多温区电场条件下磷酸铁锂电池机电特性
Mechanical and electrochemical characteristic of LiFePO4 battery under multi-temperature and electric field condition
通讯作者:
收稿日期: 2024-10-30
Received: 2024-10-30
作者简介 About authors
朱鸿儒(2001—),男,硕士生,从事锂离子电池荷电状态估计的研究.orcid.org/0009-0006-9220-1193.E-mail:
为了引入电池表面原位膨胀力拓展电池荷电状态(SOC)估计的输入数据维度从而提高估计精度,开展磷酸铁锂电池在不同温度和电场下的机械特性与电化学特性研究,包括设计并搭建电池多物理场信号采集台架,开展不同温度下的开路电压(OCV)测试、混合功率脉冲测试(HPPC)、表面原位膨胀力测试,分析电池的机械与电化学特性及其在不同工况下的多物理场行为. 结果表明,电池表面原位膨胀力随着SOC增加先增大后减小再增大,较开路电压对SOC的灵敏度更高. 膨胀力曲线的极值点位置受温度的影响较小,随温度升高有微小延后;受电流的影响较大,随电流增大明显提前并逐渐消失. 电池内阻随温度升高而明显下降,开路电压曲线在不同温度下具有较高的一致性. 实验研究展示了膨胀力信号在电池SOC估计应用中的潜力,为基于膨胀力信号的电池SOC估计提供理论基础和数据支持.
关键词:
The mechanical and electrochemical characteristics of LiFePO4 battery under different temperature and electric field were analyzed in order to introduce the in-situ surface expansion force as an additional input variable for the estimation of state of charge (SOC) and thus improve the estimation accuracy. A multi-physics signal acquisition platform was designed and constructed. Open-circuit voltage (OCV) tests, hybrid pulse power characterization (HPPC) tests, and in-situ surface expansion force measurements were conducted at different temperature. The mechanical and electrochemical characteristics of battery and its multi-physics responses under various operating conditions were analyzed. Results show that the in-situ surface expansion force first increases, then decreases, and then increases again as SOC rises, and it is more sensitive to SOC than OCV. The extrema of the expansion force curves are slightly affected by temperature, showing small delays with increasing temperature. They are strongly affected by current, occurring earlier and gradually disappearing as the current increases. The internal resistance decreases significantly with increasing temperature. The OCV curves exhibit high consistency across different temperature. The experimental results demonstrate that the expansion force signal has potential in SOC estimation and provide theoretical foundation and data support for SOC estimation methods based on expansion force signals.
Keywords:
本文引用格式
朱鸿儒, 陈自强, 依平.
ZHU Hongru, CHEN Ziqiang, YI Ping.
国内外学者已对电池多物理场模型逐步开展研究[7-8],锂离子电池的多物理场主要包括电场、化学场、热场、力场等[9]. 电化学场和热场的研究能够有效应用到热失控监测与电池可靠性的预测中,Sun等[10]开发了三维热-电耦合模型,可以快速地预测电池内部的非均匀热产生率、温度分布及温度变化. 顾延光[11]将隔膜应力和电极应力纳入耦合分析. 王旸等[12]构建包括电化学-应力模型、电化学-热模型、热-应力模型在内的电池多物理场模型,开展有限元仿真,分析电池性能. 马德正等[13]建立电化学-热-力耦合模型. 近年来,电池的表面原位膨胀力信号作为一种机械信号进入研究视野,该信号在电池充放电过程中保持较高的分辨率[14]且易于观测. 通过夹紧电池测试膨胀力进行热失控预警研究已有众多的进展. Lin等[15]利用膨胀力作为热失控预警信号,比温度信号提前1 314.61 s检测到磷酸铁锂电池故障. Li等[16]通过检测异常膨胀力,较电池热失控发生时间提前11 min预警. Chuang等[17]通过夹紧NCM523/石墨电池测试膨胀力的方式,验证了通过膨胀力进行热失控预警的准确性和及时性. 在电池SOC估计方面,Zhao等[18]提出使用长短期记忆算法和支持向量回归算法提取膨胀力与电压、电流中信息的锂离子电池SOC评估方法,减少对小数据采样间隔的依赖. Figueroa-Santos等[14]通过组合电池表面膨胀力和其他行为,使用开关估计增益,提升SOC的估计精度. Jiang等[19]建立锂离子袋电池EmCM模型,用于实时估算电池的荷电状态. 锂离子电池的表面膨胀力特性近年来受到广泛关注,刘萍等[20]研究磷酸铁锂电池表面膨胀力随SOC的变化关系. Li等[21]研究不同循环条件下膨胀力的老化机制. Li等[22]研究不同电极片数下电池膨胀力的变化规律. 特性研究结果对电池管理系统的设计具有指导意义.
