高马赫数飞行器壁面质量引射流量分配多目标优化
Multi-objective optimization of wall mass injection flow ratedistribution for hypersonic vehicle
通讯作者:
收稿日期: 2024-11-11
Received: 2024-11-11
作者简介 About authors
邹昊(1999—),男,硕士生,从事高速飞行器主动流动控制降热减阻的研究.orcid.org/0009-0002-3531-2103.E-mail:
为了提升高速飞行器壁面质量引射减阻降热的综合效费比,针对高马赫数飞行器的工程外形,对引射表面进行合理分区,通过数值模拟获取样本构造代理模型. 以降低飞行器表面总热流和总阻力为优化目标,基于代理模型使用第二代非支配排序算法,对飞行器表面各分区引射流量进行多目标优化. 在高度为50 km,来流马赫数为15,攻角为5°,引射空气总流量为50 g/s的工况下,相对无质量引射方案,均匀质量引射方案的总阻力降低14.05%,摩擦阻力降低38%,总热流降低35.92%,峰值热流密度降低1.38%. 优化质量引射方案的总阻力降低22.56%,摩擦阻力降低53.96%,总热流降低53.40%,峰值热流密度降低30.77%. 研究结果表明,与均匀质量引射方案相比,优化质量引射方案侧重于将引射流量集中在气动力热负荷较大的头部及翼前缘区域,利用引射工质在高速主流作用下的附壁及沿程累积效应,改善了飞行器表面气膜厚度的分布,在维持引射总流量不变的前提下有效提高了整体和局部关键位置的减阻降热效果及效率.
关键词:
A hypersonic vehicle, where the injection surface was reasonably partitioned, was analyzed in order to enhance the cost-effectiveness of wall mass injection for high-speed vehicles. Numerical simulations were conducted to get sample data in order to construct surrogate models. A multi-objective optimization of the injection flow rates of different surface partitions was conducted based on surrogate models by using non-dominated sorting genetic algorithm II (NSGA-II), targeting the reduction of total heat flux and drag. The uniform mass injection scheme reduced total drag by 14.05%, friction drag by 38%, total heat flux by 35.92%, and peak heat flux by 1.38% compared with the no mass injection case under the conditions of 50 km altitude, Mach 15 freestream, 5° angle of attack, and a total air injection flow rate of 50 g/s. The optimized mass injection case reduced total drag by 22.56%, friction drag by 53.96%, total heat flux by 53.40%, and peak heat flux by 30.77%. Results indicate that the optimized mass injection case injects more cooling medium on regions with high aerodynamic and thermal loads, such as the nose and leading edges of the wings compared with the uniform mass injection case. This optimized case leverages the attachment and cumulative effects of the injected mass flow along the high-speed main flow, improves the distribution of surface film thickness and significantly enhances both the drag and heat reduction effects and efficiency of the overall and the critical local location, while maintaining a constant total injection flow rate.
Keywords:
本文引用格式
邹昊, 胡国暾, 邱云龙, 石伟, 陈伟芳.
ZOU Hao, HU Guotun, QIU Yunlong, SHI Wei, CHEN Weifang.
当高马赫数飞行器在大气层内飞行时,受来流空气压缩和摩擦效应的影响,面临严重阻力和气动加热的问题[1-2]. 随着对高马赫数飞行器飞行性能的需求不断提高,传统热防护技术逐渐无法满足高马赫数飞行器的防热需求. 在此背景下,主动热防护技术近年来成为热防护领域的研究热点之一[3]. 现有的主动热防护技术主要包括发汗冷却、对流冷却、冲击冷却及气膜冷却[4]. 其中发汗冷却技术利用冷却工质在多孔介质内部的强烈热交换及注入高速主流时的引射效应,以较小的冷却工质流量有效降低气动热负荷,进一步减少摩擦阻力. 对于发汗冷却机理与效果的研究主要集中在3个方面:多孔介质内部复杂的流动、相变与传热;冷却工质流出壁面后对流动及传热的作用效应;内外流影响的耦合研究. 其中,工质流出壁面后形成的质量引射效应会对飞行器近壁区域的流动结构与温度分布产生显著影响,进而能够产生显著的减阻与降热效果,是发汗冷却技术的研究热点之一,也是本文的关注重点.
