Please wait a minute...
浙江大学学报(工学版)  2025, Vol. 59 Issue (11): 2439-2450    DOI: 10.3785/j.issn.1008-973X.2025.11.023
航空航天工程     
高马赫数飞行器壁面质量引射流量分配多目标优化
邹昊1(),胡国暾2,*(),邱云龙1,3,石伟2,陈伟芳1
1. 浙江大学 航空航天学院,浙江 杭州 310027
2. 北京宇航系统工程研究所,北京 100076
3. 浣江实验室 先进飞行器研究中心,浙江 诸暨 311800
Multi-objective optimization of wall mass injection flow ratedistribution for hypersonic vehicle
Hao ZOU1(),Guotun HU2,*(),Yunlong QIU1,3,Wei SHI2,Weifang CHEN1
1. School of Aeronautics and Astronautics, Zhejiang University, Hangzhou 310027, China
2. Beijing Institute of Astronautical Systems Engineering, Beijing 100076, China
3. Advanced Aircraft Research Center, Huanjiang Laboratory, Zhuji 311800, China
 全文: PDF(2794 KB)   HTML
摘要:

为了提升高速飞行器壁面质量引射减阻降热的综合效费比,针对高马赫数飞行器的工程外形,对引射表面进行合理分区,通过数值模拟获取样本构造代理模型. 以降低飞行器表面总热流和总阻力为优化目标,基于代理模型使用第二代非支配排序算法,对飞行器表面各分区引射流量进行多目标优化. 在高度为50 km,来流马赫数为15,攻角为5°,引射空气总流量为50 g/s的工况下,相对无质量引射方案,均匀质量引射方案的总阻力降低14.05%,摩擦阻力降低38%,总热流降低35.92%,峰值热流密度降低1.38%. 优化质量引射方案的总阻力降低22.56%,摩擦阻力降低53.96%,总热流降低53.40%,峰值热流密度降低30.77%. 研究结果表明,与均匀质量引射方案相比,优化质量引射方案侧重于将引射流量集中在气动力热负荷较大的头部及翼前缘区域,利用引射工质在高速主流作用下的附壁及沿程累积效应,改善了飞行器表面气膜厚度的分布,在维持引射总流量不变的前提下有效提高了整体和局部关键位置的减阻降热效果及效率.

关键词: 壁面质量引射减阻降热高马赫数飞行器多目标优化引射流量分配    
Abstract:

A hypersonic vehicle, where the injection surface was reasonably partitioned, was analyzed in order to enhance the cost-effectiveness of wall mass injection for high-speed vehicles. Numerical simulations were conducted to get sample data in order to construct surrogate models. A multi-objective optimization of the injection flow rates of different surface partitions was conducted based on surrogate models by using non-dominated sorting genetic algorithm II (NSGA-II), targeting the reduction of total heat flux and drag. The uniform mass injection scheme reduced total drag by 14.05%, friction drag by 38%, total heat flux by 35.92%, and peak heat flux by 1.38% compared with the no mass injection case under the conditions of 50 km altitude, Mach 15 freestream, 5° angle of attack, and a total air injection flow rate of 50 g/s. The optimized mass injection case reduced total drag by 22.56%, friction drag by 53.96%, total heat flux by 53.40%, and peak heat flux by 30.77%. Results indicate that the optimized mass injection case injects more cooling medium on regions with high aerodynamic and thermal loads, such as the nose and leading edges of the wings compared with the uniform mass injection case. This optimized case leverages the attachment and cumulative effects of the injected mass flow along the high-speed main flow, improves the distribution of surface film thickness and significantly enhances both the drag and heat reduction effects and efficiency of the overall and the critical local location, while maintaining a constant total injection flow rate.

