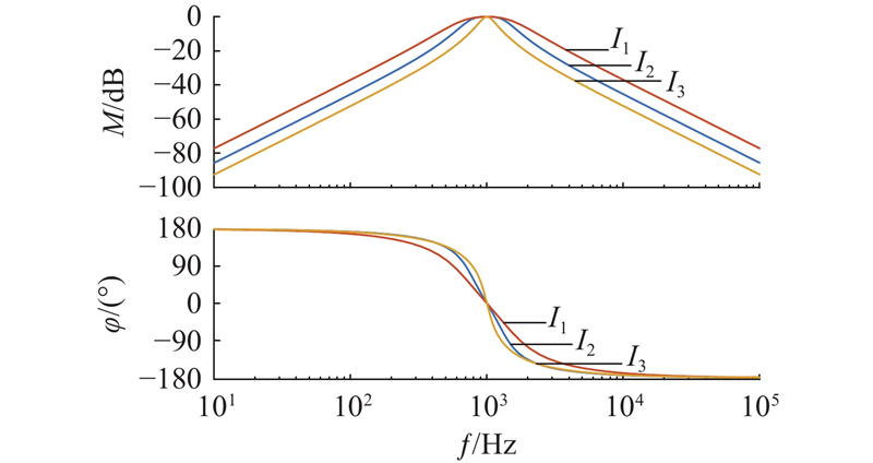
Fig.14 Comparison of signal extraction between FOGI and BPF
Fig.15 Structure block diagram of improved position error signal demodulation strategy
参数数值
直轴电感/mH1.74
交轴电感/mH2.08
直流侧电压/V24
定子电阻/Ω0.6
极对数/Pn2
转动惯量/(kg·m2)0.0008
Tab.1 Parameters of simulated motor
Fig.16 Comparison of simulation results before and after improvement under start-up and abrupt speed change conditions
Fig.17 Comparison of simulation results before and after improvement under load mutation conditions
参数数值
额定功率/W70
额定电压/V24
额定电流/A3
电感/mH2.08
定子电阻/$ \Omega $0.6
额定转速/(r·min?1)4800
极对数/Pn2
额定转矩/(N$ \cdot $m)0.22
Tab.2 PMSM motor parameters
Fig.18 Experimental platform for PMSM sensorless control
Fig.19 Comparison of motor start-up experiments before and after improvement under start-up condition
Fig.20 Comparison of motor speed abrupt change experiments before and after improvement under load mutation conditions
Fig.21 Experimental comparison of motor load speed transients before and after improvement under loaded acceleration and deceleration conditions
[1]   XIAO D, NALAKATH S, FILHO S R, et al Universal full-speed sensorless control scheme for interior permanent magnet synchronous motors[J]. IEEE Transactions on Power Electronics, 2021, 36 (4): 4723- 4737
[2]   VERRELLI C M, BIFARETTI S, CARFAGNA E, et al Speed sensor fault tolerant PMSM machines: from position-sensorless to sensorless control[J]. IEEE Transactions on Industry Applications, 2019, 55 (4): 3946- 3954
doi: 10.1109/TIA.2019.2908337
[3]   李浩源, 张兴, 杨淑英, 等 基于高频信号注入的永磁同步电机无传感器控制技术综述[J]. 电工技术学报, 2018, 33 (12): 2653- 2664
LI Haoyuan, ZHANG Xing, YANG Shuying, et al Review on sensorless control of permanent magnet synchronous motor based on high-frequency signal injection[J]. Transactions of China Electrotechnical Society, 2018, 33 (12): 2653- 2664
[4]   张彦平, 尹忠刚, 苏明, 等 基于共振扩张状态观测器的内置式永磁同步电机统一全速域无位置传感器控制[J]. 电工技术学报, 2023, 38 (22): 6070- 6081
ZHANG Yanping, YIN Zhonggang, SU Ming, et al Unified full speed sensorless control of interior permanent magnet synchronous motor based on resonance extended state observer[J]. Transactions of China Electrotechnical Society, 2023, 38 (22): 6070- 6081
[5]   尹忠刚, 张彦平, 张延庆, 等 采用免疫高频脉动信号注入的PMSM转速辨识方法[J]. 电工技术学报, 2016, 31 (Suppl.2): 243- 254
YIN Zhonggang, ZHANG Yanping, ZHANG Yanqing, et al High frequency pulsating signal injection for permanent magnet synchronous machines based on immune algorithm[J]. Transactions of China Electrotechnical Society, 2016, 31 (Suppl.2): 243- 254
[6]   郝嘉睿. 基于旋转高频注入法的永磁同步电机低速无位置传感器控制研究 [D]. 武汉: 华中科技大学, 2023.