对于低速主流情况下的质量引射,Kearney等[5-6]围绕物理关系与计算公式,开展了一些研究. 近年来,国内外研究主要针对流动现象与作用效果[7-10]. 随着飞行器的发展,超音速主流条件下的质量引射开始受到重视,国内外开展了大量的相关研究[11-19]. 已有的关于引射工质与主流相互作用的研究主要集中在3个方面:流动现象、机理及其作用效果. 研究结果表明,当注入率较小时,壁面质量引射会使边界层增厚,降低近壁速度和温度梯度,减小壁面摩阻和热流. 贴壁冷却气膜的厚度是影响当地减摩阻降热效果的关键因素. 对于高马赫数飞行器而言,气动力热负荷分布极不均匀[20],高气动力热负荷位置通常需要更厚的冷却气膜进行防护,因此有必要根据高马赫数飞行器力热载荷的分布特点进行引射工质流量的调配,调控贴壁气膜厚度分布,从而有效地提高壁面质量引射减阻降热的效果和效率. 近年来,国内外在主动质量引射流量分配优化方向开展了大量研究. Wu等[21]通过实验和数值方法,基于楔形鼻锥研究沿程非均匀孔隙率分布对发汗冷却效率的影响,发现与均匀孔隙率相比,通过提高驻点及其附近的孔隙率可以提升总体的冷却效果,改善鼻锥壁面的整体温度均匀性. Zhang等[10]通过LBM计算研究空间非均匀壁面引射对近壁流动结构及换热特性的影响,指出冷却剂层的稳定发展和覆盖是影响主动质量引射过程中流动换热的关键因素,空间非均匀质量引射为冷却复杂壁面及优化冷却效果提供了可能. 胡文杰等[22]前期针对钝楔和钝锥外形,开展了边界层质量引射减阻降热效果的数值模拟及流量分配优化研究. Liu等[23]基于钝楔外形,通过数值模拟研究超音速条件下梯度多孔介质的发汗冷却特性,优化结构,既提高了驻点冷却效率,又降低了无量纲喷射压力.
目前,关于主动质量引射流量分配优化的研究大多基于简单模型,缺乏在高马赫数条件下针对典型飞行器外形的研究. 已有研究在引射流量分配时,没有考虑实际高马赫数飞行器飞行时的气动力热负荷分布特点及复杂三维流动对引射减阻降热效果的影响,缺少基于典型飞行器三维工程外形,在高马赫数条件下优化壁面质量引射流量分配以提升减阻降热效果的研究. 针对这一问题,本文基于类HTV-2高马赫数飞行器的外形,对引射表面进行合理分区,通过数值模拟获取样本构造代理模型. 基于代理模型,使用第二代非支配排序算法(non-dominated sorting genetic algorithm II, NSGA-Ⅱ)对飞行器表面各分区引射流量分配进行多目标优化,以提高壁面质量引射的减阻降热效果及效率. 通过数值模拟验证优化结果,对比分析均匀引射和优化引射方案的减阻降热效果,为实际工程中壁面质量引射应用形式的优化提供参考思路.
1. 数值模拟方法
1.1. 模型与边界条件
采用高马赫数飞行器工程外形HTV-2作为研究对象,外形长度为4.00 m,翼展为1.83 m,高度为0.60 m. 计算模型、计算域及表面质量引射分区如图1所示. 所采用的飞行状态如下:高度为50 km,来流马赫数为15,攻角为5°,当以飞行器外形长度为参考长度时,来流雷诺数为1.20×106. 在此飞行条件下,认为流动为层流状态,引射气体为空气,不考虑化学反应的影响.
图 1
图 1 计算模型、计算域及表面质量引射分区的示意图
Fig.1 Schematic diagram of computational model, computational domain and surface mass injection zone
对飞行器壁面进行分区,分区依据主要是飞行器在计算工况下的表面热流密度分布和外形曲率. 将壁面沿飞行器轴向分为A、B、C 3段:A段覆盖飞行器头部驻点,B段紧邻A段,B段与C段之间的分界面与头部顶点的轴向距离为1.5 m. 将B段分区和C段分区依据背风面、翼前缘及迎风面的顺序分别分成3个子区域(B1、B2、B3分区和C1、C2、C3分区),最终形成7个引射分区. 其中A区域覆盖了飞行器头部的高热流区域,B2、C2区域覆盖了翼前缘的高热流区域,B1、C1覆盖了飞行器的背风面大面积区域,B3、C3覆盖了飞行器的迎风面大面积区域. 具体的引射区域划分情况如图1(a)所示.