Key words: wall mass injection    drag and heat reduction    hypersonic vehicle    multi-objective optimization    injection flow rate distribution
收稿日期: 2024-11-11 出版日期: 2025-10-30
:  V 211  
通讯作者: 胡国暾     E-mail: 22224038@zju.edu.cn;huguotun@126.com
作者简介: 邹昊(1999—),男,硕士生,从事高速飞行器主动流动控制降热减阻的研究. orcid.org/0009-0002-3531-2103. E-mail:22224038@zju.edu.cn
服务  
把本文推荐给朋友
加入引用管理器
E-mail Alert
作者相关文章  
邹昊
胡国暾
邱云龙
石伟
陈伟芳

引用本文:

邹昊,胡国暾,邱云龙,石伟,陈伟芳. 高马赫数飞行器壁面质量引射流量分配多目标优化[J]. 浙江大学学报(工学版), 2025, 59(11): 2439-2450.

Hao ZOU,Guotun HU,Yunlong QIU,Wei SHI,Weifang CHEN. Multi-objective optimization of wall mass injection flow ratedistribution for hypersonic vehicle. Journal of ZheJiang University (Engineering Science), 2025, 59(11): 2439-2450.

链接本文:

https://www.zjujournals.com/eng/CN/10.3785/j.issn.1008-973X.2025.11.023        https://www.zjujournals.com/eng/CN/Y2025/V59/I11/2439