锂离子电池表面膨胀力及电化学信号的特性研究对组合多物理信号用于SOC估计及热失控预警有着重要作用. 目前,对膨胀力与SOC关系、膨胀力老化及其与电极关系的研究较多,联合分析电池表面膨胀力信号在不同温度、电场下变化特性的研究较少. 本文针对磷酸铁锂电池分析不同温度和电场下的表面原位膨胀力与电化学特性,设计并搭建多物理场信号采集台架,同步采集电池表面原位膨胀力、温度、电压、电流等多种信号并联合分析,对电池在不同工况下的多物理场行为(包括电池内阻特性、开路电压特性、表面原位膨胀力学特性、温度特性)开展实验研究.
1. 实验台架的搭建
1.1. 实验对象
选用力神3.2 V/23 A·h动力储能型磷酸铁锂电池作为机械与电化学特性实验的实验对象. 该电池为方形铝壳单体电芯电池,将磷酸铁锂作为正极材料,石墨为负极材料,详细参数如表1所示. 其中,Vnom为电池标称电压,Qnom 为标称容量,Irate为额定电流,C为额定容量,Vchgmax为充电截止电压,Vdismin为放电截止电压.
表 1 用于多温度下机械与电化学特性实验的电池的基本参数
Tab.1
| Vnom/V | Qnom/(A·h) | (IrateC−1)/h−1 | Vchgmax/V | Vdismin/V |
| 3.2 | 23 | −0.5~2 | 3.65 | 2.5 |
1.2. 实验台架的设计
为了准确测量磷酸铁锂电池在不同工况下的多物理信号,设计并搭建新型实验台架,集成了表面膨胀力、电信号和温度信号的测量功能,能够用于多种方型铝壳电池的多物理信号测试. 为了准确采集电池表面的原位膨胀力,设计实验夹具,如图1所示.
图 1
夹具由上夹板、压力传感器、定位板、下夹板组成. 上、下夹板通过螺栓固定,能够提供稳定的机械支撑,并有效限制电池在垂直夹板方向上的位移,确保压力传感器与电池表面的紧密接触. 在上夹板中心设置圆形凹槽,将压力传感器固定在电池表面中心,确保测量精确. 传感器背面使用螺钉加固,凹槽下方设置圆形通孔引出传感器数据线. 下夹板设置下沉通孔,安装固定螺栓. 夹板采用导热性好的铝合金制成,避免电池在充放电过程中散热不良. 定位板用于限制电池在平行方向上的位移,在电池两端留出空间引出电极连接测试设备. 定位板为3D打印制作,可换性高,对于不同型号的被试电池,仅须根据电池尺寸重新打印定位板即可使用夹具. 压力传感器为平面按压式,量程为
为了验证夹具测试结果的可重复性,在相同工况下进行3次重复实验. 实验过程均为以11.5 A恒流充电至3.65 V,然后以3.65 V恒压充电至电流降至1.3 A. 3次实验的结果如图2所示. 可知,膨胀力Fexp的最大误差不超过1.8%,表明测试具有较高的精度.
图 2
该实验夹具与温箱、新威Battery Testing System(BTS)组成如图3所示的实验台架.
图 3
图 3 多温度下电池机械与电化学特性的实验台架
Fig.3 Experimental setup for mechanical and electrochemical characterization of battery under multiple temperature
将夹具装置放入温箱中,通过温箱维持测试所需的不同环境温度. 将电池接入BTS,可以按照需求设置工步对电池进行充放电实验,监测电池的电压、充放电容量、持续时间、压力传感器数据、温度传感器数据等参数.