来流入口采用超声速入口条件,出口边界条件采用质心外推法获取,壁面设定为无滑移的等温壁,将壁温设定为300 K. 主要研究低速引射气体注入主流时的作用效应,将壁面质量引射视为特殊的边界条件,给定分区引射质量流量,同一分区内各处的单位面积引射质量流量相同,引射气体的出口温度与壁温保持一致,以沿壁面法向的初速度注入外流场,利用迭代求解得到压力、温度参数. 初速度为
式中:
1.2. 控制方程与计算方法
数值计算的控制方程如下所示. 连续性方程为
动量方程为
能量方程为
式中:
1.3. 计算方法验证与网格无关性分析
式中:
图 2
图 2 质量引射效应计算准确性的验证结果
Fig.2 Verification result of calculation accuracy for mass injection effect
表 1 不同网格下的气动力热结果对比
Tab.1
| 网格 编号 | 网格数/ 106 | FL/N | FD/N | ϕsum/ kW | qmax/ (kW·m−2) |
| 1 | 2.12 | 743.38 | 585.67 | 721.676 | |
| 2 | 3.71 | 756.82 | 586.16 | 714.446 | |
| 3 | 5.83 | 766.75 | 589.13 | 713.953 | |
| 4 | 10.07 | 771.29 | 591.35 | 713.852 |
2. 代理模型构建与多目标优化
2.1. 采样方法与代理模型的构建
将各分区的引射流量作为设计变量,将飞行器所受的升力、阻力、摩擦阻力及总热流作为响应,构建代理模型. 为了确保较好的优化效果,确定各设计变量及其取值范围,如表2所示. 采用Box-Behnken方法进行采样,适当补充采样点后样本点数为96,用于构建代理模型.
表 2 质量引射的设计变量及其取值范围
Tab.2
| 设计变量 | 取值范围 | 设计变量 | 取值范围 | |
| A/(g·s−1) | [0,15] | C1/(g·s−1) | [0,20] | |
| B1/(g·s−1) | [0,20] | C2/(g·s−1) | [0,30] | |
| B2/(g·s−1) | [0,30] | C3/(g·s−1) | [0,30] | |
| B3/(g·s−1) | [0,30] | — | — |
代理模型构建采用响应面方法(response surface methodology,RSM),基于二次多项式模型,以最小化残差平方和为目标,基于完全搜索方法进行关键项取舍,提高模型的精度和质量. 在代理模型构建完成后进行精度检验,采用交叉验证的方式验证模型精度. 代理模型各响应的决定系数R2如表3所示. 其中,Ff为摩擦阻力. 结果显示,各响应的决定系数均大于0.9,表明该代理模型具有较高的精度.
表 3 代理模型精度的验证结果
Tab.3
| 响应 | R2 | 响应 | R2 | |
| FL | Ff | |||
| FD | ϕsum |
2.2. 灵敏度分析
因子对响应的主效应指因子在某个水平时,所有试验中响应的平均值. 通过分析某因子处于不同水平下的主效应,可以初步评估各因子对响应的影响程度,进而分析响应对各设计变量的灵敏度. 如图3所示为各设计变量对响应的主效应图. 其中,xlevel为归一化的设计变量水平,即分区引射流量除以该分区的流量取值范围上限.
图 3
从图3可知,响应FD、Ff和ϕsum受设计变量影响的趋势大致相同,随着各设计变量的增大而下降,但变化曲线渐趋平缓,表明提高引射流量有助于减阻降热,但随着引射流量增加,减阻降热效率下降. 响应FD、Ff和ϕsum主要受设计变量C2的影响,表明翼前缘下游区域的引射流量对飞行器总体阻力和热流的影响最显著. 另外,增大设计变量B3及C3有助于提升响应FL,而其余设计变量的增大使得响应FL有所减少,响应FL主要受设计变量C3的影响. 增加迎风面区域的引射流量会提高飞行器的升力,而增加其余区域的引射流量会使得飞行器升力有所降低,迎风面下游区域的引射流量对飞行器总体升力的影响最显著. 由前期研究发现,设计变量A的增加可以有效地降低头部区域的热流密度,实现热环境极端恶劣部位的热防护,但是对于气动力热的整体结果影响相对较小,因此设计变量A的主效应曲线较平缓.
2.3. 多目标优化设计方法
以最小化FD和ϕsum为优化目标,考虑到实际飞行器携带的冷却剂总量有限,将引射总流量约束在0~50 g/s. 在设计范围内优化各分区引射流量分配,以提升飞行器表面引射的减阻降热能力. 优化问题的描述如下所示.
基于NSGA-Ⅱ进行多目标优化. 当使用NSGA-Ⅱ算法进行多目标优化时,种群大小为240,遗传代数为50,交叉概率为0.9. 计算结果为一系列Pareto最优解组成的非劣解集,其在目标空间中的像如图4所示. 通过总热流和总阻力2个目标的权重系数W = [Wq, WD]对优化目标进行评估,其中Wq为总热流目标的权重系数,WD为总阻力目标的权重系数. 在目标空间中引入根据权重W决定的方向,从非劣解集中选取符合预期的Pareto最优解. 如图4所示,考虑到ϕsum和FD数量级的差距,选取W = [1, 1 000],在目标空间中作出在该权重系数下的加权目标等值线图,以等值线逼近非劣解集,得到符合预期的Pareto最优解OPT,如表4所示.