图 1  计算模型、计算域及表面质量引射分区的示意图
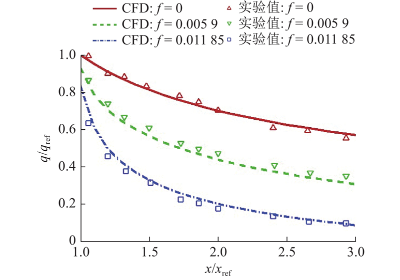
图 2  质量引射效应计算准确性的验证结果
网格
编号
网格数/
106
FL/NFD/N?sum/
kW
qmax/
(kW·m?2)
12.12743.38585.67721.6763871.56
23.71756.82586.16714.4463852.76
35.83766.75589.13713.9533850.29
410.07771.29591.35713.8523833.85
表 1  不同网格下的气动力热结果对比
设计变量取值范围设计变量取值范围
A/(g·s?1)[0,15]C1/(g·s?1)[0,20]
B1/(g·s?1)[0,20]C2/(g·s?1)[0,30]
B2/(g·s?1)[0,30]C3/(g·s?1)[0,30]
B3/(g·s?1)[0,30]
表 2  质量引射的设计变量及其取值范围
响应R2响应R2
FL0.99361Ff0.99925
FD0.99884?sum0.99930
表 3  代理模型精度的验证结果
图 3  设计参数对响应的主效应图
图 4  Pareto最优解分布
参数数值参数数值
A/(g·s?1)1.796 4C2/(g·s?1)25.146 6
B1/(g·s?1)0.009 9C3/(g·s?1)4.777 2
B2/(g·s?1)13.888 2FL/N727.200 3
B3/(g·s?1)0.135 1FD/N461.843 5
C1/(g·s?1)4.237 5?sum/W345486.872 2
表 4  帕累托最优解OPT情况
引射方案A/(g·s?1)B1/(g·s?1)B2/(g·s?1)B3/(g·s?1)C1/(g·s?1)C2/(g·s?1)C3/(g·s?1)
均匀引射0.07394.02210.77353.387922.03701.486718.2190
摩阻分配0.54863.32863.48704.646113.74897.698416.5424
热流分配1.39233.37993.68234.850613.21087.565215.9189
优化引射1.79640.009913.88820.13514.237525.14664.7772
表 5  不同引射方案各分区的引射流量对比
引射方案FD/NFf/N?sum/kWqmax/(kW·m?2)
无引射589.13258.81713.9533850.29
均匀引射506.37160.46457.5173797.25
摩阻分配486.63142.23407.6383476.70
热流分配486.28142.00403.4452921.92
优化引射456.20119.15332.6912665.69
表 6  不同引射方案的数值模拟结果对比
图 5  引射气体的质量分数云图
图 6  无质量引射方案的飞行器表面摩擦系数云图
图 7  不同引射方案的相对切应力变化率云图
图 8  不同引射方案的飞行器表面摩擦系数分布
图 9  不同方案的流场马赫数云图
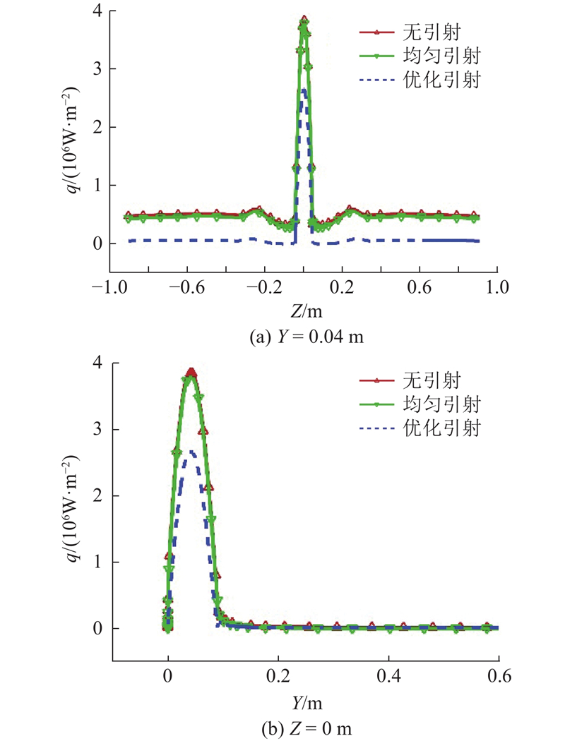
图 10  不同引射方案头部壁面附近(Y = 0.04 m, Z = 0 m)沿飞行器轴向的马赫数分布
图 11  无质量引射方案的飞行器表面热流密度云图
图 12  不同引射方案的相对热流密度变化率云图
图 13  不同引射方案的飞行器表面热流密度分布
图 14  不同引射方案头部壁面附近(Y = 0.04 m, Z = 0 m)沿飞行器的轴向温度分布
1 朱广生, 段毅, 姚世勇, 等 壁面质量引射对高速飞行器减阻降热影响的研究[J]. 空气动力学学报, 2023, 41 (8): 59- 70
ZHU Guangsheng, DUAN Yi, YAO Shiyong, et al Effects of wall mass injection on drag and heat reduction characteristics of high-speed flight vehicles[J]. Acta Aerodynamica Sinica, 2023, 41 (8): 59- 70
doi: 10.7638/kqdlxxb-2023.0136
2 栾芸, 贺菲, 王建华 临近空间飞行器发汗冷却研究进展[J]. 推进技术, 2023, 44 (1): 6- 20
LUAN Yun, HE Fei, WANG Jianhua Review on transpiration cooling for near-space aircraft[J]. Journal of Propulsion Technology, 2023, 44 (1): 6- 20
3 贾洲侠, 张伟, 吴振强, 等 飞行器主动热防护及试验技术进展[J]. 强度与环境, 2017, 44 (5): 13- 20
JIA Zhouxia, ZHANG Wei, WU Zhenqiang, et al Review of active thermal protection system and test technology for flight vehicle[J]. Structure and Environment Engineering, 2017, 44 (5): 13- 20
4 陈忠灿, 张凯, 李枫, 等 发汗冷却技术在飞行器上的应用及展望[J]. 清华大学学报: 自然科学版, 2024, 64 (2): 318- 336
CHEN Zhongcan, ZHANG Kai, LI Feng, et al Application and research progress of transpiration cooling technology in flight vehicles[J]. Journal of Tsinghua University: Science and Technology, 2024, 64 (2): 318- 336
5 KEARNEY D W, KAYS W M, MOFFAT R J Heat transfer to a strongly accelerated turbulent boundary layer: some experimental results, including transpiration[J]. International Journal of Heat and Mass Transfer, 1973, 16 (6): 1289- 1305