2. 内阻及开路电压特性
2.1. 内阻特性
内阻是磷酸铁锂电池的关键技术指标,不仅影响电池的功率输出,还对电池的健康状态监测起到重要作用. 采用混合功率脉冲测试(hybrid pulse power characteristic, HPPC)在多个温度测量不同SOC下的电池充放电欧姆内阻Rohm、极化内阻Rpol和总内阻Rtotal,后文分析内阻与温度的关系. 通过实验,得到磷酸铁锂电池在10 ℃环境温度、不同SOC下的充电内阻Rc和放电内阻Rd曲线,如图4所示.
图 4
图 4 磷酸铁锂电池的内阻曲线
Fig.4 Resistance curve of lithium iron phosphate (LiFePO4) battery
观察图4可以发现,在SOC=[0.05,1]的区间内,磷酸铁锂电池的欧姆内阻基本保持不变,总内阻的变化主要由极化内阻变化引起. 在SOC=[0.1, 0.95]的区间内,电池总内阻随着充放电进程缓慢增加. 当电池刚启动充放电时,内阻处于较大值. 总体来看,磷酸铁锂电池的充电内阻大于放电内阻,这是由于充电时,正极的锂离子脱嵌过程容易造成更大的极化现象,且SEI膜可能由于高电位而增厚或重新形成,增大了界面阻抗. 在其他温度下进行HPPC测试,得到相似的规律.
2.2. 开路电压的特性
电池的开路电压(open circuit voltage, OCV)是指电池断电后正、负极电位差达到的稳定值,是SOC估算中的关键参数. 电压趋于稳定所需的时间主要与电池断电前的SOC、电流倍率和环境温度等因素有关. 准确描述开路电压的变化规律,直接影响SOC估算的精度. 采用静置法,研究SOC与开路电压稳定值的关系.
静置法是指在电池停止工作后,通过将电池静置足够久的时间来获得稳定的OCV. 在多个环境温度下,设计实验如下.
1)将电池电量放光,静置3 h后,采用0.5 C倍率的电流(11.5 A)给电池充电,调整SOC至0.05.
2)静置1.5 h,记录电压在这1.5 h内的变化.
3)继续以0.5 C倍率对电池充电,调整SOC至0.1,0.15,0.2
4)使用1.3 A电流充电至截止电压3.65 V,此时电池电量充满,静置3 h后,以0.5 C倍率对电池放电,调整SOC至0.95, 0.9, 0.85
根据实验结果,在电池断电静置1.5 h后,电池电压的变化率已经下降到0.3 mV/10 min,可以视作稳定,取实验中静置1.5 h时电池的电压为电池在该SOC下的OCV,绘制10 ℃时磷酸铁锂电池的SOC-OCV曲线,如图5所示.
图 5
观察图5发现,放电时的OCV约比充电时小0.7%,这是由于电池在断电后,其电压需要静置一段时间才能达到稳定值,恢复过程较慢,静置时间不足以让充、放电时的SOC完全相等. 分析充放电OCV的平均值曲线可知,电池SOC-OCV曲线呈阶梯状上升,中间有2段恒值区域,第1段SOC=[0.3, 0.5],OCV为3.29 V,此时锂离子的插层和扩散速率相对较慢,导致电压变化缓慢. 随着SOC的增加,电压进一步上升,在到达SOC=[0.65, 0.95]时稳定于3.33 V,此时电极材料已接近饱和,锂离子已接近最大插入量,这一范围内电池的电化学反应较稳定,因此电压变化不再显著. 这样的特性表示即使电池的实际SOC发生变化,电压变化也较小,在一定程度上会导致SOC估计的灵敏度降低,难以判断电池的真实状态,需要引入更多的辅助信息.
3. 原位膨胀力学特性
电池在充放电过程中由于电极材料的膨胀收缩会产生可观的表面原位膨胀力,该力可以通过压力传感器监测. 该力不仅能够反映电池内部的电化学反应,还为BMS中的SOC与SOH估算提供了新型的监测手段.