图 4
表 4 帕累托最优解OPT情况
Tab.4
| 参数 | 数值 | 参数 | 数值 | |
| A/(g·s−1) | 1.796 4 | C2/(g·s−1) | 25.146 6 | |
| B1/(g·s−1) | 0.009 9 | C3/(g·s−1) | 4.777 2 | |
| B2/(g·s−1) | 13.888 2 | FL/N | 727.200 3 | |
| B3/(g·s−1) | 0.135 1 | FD/N | 461.843 5 | |
| C1/(g·s−1) | 4.237 5 | ϕsum/W |
3. 优化结果及分析
3.1. 优化结果的验证与对比
在选取Pareto优解OPT后,需要评估在OPT设计点下代理模型结果与数值模拟结果之间的相对偏差,结果如下:FL的数值模拟结果为736.38 N,与代理模型的相对偏差为−1.25%;FD的数值模拟结果为456.20 N,与代理模型的相对偏差为1.24%;ϕsum的数值模拟结果为
基于数值模拟结果,分析优化引射方案对飞行器气动力热的影响及其与其他方案的差异. 各方案的引射流量分配如表5所示. 其中,均匀引射方案指所有分区均匀引射,摩阻分配方案指根据各分区的摩阻占比分配引射流量,热流分配方案指根据各分区的热流占比分配引射流量. 与其他方案相比,优化引射方案削减了机身大面积区域的引射流量,更侧重于将引射流量集中在头部及翼前缘区域. 各引射方案的总质量流量均为50 g/s,平均吹风比为0.114 4%. 平均吹风比
表 5 不同引射方案各分区的引射流量对比
Tab.5
| 引射方案 | A/(g·s−1) | B1/(g·s−1) | B2/(g·s−1) | B3/(g·s−1) | C1/(g·s−1) | C2/(g·s−1) | C3/(g·s−1) |
| 均匀引射 | |||||||
| 摩阻分配 | |||||||
| 热流分配 | |||||||
| 优化引射 |
各方案的气动力热数值模拟结果对比如表6所示. 其中,括号内为当前结果与无引射方案结果的相对变化值. 在研究工况下,黏性与黏性干扰效应十分显著,黏性干扰效应将引起当地摩擦阻力显著提升. 如表6所示,当没有施加壁面引射时,飞行器所受的摩阻为总阻力的43.93%,对飞行器气动性能的影响显著. 与无引射方案相比,均匀引射方案减少了38.00%的摩阻与14.05%的总阻力,摩阻分配方案减少了45.05%的摩阻与17.40%的总阻力,热流分配方案减少了45.14%的摩阻与17.46%的总阻力,优化引射方案减少了53.96%的摩阻与22.56%的总阻力. 结果表明,优化引射方案较其他引射方案表现出更好的减阻效果,减摩阻效果明显更优. 在所研究的注入率条件下,各引射方案无法减少压差阻力. 就降热效果而言,优化引射方案无论是在降低总热流方面还是在降低最大热流密度方面的表现,相较于其他引射方案均有较大的提升. 尤其是就最大热流密度的降低效果而言,均匀引射方案的最大热流密度较无引射方案仅减少了1.38%. 摩阻分配方案和热流分配方案的最大热流密度较无引射方案分别降低了9.70%和24.11%,对极端位置的热防护效果相较于均匀引射方案有所提升. 利用优化引射方案,可以将最大热流密度降低30.77%,显著提升了对极端位置的热防护效果.
表 6 不同引射方案的数值模拟结果对比
Tab.6
| 引射方案 | FD/N | Ff/N | ϕsum/kW | qmax/(kW·m−2) |
| 无引射 | 589.13 | 258.81 | 713.953 | |
| 均匀引射 | 506.37 | 160.46 | 457.517 | |
| 摩阻分配 | 486.63 | 142.23 | 407.638 | |
| 热流分配 | 486.28 | 142.00 | 403.445 | |
| 优化引射 | 456.20 | 119.15 | 332.691 |
综合来看,利用本文的优化引射方案,有效改善了极端位置的热环境,较其他方案显著提升了总体减阻降热效果和效率. 为了避免分析过程的赘述,下面以无引射方案、均匀引射方案和优化引射方案为对象展开分析.