HAO Jiarui. Research on low-speed sensorless control of permanent magnet synchronous motor based on rotating high-frequency injection method [D]. Wuhan: Huazhong University of Science and Technology, 2023.
[7]   刘计龙, 肖飞, 沈洋, 等 永磁同步电机无位置传感器控制技术研究综述[J]. 电工技术学报, 2017, 32 (16): 76- 88
LIU Jilong, XIAO Fei, SHEN Yang, et al Position-sensorless control technology of permanent-magnet synchronous motor-a review[J]. Transactions of China Electrotechnical Society, 2017, 32 (16): 76- 88
[8]   ZHANG X, LI H, YANG S, et al Improved initial rotor position estimation for PMSM drives based on HF pulsating voltage signal injection[J]. IEEE Transactions on Industrial Electronics, 2018, 65 (6): 4702- 4713
doi: 10.1109/TIE.2017.2772204
[9]   HAN B, SHI Y, SONG X, et al Initial rotor position detection method of SPMSM based on new high frequency voltage injection method[J]. IEEE Transactions on Power Electronics, 2019, 34 (4): 3553- 3562
doi: 10.1109/TPEL.2018.2850318
[10]   LUO X, TANG Q, SHEN A, et al PMSM sensorless control by injecting HF pulsating carrier signal into estimated fixed-frequency rotating reference frame[J]. IEEE Transactions on Industrial Electronics, 2016, 63 (4): 2294- 2303
[11]   LIN T C, ZHU Z Q Sensorless operation capability of surface-mounted permanent-magnet machine based on high-frequency signal injection methods[J]. IEEE Transactions on Industry Applications, 2015, 51 (3): 2161- 2171
[12]   ZAIM S, NAHID-MOBARAKEH B, MEIBODY-TABAR F Robust position sensorless control of nonsalient PMSM at standstill and low speeds[J]. IEEE Journal of Emerging and Selected Topics in Power Electronics, 2014, 2 (3): 640- 650
doi: 10.1109/JESTPE.2014.2307277
[13]   YANG S C, YANG S M, HU J H Design consideration on the square-wave voltage injection for sensorless drive of interior permanent-magnet machines[J]. IEEE Transactions on Industrial Electronics, 2017, 64 (1): 159- 168
[14]   谭广, 谭平安, 王博, 等 基于高频方波注入的永磁同步电机转子初始位置辨识[J]. 工程科学与技术, 2025, 57 (2): 267- 276
TAN Guang, TAN Ping’an, WANG Bo, et al Initial position identification of permanent magnet synchronous motor rotor based on high-frequency square wave injection[J]. Advanced Engineering Sciences, 2025, 57 (2): 267- 276
[15]   周奇勋, 王一航, 史柯柯, 等 基于广义二阶积分器的高频脉振电压注入PMSM无位置传感器控制[J]. 电机与控制学报, 2024, 28 (9): 179- 188
ZHOU Qixun, WANG Yihang, SHI Keke, et al Sensorless control of PMSM with HF pulsating voltage injection based on second-order generalized integrator[J]. Electric Machines and Control, 2024, 28 (9): 179- 188
[16]   廖光钰, 廖凯举, 徐伟, 等 基于高阶广义积分器的改进型直线振荡电机无位置传感器控制[J]. 电工技术学报, 2025, 40 (8): 2477- 2487
LIAO Guangyu, LIAO Kaiju, XU Wei, et al Improved position sensorless piston stroke control for linear oscillatory machine based on high-order generalized integrator[J]. Transactions of China Electrotechnical Society, 2025, 40 (8): 2477- 2487
[17]   张开继, 张国强, 李宇欣, 等 基于滑动平均滤波的永磁电机无位置传感器控制策略[J]. 电气工程学报, 2021, 16 (4): 93- 100
ZHANG Kaiji, ZHANG Guoqiang, LI Yuxin, et al Sensorless control strategy of permanent magnet motor based on moving average filtering[J]. Journal of Electrical Engineering, 2021, 16 (4): 93- 100
[18]   孙伟. 永磁同步电动机无位置传感器控制与高性能运行策略的研究 [D]. 杭州: 浙江大学, 2017.