3.1. 原位膨胀力与SOC的动态关系
设计实验在连续充放电的情况下测量电池的原位膨胀力,为了使能够测量的SOC区间足够宽,实验采用1 A小电流充放电. 先将电池电量放空,静置3 h后使用1 A电流充电至截止电压3.65 V,再静置3 h后使用1 A电流放电至截止电压2.5 V,记录整个过程中膨胀力的变化. 规定磷酸铁锂电池在环境温度为5 ℃,SOC = 0时的膨胀力为0 N,统一所有充放电过程的膨胀力基准,绘制5 ℃下Fexp随SOC的变化曲线,如图6所示.
图 6
分析图6可知,电池表面膨胀力随着SOC的变化表现出明显的非线性特征. 在充电过程中,膨胀力随SOC的增加表现出“先增大后减小再增大”的趋势,在SOC=0.26和SOC=1处分别出现峰值,而在SOC=0和SOC=0.56处表现为谷值. 放电时膨胀力随SOC的变化趋势与充电时基本一致,在SOC=0.3和SOC=1处达到峰值,在SOC=0和SOC=0.59处出现谷值. 这一变化趋势与锂离子的转移有关,以充电为例,当SOC较小时,锂离子逐渐嵌入石墨晶格,石墨由C过渡到LiC18. 这一相变伴随着晶格扩张,导致负极材料体积膨胀的增加,表现出表面膨胀力的上升,当锂离子进一步嵌入石墨时,石墨相从LiC18转化为LiC12,导致碳层发生滑移. 在此过程中,尽管锂离子继续插入,但石墨的体积膨胀速率减缓甚至趋于稳定,此时正极的体积收缩率较高,占主导地位,表现为表面膨胀力的下降. 随着SOC的进一步增加,石墨相从LiC12转化为LiC6,这种转变伴随明显的晶格扩张[21],导致测得表面膨胀力又开始上升. 放电过程与之对称. 该结果展现了膨胀力信号对SOC变化的高敏感性,尤其在OCV曲线较平坦的SOC区间,表面膨胀力信号呈现显著的下降和上升趋势. 通过引入膨胀力信号,能够提升估计方法对SOC的灵敏度,有效解决单独依赖OCV估算SOC时存在的特征不明显问题. 膨胀力信号在SOH估计方面有极大的潜力,膨胀力会随着循环的多次进行而增大,位于中低SOC区间的极大值增长速度更快. 在Li等[21]的研究中,电池第2 500次循环时,电池容量下降到初始SOH的86.29%,中低SOC区间的膨胀力极大值上升到初始值的5.248倍,且位置不随寿命衰减而改变. 该特征易于观测,可以通过测量该特定SOC下的膨胀力来辅助估计电池的SOH.
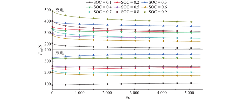
实验继续分别使用5、10、15、20 A的电流,重复上述充放电实验. 根据实验数据,绘制不同电流下电池充放电膨胀力Fexp随SOC的变化曲线,如图7所示.
图 7
图 7 不同电流充放电时磷酸铁锂电池的膨胀力曲线
Fig.7 Expansion force curve of LFP battery during charging and discharging at different current
从图7可见,在不同的电流条件下,膨胀力随SOC变化的趋势一致. 在充放电初期,随着电流倍率的增加,锂离子嵌入/脱出负极石墨的速度加快,使得体积膨胀效应增强,相同SOC的膨胀力变大. 在到达充电膨胀力的极大值点和放电膨胀力的极小值点后,高电流倍率下,充放电膨胀力信号对SOC的特征变化较平滑,波动幅度减小,可见此时电池内部的锂离子浓度梯度增加,使得局部锂离子嵌入/脱嵌过程变得更加同步,从而使电池的膨胀和收缩趋于均匀化,且更快达到体积变化的饱和状态.
充放电过程的第2个极值点随着电流倍率增大而逐渐提前,充电时最大提前0.106(10.6%),而放电时极值点随着曲线平滑已经逐渐消失,这些特性与高倍率下局部区域相变时间提前的现象一致[23]. 各放电膨胀力曲线相交于[SOC, Fexp] = [0.5, 222.5]点,这一稳定的特征点为电池SOH监测提供了依据,可以根据循环衰退实验检查这一交点的变化.