3.2. 不同方案下的飞行器壁面引射气体覆盖情况
高速飞行器近壁冷却气膜厚度是影响边界层质量引射减阻降热效果的关键因素之一. 在一定程度内,气膜厚度越大,速度与温度边界层越厚,近壁切向速度与温度沿壁面法向的导数越小,减阻降热效果越明显. 如图5所示为飞行器壁面引射工质的质量分数wB分布情况. 可以看出,在层流状态下,无论是均匀引射方案还是优化引射方案,均能够保持稳定且连续的冷却气膜结构. 由于高马赫数来流的总压很大,而射流速度很小,即便射流以垂直于壁面的方向注入主流,也能够在主流的作用下很好地附着在飞行器壁面上,近壁冷却气层不会与高温主流发生明显混合. 气膜厚度除了与当地引射速度有关之外,主要与引射气体的沿程累积有关. 由于引射工质的沿程累积效应,均匀引射方案下机身下游大面积区域的气膜厚度显著大于头部及翼前缘区域,冷却气膜厚度具有显著的非均匀特性. 与均匀引射方案相比,优化引射方案增加了头部及翼前缘区域的引射流量,增大了头部及翼前缘区域的当地冷却气膜厚度,减少了机身大面积区域的引射流量,减小了机身大面积区域冷却气膜厚度,使得气膜的总体厚度更加均匀. 特别是在气动热环境恶劣且切应力较大的头部壁面附近区域,优化引射方案能够有效地使冷却气膜增厚,减弱高温主流向飞行器壁面的传热,减少表面摩阻. 由于引射工质的沿程累积,均匀引射方案在机身下游大面积区域的气膜厚度相对更大,造成冷却工质浪费. 在关键的头部位置,气膜厚度相对更小,无法有效地改善头部壁面附近的热环境. 这表明优化引射方案在流量分配及气膜厚度分布方面优于均匀引射方案.
图 5
3.3. 不同方案下飞行器表面摩阻的降低效果
在无引射方案下,飞行器表面摩擦系数的分布如图6所示. 表面摩擦系数Cf定义为
图 6
图 6 无质量引射方案的飞行器表面摩擦系数云图
Fig.6 Friction coefficient contour plot of aircraft surface for scheme without mass injection
式中:τ为飞行器表面所受的切应力.
从图6可知,飞行器头部驻点周围及翼前缘附近表面的切应力较大,驻点处的切应力较小,切应力峰值出现在驻点周围表面的环状区域内. 关于引射流量的调配,与均匀引射方案相比,优化引射方案更侧重于将流量集中在头部及翼前缘这些切应力更大的区域,从而更有效地降低表面摩阻,更好地匹配飞行器表面所受的切应力分布. 仿真结果表明,与无引射方案相比,优化引射方案的最大切应力降低了42.21%,均匀引射方案的最大切应力仅降低2.05%. 这表明优化引射方案可以更有效地减小高表面摩擦系数位置所受的切应力.
为了定量描述壁面质量引射,降低表面摩阻的效果,定义相对切应力变化率:
式中:
均匀引射与优化引射方案下的相对切应力变化率分布对比如图7所示. 在头部及翼前缘区域,与无引射方案相比,优化引射方案的切应力下降了30.10%~99.58%,均匀引射方案仅下降了0.80%~25.62%. 这表明优化引射方案在高表面摩擦系数区域降低切应力的效果显著优于均匀引射方案. 图7表明,优化引射方案在机身大面积区域降低表面切应力的效果不如均匀引射方案,这是由于引射流量主要分配在头部及翼前缘区域,在总流量一定的情况下,机身大面积区域的引射流量和当地冷却气膜厚度减小,导致降低表面切应力的效果减弱. 由于上游的引射工质会在主流的作用下贴附在飞行器壁面往下游覆盖,提升头部和翼前缘的引射流量,在一定程度上补偿了大面积区域冷却气膜厚度的损失. 机身大面积区域的切应力相对较小,不迫切需要增大冷却气膜的厚度. 优化引射方案通过适当削减机身大面积区域的引射流量,将流量集中在头部及翼前缘这些表面摩擦系数相对较大的位置,充分利用上游区域引射工质的沿程累积效果,使得整体和局部关键位置降低表面摩阻的效果与效率较均匀引射方案有了显著的提升.