doi: 10.1016/0017-9310(73)90136-1
6 MEINERT J, HUHN R, SERBEST E, et al Turbulent boundary layers with foreign gas transpiration[J]. Journal of Spacecraft and Rockets, 2001, 38 (2): 191- 198
doi: 10.2514/2.3693
7 余磊, 姜培学, 任泽霈 发汗冷却湍流换热过程的数值模拟[J]. 清华大学学报: 自然科学版, 2003, 43 (12): 1668- 1671
YU Lei, JIANG Peixue, REN Zepei Numerical simulation for turbulent transpiration cooling processes[J]. Journal of Tsinghua University: Science and Technology, 2003, 43 (12): 1668- 1671
8 HUANG Z, XIONG Y B, LIU Y Q, et al Experimental investigation of full-coverage effusion cooling through perforated flat plates[J]. Applied Thermal Engineering, 2015, 76: 76- 85
doi: 10.1016/j.applthermaleng.2014.11.056
9 CHRISTOPHER N, PETER M J, KLOKER J M, et al. DNS of turbulent flat-plate flow with transpiration cooling [J]. International Journal of Heat and Mass Transfer, 2020, 157: 119972.
10 ZHANG Z H, SUN X C, WANG X, et al. Flow structure and heat transfer of transpiration cooling by using a LBM: the effects of wall blowing and spatially nonuniform injection [J]. International Communications in Heat and Mass Transfer, 2021, 127: 105491.
11 FOGAROLI R P, SAYDAH A R Turbulent heat-transfer and skin-friction measurements on a porous cone with air injection at high Mach numbers[J]. AIAA Journal, 1966, 4 (6): 1116- 1117
doi: 10.2514/3.3627
12 CEBECI T Calculation of compressible turbulent boundary layers with heat and mass transfer[J]. AIAA Journal, 1971, 9 (6): 1091- 1097
doi: 10.2514/3.49920
13 SREEKANTH, REDDY N M. Transpiration cooling analysis at hypersonic Mach numbers by using Navier-Stokes equations: AIAA 94-2075 [R]. Springs, Colorado: AIAA, 1994.
14 SREEKANTH, REDDY N M. Numerical simulation of transpiration cooling over blunt bodies at hypersonic mach numbers: AIAA 95-2082 [R]. Sandiego: AIAA, 1995.
15 YANG X, BADCOCK K, RICHARDS B, et al. Numerical simulation of film cooling in hypersonic flows: AIAA 2003-3631 [R]. Orlando: AIAA, 2003.
16 HOMBSCH M, OLIVIER H Film cooling in laminar and turbulent supersonic flows[J]. Journal of spacecraft and rockets, 2013, 50 (4): 742- 753
doi: 10.2514/1.A32346
17 熊宴斌. 超声速主流条件发汗冷却的流动和传热机理研究[D]. 北京: 清华大学, 2013: 109-116.
XIONG Yanbin. Study of the mechanism of flow and heat transfer on supersonic transpiration cooling [D]. Beijing: Tsinghua University, 2013: 109-116.
18 黄拯. 高温与超音速条件下发汗冷却基础问题研究[D]. 北京: 清华大学, 2015: 22-67.
HUANG Zheng. Research on the transpiration cooling in supersonic and high temperature flow [D]. Beijing: Tsinghua University, 2015: 22-67.
19 王丽燕, 檀妹静, 王振峰, 等. 低速引射对高超声速飞行器气动加热影响[J]. 南京航空航天大学学报, 2019, 51(4): 503-511.