3.2. 利用静置法研究电池表面原位膨胀力的恢复
类比2.2节的静置法,在电池停止工作后静置足够时间来获得稳定的表面原位膨胀力,探究SOC对电池表面原位膨胀力恢复的影响. 在5 ℃环境温度下,设计实验如下.
1)将电池电量放光,静置3 h后,以0.5 C倍率对电池充电,调整SOC至0.05.
2)静置1.5 h,记录电池原位膨胀力在这1.5 h内的变化.
3)继续使用0.5C(11.5 A)电流给电池充电,调整SOC至0.1,0.15,0.2
4)使用1.3 A电流充电至截止电压3.65 V,此时电池电量充满. 在静置3 h后,使用0.5C(11.5 A)电流给电池放电,调整SOC至0.95,0.9,0.85
通过实验,获得不同SOC下电池在充放电静置期的表面原位膨胀力Fexp随时间t的恢复情况,如图8所示.
图 8
图 8 不同SOC下磷酸铁锂电池静置期的膨胀力恢复
Fig.8 Expansion force recovery of LFP battery during rest period at different SOC
图 9
图 9 不同SOC下磷酸铁锂电池静置期的膨胀力变化率
Fig.9 Expansion force change rate of LFP battery during rest period at different SOC
结果表明,电池充电后静置阶段的膨胀力单调下降,当SOC较低时,膨胀力变化幅度小,且较快达到稳定值;随着SOC的升高,膨胀力的变化幅度增大,达到稳定状态所需的时间延长. 电池放电后静置阶段的膨胀力在刚断电时下降,随后缓慢回升,不同SOC下的膨胀力稳定值与初始值之间无固定关系. 当SOC较低和较高时,稳定值往往大于初始值;当SOC处于中间区域时,初始值较大. 总的来看,初始值与稳定值的差别较小,可见电池放电时表面原位膨胀力受动态电流的影响较小,这种特性使得膨胀力相比OCV在复杂动态工况下能够稳定地反映电池SOC,较少依赖静置条件,表现出更强的抗干扰能力.
根据静置实验结果可知,电池断电静置1.5 h后,表面原位膨胀力的变化率已降至0.1 N/min,可以视作稳定. 取静置1.5 h时电池的表面原位膨胀力为电池在该SOC下的稳定膨胀力Fsta,代表了电池内部应力和锂离子浓度平衡后的稳定状态,从而反映了电池的总体机械变形情况. 绘制磷酸铁锂电池的SOC-Fsta曲线,如图10所示.
图 10
4. 温度特性
前文所分析的电池内阻特性、开路电压特性、原位膨胀力学特性都与环境温度有很大关系. 接下来将分析温度作为关键外部因素如何影响这些信号,揭示多物理场下电池性能的综合表现.
4.1. 环境温度对电池内阻特性的影响
电池的内阻特性与环境温度密切相关,不同温度下的充放电内阻存在显著差异. 按照2.1节的实验方法,测量磷酸铁锂电池在5、10、15、20、30 ℃下充放电的Rohm、Rpol、Rtotal,绘制相应的内阻曲线,如图11所示.
图 11
图 11 不同温度下磷酸铁锂电池的内阻曲线
Fig.11 Resistance curve of LFP battery at different temperature
通过对比不同温度下的充放电内阻,可以得出以下结论. 随着环境温度的升高,电池的Rohm、Rpol、Rtotal都逐渐减小. 这表明温度升高有助于降低电池的整体内阻,特别是在低温区间(5~15 ℃),变化幅度较明显,而在较高温度(20~30 ℃)下变化较平缓. 总体上,温度升高导致电池内部离子迁移和电流传输能力的提升,电极反应更活跃,从而降低内阻. 在测量的温度范围内,欧姆内阻的最大变化率达到57%,而极化内阻的最大变化率为53%,说明温度变化对电池欧姆电阻的影响更大. 获取不同温度下准确的电池内阻数据,对多工况下的SOC估计十分重要.