图 7
图 7 不同引射方案的相对切应力变化率云图
Fig.7 Relative shear stress variation contour plot for different injection schemes
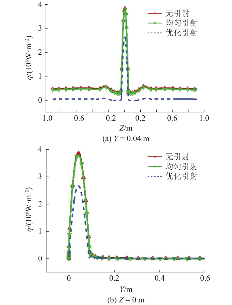
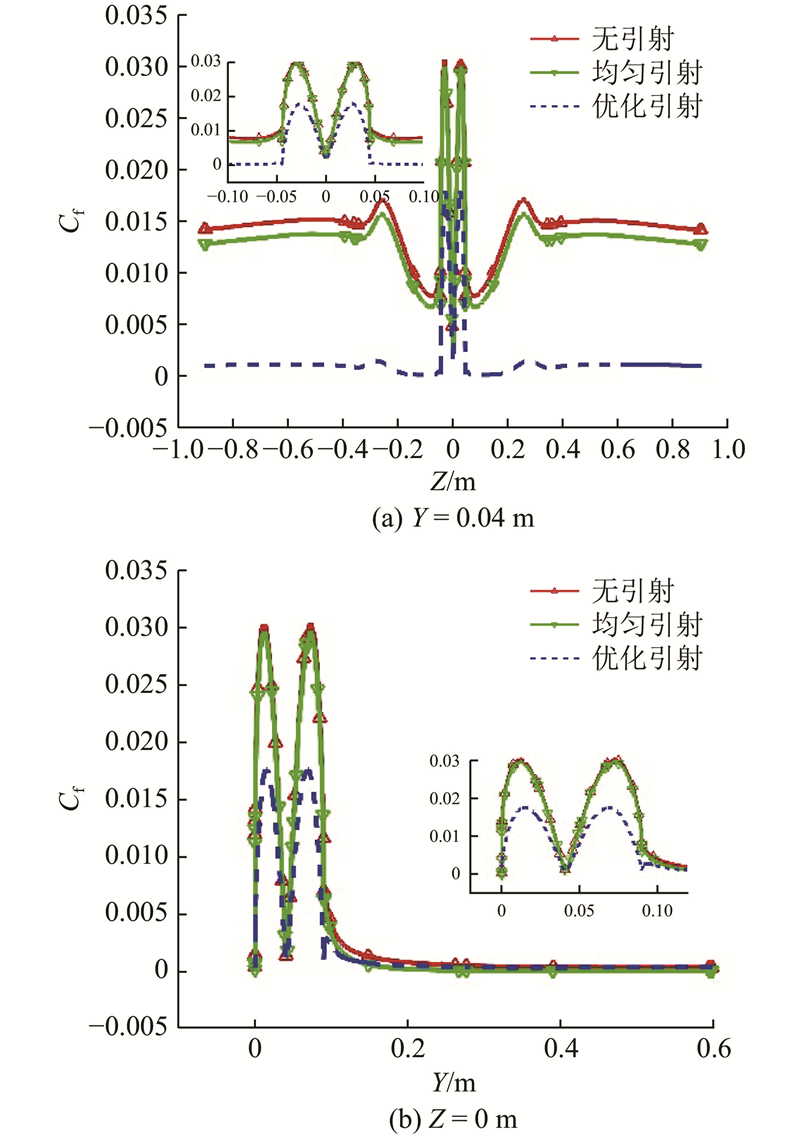
如图8所示为不同方案下的飞行器表面摩擦系数分布. 如图8(a)所示为表面摩擦系数沿翼前缘的分布(Y = 0.04 m),如图8(b)所示为表面摩擦系数沿子午线的分布(Z = 0 m). 3种方案下的表面摩擦系数分布趋势具有一致性,表面摩擦系数峰值出现在头部附近的位置,头部中间及机身大面积区域的表面摩擦系数较小. 图8进一步表明,优化引射方案显著降低了头部及翼前缘区域的表面摩擦系数,较均匀引射方案有较大的提升. 根据仿真计算结果可知,优化引射方案下A+B2+C2区域的摩阻减少量占无引射时全机摩阻的21.86%;在头部中间位置与机身大面积区域,表面摩擦系数均较低,3种方案的表面摩擦系数差距较小. B1+C1+B3+ C3区域的面积占比较大,表面摩擦系数的差异对摩阻的影响会在面积分过程中积累,根据仿真计算结果可知,优化引射方案下该区域的摩阻减少量占无引射时全机摩阻的32.11%. 与均匀引射方案相比,优化引射方案的流量分配更合理,整体和局部关键位置降低表面摩阻的效果与效率显著提升.