SUN Wei. Study of PMSM position sensorless control and high performance operation strategy [D]. Hangzhou: Zhejiang University, 2017.
[19]   杜思宸, 全力, 朱孝勇, 等 基于高频注入的永磁同步电机零低速下位置传感器失效故障容错控制[J]. 中国电机工程学报, 2019, 39 (10): 3038- 3047
DU Sichen, QUAN Li, ZHU Xiaoyong, et al Fault-tolerant control of position sensor failure for PMSM at zero and low speed based on high frequency injection[J]. Proceedings of the CSEE, 2019, 39 (10): 3038- 3047
[20]   李东昇, 袁杰, 王坤东 SOGI级联SFNF的高频注入无传感器电机控制方法[J]. 电机与控制学报, 2024, 28 (3): 24- 32
LI Dongsheng, YUAN Jie, WANG Kundong High frequency injection sensor-less motor control method with cascade of SOGI and SFNF[J]. Electric Machines and Control, 2024, 28 (3): 24- 32
[21]   黄守道, 陈婷, 吴轩 基于五阶广义积分器的内置式永磁同步电机转子位置观测法[J]. 湖南大学学报: 自然科学版, 2020, 47 (6): 59- 67
HUANG Shoudao, CHEN Ting, WU Xuan Rotor position estimation method for fifth-order generalized integrator based interior permanent magnet synchronous motors[J]. Journal of Hunan University: Natural Sciences, 2020, 47 (6): 59- 67
[1] Hui GONG,Qiang FANG,Guo-qiang LI,Xiao-feng ZHENG,Yong-ren ZHU. Design of AGV motion control system based on model reference adaptive method[J]. Journal of ZheJiang University (Engineering Science), 2022, 56(9): 1867-1875.
[2] Shuo-feng ZHAO,Xiao-yan HUANG,You-tong FANG. DC-link voltage fluctuation compensation for selected harmonics elimination under low switching frequency[J]. Journal of ZheJiang University (Engineering Science), 2019, 53(2): 388-398.
[3] LI Quan-feng, HUANG Su-rong, HUANG Hou-jia. Noise and torque characteristics of permanent magnet synchronous motor with unequal pole arc structure[J]. Journal of ZheJiang University (Engineering Science), 2018, 52(11): 2210-2217.
[4] XIAO Wen-sheng, CUI Jun-guo, LIU Jian, WU Xiao-dong, HUANG Hong-sheng. Optimization study for reducing cogging torque in permanent magnet synchronous motor used for direct-drive oil pumping[J]. Journal of ZheJiang University (Engineering Science), 2015, 49(1): 173-180.
[5] WANG Ting, CHEN Bin, YAO Wen-xi, LV Zheng-yu. Pefrormance analysis of holtz flux observer in speed-sensorless induction motor drive[J]. Journal of ZheJiang University (Engineering Science), 2014, 48(9): 1690-1695.
[6] XIAO Wen-sheng, CUI Jun-guo, LIU Jian, WU Xiao-dong, HUANG Hong-sheng. ptimization study for reducing cogging torque in permanent magnet synchronous motor used for direct-drive oil pumping[J]. Journal of ZheJiang University (Engineering Science), 2014, 48(8): 1-8.
[7] WANG Meng, YANG Jia-qiang, ZHU Chang-sheng.
Sensorless control of permanent magnet synchronous machines in polar coordinates
[J]. Journal of ZheJiang University (Engineering Science), 2014, 48(10): 1893-1900.
[8] FANG Qiang, CHEN Li-peng, FEI Shao-hua, LIANG Qing-xiao, LI Wei-ping. Model reference adaptive control system design of localizer[J]. Journal of ZheJiang University (Engineering Science), 2013, 47(12): 2234-2242.
[9] BAI Yang,YANG Jia-qiang,ZENG Zheng. Design method of high performance digital low-pass filter
in harmonic detection algorithm
[J]. Journal of ZheJiang University (Engineering Science), 2013, 47(1): 169-173.
[10] FEI Shao-hua,FANG Qiang,MENG Xiang-lei,KE Ying-lin. Countersink depth control of robot drilling based on pressure
foot displacement compensation
[J]. Journal of ZheJiang University (Engineering Science), 2012, 46(7): 1157-1161.
[11] WANG Bo, GUO Ji-feng. Novel control system for ultrasonic motor based on low-pass filter[J]. Journal of ZheJiang University (Engineering Science), 2011, 45(1): 157-162.