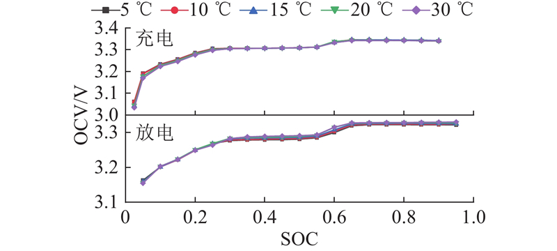
4.2. 环境温度对电池开路电压特性的影响
SOC-OCV曲线对SOC估计的误差矫正有着重要作用,因此获取在不同温度下SOC与开路电压的精准描述十分重要.
按照2.2节的实验方法,分别在5、10、15、20、30 ℃环境温度下测量磷酸铁锂电池在不同SOC下的开路电压,绘制充电过程和放电过程的SOC-OCV曲线,如图12所示.
图 12
图 12 不同温度下磷酸铁锂电池的OCV曲线
Fig.12 OCV curve of LFP battery at different temperature
从图12可知,在有效温度范围内,磷酸铁锂电池充电过程和放电过程SOC-OCV曲线的总体趋势一致,均呈阶梯状上升,显示出一定的规律性和可重复性. 电池充电时,不同环境温度下电池同一SOC的开路电压基本一致. 电池放电时,不同环境温度下电池同一SOC的开路电压仅在SOC > 0.25时有最大不超过0.7%的微小差别. 温度对电池的电压响应没有显著影响. 这使得电池的开路电压可以在多温度下稳定作为SOC估计的可靠依据,无需过多复杂的温度补偿和校准.
4.3. 环境温度对电池原位膨胀力学特性的影响
研究不同环境温度下的电池表面原位膨胀力对后续耦合多物理场信号的工作具有重要意义,设计实验研究磷酸铁锂电池在多温度下充放电膨胀力与SOC的动态关系及充分静置后的稳定膨胀力特性.
4.3.1. 环境温度对电池表面原位膨胀力与SOC动态关系的影响
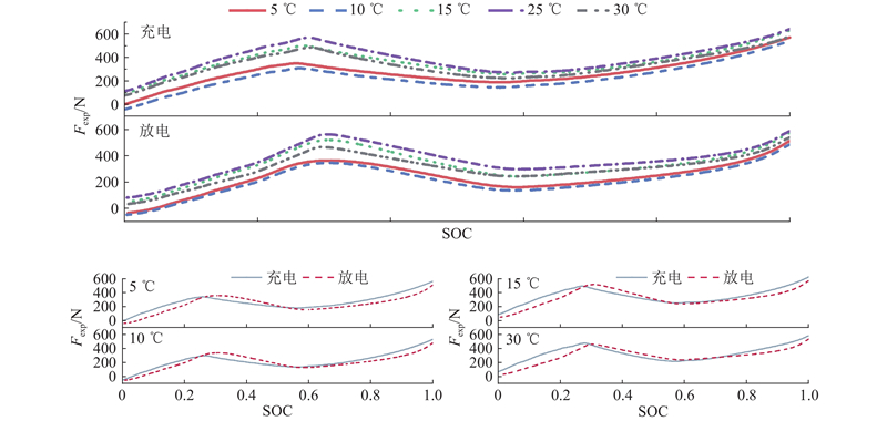
按照3.1节的实验方法,分别在5、10、15、30 ℃环境温度下测量电池以1 A电流充放电时不同SOC下的表面原位膨胀力Fexp,绘制不同环境温度下电池充放电表面原位膨胀力随SOC的变化曲线,如图13所示.
图 13
图 13 不同温度下磷酸铁锂电池的充放电膨胀力曲线
Fig.13 Expansion force curve of LFP battery during charging and discharging at different temperature
观察图13可得以下结论.