图 8
图 8 不同引射方案的飞行器表面摩擦系数分布
Fig.8 Friction coefficient distribution on aircraft surface for different injection schemes
如图9所示为不同方案流场的马赫数Ma云图. 由于单位面积引射流量和射流速度较小,2种方案对流场的影响主要局限在近壁区域,而对头部前激波的影响很小. 边界层质量引射通过低速引射工质在飞行器壁面上铺展,形成较厚的低速气流层,增大了速度边界层的厚度,降低了近壁流场的速度梯度,从而减少了壁面的切应力. 从图9可知,在机身下游大面积区域,特别是背风面下游区域,均匀引射方案的近壁低速气流层厚度显著大于无引射和优化引射方案. 从图5可知,其原因是均匀引射方案在这些区域形成了相对较厚的冷却气膜. 在机身下游大面积区域的表面摩阻相对较小,过厚的低速气流层意味着工质利用效率降低. 在表面摩阻相对较大的头部和翼前缘位置,均匀引射方案对近壁低速气流层的增厚效果不如优化引射方案,因而优化引射方案在这些关键位置降低表面摩阻的效果优于前者.
图 9
图 9 不同方案的流场马赫数云图
Fig.9 Mach number contour plot of flow field for different schemes
图 10
图 10 不同引射方案头部壁面附近(Y = 0.04 m, Z = 0 m)沿飞行器轴向的马赫数分布
Fig.10 Axial distribution of Mach number along aircraft near head wall (Y = 0.04 m, Z = 0 m) for different injection scheme
综上所述,优化引射方案侧重于将流量集中在头部和翼前缘这些切应力较大的位置,以增大低速气膜层的厚度,提升降低表面摩阻的效果. 与均匀引射方案相比,优化引射方案更有效地利用引射工质的沿程累积效应,引射流量分配与气膜厚度分布更合理,从而显著提升了总体和局部关键位置降低表面摩阻的效果与效率.
3.4. 不同方案下飞行器表面热流密度的降低效果
在无引射方案下,飞行器表面的热流密度q分布如图11所示. 高热流密度区域主要集中在头部和翼前缘附近,特别是在头部驻点区域存在热流密度峰值,气动加热问题最严重. 就引射流量调配而言,与均匀引射方案相比,优化引射方案更倾向于将流量集中在头部和翼前缘这些气动热环境较恶劣的区域,以提升热防护效果,更好地匹配飞行器表面所受的气动热负荷分布. 相对于无引射方案,优化引射方案使得最大热流密度降低了30.77%,而均匀引射方案仅降低1.38%. 这表明优化引射方案能够有效地改善气动热问题严重位置的热环境,而均匀引射方案几乎无法减小最大热流密度.
图 11
图 11 无质量引射方案的飞行器表面热流密度云图
Fig.11 Heat flux density contour plot on aircraft surface for scheme without mass injection
为了定量描述壁面质量引射的降热效果,定义相对热流密度变化率:
式中:
均匀引射方案与优化引射方案下的相对热流密度变化率分布对比如图12所示,在头部及翼前缘区域,优化引射方案的热流密度较无引射方案下降了30.62%~99.98%,而均匀引射方案仅下降了0.91%~21.92%. 这表明优化引射方案在这些高热流密度区域的降热效果明显优于均匀引射方案,其降热效果分布与所受的气动热负荷分布相匹配. 图12还表明,在机身大面积区域,优化引射方案的降低热流密度效果不如均匀引射方案. 这是因为优化引射方案的引射流量主要分配在头部及翼前缘区域,在总流量一定的情况下,与均匀引射方案相比,机身大面积区域的引射流量减小,因而当地冷却气膜厚度减小,降热效果有所减弱. 由于引射工质存在沿程累积效应,提高头部及翼前缘的引射流量可以在一定程度上补偿大面积区域冷却气膜厚度的损失. 图11表明,机身大面积区域的热流密度相对较小,适当削减这些区域的引射流量,可以有效地提升降热效率. 优化引射方案侧重于将流量集中在头部及翼前缘这些气动热环境相对更恶劣的位置,以提升热防护效果,减小大面积区域的引射流量,充分利用上游引射工质的沿程累积效果,使得总体及局部关键位置的降热效果较均匀引射方案显著更优,降热效率显著更高.
图 12
图 12 不同引射方案的相对热流密度变化率云图
Fig.12 Relative heat flux density variation contour plot for different injection schemes
如图13所示为不同方案下的飞行器表面热流密度分布图. 如图13(a)所示为沿翼前缘的分布(Y = 0.04 m),如图13(b)所示为沿子午线的分布(Z = 0 m). 3种方案的表面热流密度分布规律具有一致性,最大热流密度出现在头部区域,机身大面积区域的热流密度较低. 图13进一步表明,优化引射方案显著改善了热流密度较高的头部及翼前缘区域的热环境,使得当地表面的热流密度显著降低,而均匀引射方案在这些区域未能取得有效的降热效果. 与头部及翼前缘区域相比,机身大面积区域的气动加热程度较低,3种方案的热流密度差距不大. 与均匀引射方案相比,优化引射方案通过削减机身大面积区域的引射流量,提高头部及翼前缘区域的引射流量,实现了更合理的流量分配,显著提高了总体和局部关键位置的降热效果与效率.