WANG Liyan, TAN Meijing, WANG Zhenfeng, et al. Impact of low speed ejection on aerodynamic heating of hypersonic aircrafts [J]. Journal of Nanjing University of Aeronautics and Astronautics, 2019, 51(4): 503-511.
20 戴嘉鹏, 周禹, 李冬, 等 超声速主流下非稳态相变发汗冷却过程研究[J]. 工程热物理学报, 2024, 45 (2): 471- 477
DAI Jiapeng, ZHOU Yu, LI Dong, et al Study on the unsteady transpiration cooling within the supersonic mainstream[J]. Journal of Engineering Thermophysics, 2024, 45 (2): 471- 477
21 WU N, WANG J H, HE F, et al Optimization transpiration cooling of nose cone with non-uniform permeability[J]. International Journal of Heat and Mass Transfer, 2018, 127 (PB): 882- 891
22 胡文杰, 邱云龙, 邹昊, 等 高速飞行器边界层质量引射降热减阻技术流量分区优化研究[J]. 力学学报, 2024, 56 (6): 1688- 1701
HU Wenjie, QIU Yunlong, ZOU Hao, et al Optimization study of boundary layer mass injection flow rate by zonal divisions for heat and drag reduction of high-speed vehicles[J]. Chinese Journal of Theoretical and Applied Mechanics, 2024, 56 (6): 1688- 1701
doi: 10.6052/0459-1879-23-512
23 LIU T L, LIU Y F, DING R, et al Numerical simulation and structural optimization of transpiration cooling with gradient porous matrix in supersonic condition[J]. International Journal of Thermal Sciences, 2024, 198 (84): 108871
24 杨雨欣, 陈烨斯, 杨华, 等 升力体构型的边缘钝化方法及气动性能分析[J]. 浙江大学学报: 工学版, 2023, 57 (6): 1242- 1250
YANG Yuxin, CHEN Yesi, YANG Hua, et al Blunt method of lift body configuration and aerodynamic performance analysis[J]. Journal of Zhejiang University: Engineering Science, 2023, 57 (6): 1242- 1250
[1] 罗亚波,喻少龙,张峰,李存荣. 改进候鸟算法求解可重入混流车间批量流调度[J]. 浙江大学学报(工学版), 2025, 59(8): 1598-1607.
[2] 王昱,马春荣,赵明月. 基于混合策略多目标粒子群的异构无人机协同多任务分配[J]. 浙江大学学报(工学版), 2025, 59(4): 821-831.
[3] 李勇,王跃,柳富强,孙柏青,李恺如. 护工-机器人协作养老情境下的多任务分配框架[J]. 浙江大学学报(工学版), 2025, 59(2): 375-383.
[4] 张盈斐,胡小兵,周航,冯序增. 基于改进的NSGA-II算法的三维扇区自动划设[J]. 浙江大学学报(工学版), 2025, 59(2): 413-422.
[5] 陈海烨,张则强,梁巍,郭磊,段淇耀. 多约束人机协作U型拆卸线问题建模与优化[J]. 浙江大学学报(工学版), 2025, 59(11): 2248-2258.
[6] 刘超,丁浩,郑娟娟,黄绍服,罗祖青,沈刚. 丝杠旋铣预测建模与自适应优化方法[J]. 浙江大学学报(工学版), 2025, 59(11): 2259-2268.
[7] 郝梦园,张雷克,刘小莲,王雪妮,田雨. 基于人工兔算法的复杂输水系统泵阀联合优化调控[J]. 浙江大学学报(工学版), 2025, 59(10): 2115-2124.
[8] 余廷芳,张艮离,周嘉鹏,汤一村. 超临界CO2布雷顿循环耦合有机闪蒸循环的性能分析及优化[J]. 浙江大学学报(工学版), 2025, 59(1): 130-140.
[9] 李若琼,翁源,李欣. 分数阶磁耦合谐振双向无线电能传输系统参数优化[J]. 浙江大学学报(工学版), 2025, 59(1): 141-151.
[10] 叶倩琳,王万良,王铮. 多目标粒子群优化算法及其应用研究综述[J]. 浙江大学学报(工学版), 2024, 58(6): 1107-1120.
[11] 詹燕,陈洁雅,江伟光,鲁建厦,汤洪涛,宋新禹,许丽丽,刘赛淼. 基于改进NSGA-Ⅱ的多目标车间物料配送方法[J]. 浙江大学学报(工学版), 2024, 58(12): 2510-2519.
[12] 曹晓彦,于敏,周瑾,王运志. 可调旋转式流体阻尼器参数多目标优化设计[J]. 浙江大学学报(工学版), 2023, 57(7): 1439-1449.
[13] 余廷芳,宋凌. 超临界CO2布雷顿循环余热回收系统性能分析与优化[J]. 浙江大学学报(工学版), 2023, 57(2): 404-414.
[14] 王万良,陈忠馗,吴菲,王铮,俞梦娇. 基于个体预测的动态多目标优化算法[J]. 浙江大学学报(工学版), 2023, 57(11): 2133-2146.
[15] 王万良,金雅文,陈嘉诚,李国庆,胡明志,董建杭. 多角色多策略多目标粒子群优化算法[J]. 浙江大学学报(工学版), 2022, 56(3): 531-541.