1)电池在相同SOC下的表面原位膨胀力随着温度升高,基本上呈现先增大后减小的趋势. 当环境温度为5~10 ℃时,电池表面原位膨胀力在放电时基本一致,考虑到前一测试的放电深度略有差别,充电时膨胀力的微小差别应由此导致. 当环境温度由10 ℃提高到25 ℃时,电池膨胀力大幅增加;当环境温度由25 ℃提高到30 ℃时,电池的膨胀力降低. 在较高的温度区间(10~30 ℃)下,温度对膨胀力的影响更明显,而在较低的温度区间,电池的力学行为较稳定. 这与电池内部反应受温度的影响有关,低温下,电解液的黏度大,离子迁移速率降低,使得电池的膨胀力较小,超过10 ℃后,电池的电化学反应速率迅速增加,锂离子的迁移更加剧烈,因此膨胀力大幅增加. 当温度继续升高时,电池锂化石墨负极产生LiC6→LiC12的相变,表现出石墨的典型分级效应. 该过程与锂化石墨的脱嵌相似,表明锂通过加热逐渐从石墨负极晶格中去除[24],从而使得膨胀力略有减小.
2)在充电过程中,从5 ℃至30 ℃,SOC-Fexp曲线的极大值点逐渐向右微小偏移,最大偏移0.03,极小值点向右偏移最大为0.01. 在放电过程中,极大值点向左移动0.01,极小值点无明显偏移. 结合对膨胀力变化趋势机理的分析可知,温度的升高可能略微延迟了石墨相转变的起始点. 另一方面,温度升高加剧电池内部的电化学反应速率,影响膨胀力的恢复速度,因此延迟了趋势转变的极值点处. 总体来看,这些偏移量相对较小,且在应用较多的放电场景中更微小,因此不会对标定特征点的应用产生显著影响.
4.3.2. 环境温度对不同SOC下电池稳定膨胀力的影响
按照3.2节的实验方法,在5、15、30 ℃3个环境温度下测量电池的稳定膨胀力Fsta,绘制不同温度下电池充放电稳定原位膨胀力随SOC的变化曲线,如图14所示.
图 14
图 14 不同温度下磷酸铁锂电池的稳定膨胀力曲线
Fig.14 Stable expansion force curve of LFP battery at different temperature
电池充分静置后的稳定膨胀力特征更加直观,图14表明,电池的稳定膨胀力在不同温度下表现出较一致的行为. 随着温度的升高,同一SOC下的电池表面原位膨胀力先增大后减小再增大,验证了前文的结论. 以0.05为间隔划分SOC区间,不同温度下的SOC-膨胀力曲线极大值均出现在SOC = 0.3处,极小值出现在SOC = 0.6处. 这一结果说明膨胀力的极值点位置在不同温度下是稳定的,因此它们可以在变温工况下作为可靠的标志性信号用于SOC估算,提供了额外的数据监测维度,具备提高SOC估计鲁棒性的潜力.
5. 结 论
(1)电池表面原位膨胀力信号与SOC呈现明显的非线性关系,膨胀力随着SOC增加先增大后减小再增大,在OCV曲线较平坦的SOC区间表现出显著的上升和下降趋势,膨胀力对SOC的灵敏度高于开路电压.
(2)在充放电过程中,动态膨胀力曲线的极值点SOC位置受环境温度的影响较小,在5~30 ℃下变化不超过0.03. 随着电流的增大,极值点明显提前并逐渐消失,最大偏移可以达到0.1以上. 在不同的电流下,放电膨胀力曲线均在SOC = 0.5处交汇.
(3)电池内阻随着温度的升高而明显下降,且主要与欧姆内阻的下降有关. OCV曲线在不同温度下表现出较高的一致性.
(4)膨胀力信号对SOC变化具有较高的敏感性,将其作为SOC估计的输入数据之一,能够解决单独依赖OCV估算SOC时的特征不明显问题. 膨胀力信号在不同工况下存在交点和极值点2类明显的特征点,能够为SOC估算提供更多的判据,从而提高估算的准确性.
模型应用和进一步的仿真验证将是下一步研究的重点. 后续将在特性变化较大的温度区间多选择几个温度进行特性实验,获取更多、更关键的可用数据,构建多物理场信号耦合模型,实现更精准的电池SOC估算和SOH监测.
参考文献
适用于无人水下潜航器电池管理系统的SOC-SOH联合估计
[J].
Joint SOC-SOH estimation for UUV battery management system
[J].