图 13
图 13 不同引射方案的飞行器表面热流密度分布
Fig.13 Heat flux density distribution on aircraft surface for different injection schemes
图 14
图 14 不同引射方案头部壁面附近(Y = 0.04 m, Z = 0 m)沿飞行器的轴向温度分布
Fig.14 Axial temperature distribution along aircraft near head wall (Y = 0.04 m, Z = 0 m) for different injection schemes
综上所述,优化引射方案侧重于将流量集中在气动热环境更恶劣的头部及翼前缘. 与均匀引射方案相比,优化引射方案的引射流量分配和降热效果分布能够更好地与飞行器表面气动热负荷分布相匹配,更有效地利用引射工质的沿程累积效应,引射流量分配与冷却气膜厚度分布更合理,总体及局部关键位置的降热效果与效率显著更优.
在工程实践中,分区引射可以采用以下2种方案实现. 1)通过改变层板式结构、烧结粉末多孔介质的孔隙率和孔径,调节不同区域结构的压降-流量关系,在内部供给压力一定的情形下实现流量按需分配. 2)通过单独控制不同引射区域的供给压力,在结构压降-流量关系一致的情形下实现流量按需分配.
4. 结 论
(1)在研究工况下,无引射时研究模型的表面气动力热负荷分布呈现显著的非均匀特性. 头部及翼前缘区域的切应力和热流密度较大,机身大面积区域的切应力和热流密度较小,特别是头部区域的气动力热负荷较集中,切应力峰值出现在驻点周围的表面环状区域,热流密度峰值出现在驻点区域.
(2)对于壁面质量引射而言,根据表面气动力热负荷分布合理调配引射流量,利用引射工质在高速主流作用下的附壁及沿程累积效应,可以改善飞行器的表面气膜厚度分布,有效提高整体和局部关键位置的减阻降热效果及效率.
(3)优化引射方案侧重于将引射流量集中在气动力热负荷较大的头部及翼前缘区域. 与均匀引射方案相比,优化引射方案的流量分配更合理,整体和局部关键位置的减阻降热效果显著提升.
参考文献
壁面质量引射对高速飞行器减阻降热影响的研究
[J].DOI:10.7638/kqdlxxb-2023.0136 [本文引用: 1]
Effects of wall mass injection on drag and heat reduction characteristics of high-speed flight vehicles
[J].DOI:10.7638/kqdlxxb-2023.0136 [本文引用: 1]
临近空间飞行器发汗冷却研究进展
[J].
Review on transpiration cooling for near-space aircraft
[J].
飞行器主动热防护及试验技术进展
[J].
Review of active thermal protection system and test technology for flight vehicle
[J].
发汗冷却技术在飞行器上的应用及展望
[J].
Application and research progress of transpiration cooling technology in flight vehicles
[J].
Heat transfer to a strongly accelerated turbulent boundary layer: some experimental results, including transpiration
[J].DOI:10.1016/0017-9310(73)90136-1 [本文引用: 1]
Turbulent boundary layers with foreign gas transpiration
[J].
发汗冷却湍流换热过程的数值模拟
[J].
Numerical simulation for turbulent transpiration cooling processes
[J].
Experimental investigation of full-coverage effusion cooling through perforated flat plates
[J].DOI:10.1016/j.applthermaleng.2014.11.056
Turbulent heat-transfer and skin-friction measurements on a porous cone with air injection at high Mach numbers
[J].
Calculation of compressible turbulent boundary layers with heat and mass transfer
[J].DOI:10.2514/3.49920
Film cooling in laminar and turbulent supersonic flows
[J].DOI:10.2514/1.A32346
超声速主流下非稳态相变发汗冷却过程研究
[J].
Study on the unsteady transpiration cooling within the supersonic mainstream
[J].
Optimization transpiration cooling of nose cone with non-uniform permeability
[J].
高速飞行器边界层质量引射降热减阻技术流量分区优化研究
[J].DOI:10.6052/0459-1879-23-512 [本文引用: 2]
Optimization study of boundary layer mass injection flow rate by zonal divisions for heat and drag reduction of high-speed vehicles
[J].DOI:10.6052/0459-1879-23-512 [本文引用: 2]
Numerical simulation and structural optimization of transpiration cooling with gradient porous matrix in supersonic condition
[J].
升力体构型的边缘钝化方法及气动性能分析
[J].
Blunt method of lift body configuration and aerodynamic performance analysis
[J].
Combined effects of mass addition and nose bluntness on boundary-layer transition
[J].
/
| 〈 |
|
〉 |