Implementation and evaluation of a practical electrochemical-thermal model of lithium-ion batteries for EV battery management system
[J].DOI:10.1016/j.energy.2020.119688 [本文引用: 1]
基于PNGV模型的锂离子电池荷电状态估计
[J].
State of charge estimation of lithium-ion batteries based on PNGV model
[J].
基于改进多新息扩展卡尔曼滤波的电池SOC估计
[J].
Estimation of state of charge of battery based on improved multi-innovation extended Kalman filter
[J].
纯电动汽车电池管理系统国内外研究现状和发展趋势
[J].DOI:10.3969/j.issn.1671-5446.2022.01.001 [本文引用: 1]
Research status and development trend of battery management system for pure electric vehicle home and abroad
[J].DOI:10.3969/j.issn.1671-5446.2022.01.001 [本文引用: 1]
动态工况下锂电池组多物理场仿真与退化分析
[J].
Multi-physical simulation and degradation analysis of lithium-ion battery pack under dynamic conditions
[J].
Improved real-time state-of-charge estimation of LiFePO4 battery based on a novel thermoelectric model
[J].DOI:10.1109/TIE.2016.2610398 [本文引用: 1]
Adaptive ensemble-based electrochemical-thermal degradation state estimation of lithium-ion batteries
[J].DOI:10.1109/TIE.2021.3095815 [本文引用: 1]
多物理场耦合下锂离子电池组可靠性研究现状与展望
[J].
Research prospect on reliability of Li-ion battery packs under coupling of multiple physical fields
[J].
Three-dimensional thermal modeling of a lithium-ion battery pack
[J].DOI:10.1016/j.jpowsour.2012.01.081 [本文引用: 1]
全固态锂离子电池的多物理场建模与仿真技术研究
[J].DOI:10.3969/j.issn.1005-9490.2021.01.001 [本文引用: 1]
Research on multiphysics modeling and simulation technology of all-solid-state Lithium ion battery
[J].DOI:10.3969/j.issn.1005-9490.2021.01.001 [本文引用: 1]
锂离子电池电化学-热-力耦合数值模拟及分析
[J].DOI:10.3969/j.issn.1673-3142.2021.11.010 [本文引用: 1]
Numerical simulation and analysis of electrochemical-thermal-mechanical coupling for lithium ion battery
[J].DOI:10.3969/j.issn.1673-3142.2021.11.010 [本文引用: 1]
Leveraging cell expansion sensing in state of charge estimation: practical considerations
[J].DOI:10.3390/en13102653 [本文引用: 2]
A study of expansion force propagation characteristics and early warning feasibility for the thermal diffusion process of lithium-ion battery modules
[J].
Early warning for thermal runaway in lithium-ion batteries during various charging rates: Insights from expansion force analysis
[J].DOI:10.1016/j.jclepro.2024.142422 [本文引用: 1]
Study on the characteristics of thermal runaway expansion force of LiNi0.5Co0.2Mn0.3O2/graphite lithium-ion batteries with different SOCs
[J].DOI:10.1016/j.electacta.2024.144448 [本文引用: 1]
A multi-scale SOC estimation method for lithium-ion batteries incorporating expansion force
[J].DOI:10.1016/j.est.2024.110481 [本文引用: 1]
An electromechanical coupling model-based state of charge estimation method for lithium-ion pouch battery modules
[J].DOI:10.1016/j.energy.2022.125019 [本文引用: 1]
大容量磷酸铁锂动力电池膨胀力研究
[J].
Research of swelling force of high capacity LFP cell
[J].
Insights into the swelling force in commercial LiFePO4 prismatic cell
[J].DOI:10.1016/j.jpowsour.2024.235330 [本文引用: 3]
Swelling force in lithium-ion power batteries
[J].DOI:10.1021/acs.iecr.0c01035 [本文引用: 1]
Apparent increasing lithium diffusion coefficient with applied current in graphite
[J].DOI:10.1149/1945-7111/abaf9f [本文引用: 1]
In situ observation of thermal-driven degradation and safety concerns of lithiated graphite anode
[J].DOI:10.1038/s41467-021-24404-1 [本文引用: 1]
/
| 〈 |
|
〉 |

