纤维改性电磁吸波集料混凝土的吸波特性和机械性能
Wave absorption and mechanical properties of fiber-modified electromagnetic wave absorbing aggregate concrete
通讯作者:
收稿日期: 2023-08-11
| 基金资助: |
|
Received: 2023-08-11
| Fund supported: | 军队后勤科研计划(BLJ22J030);重庆市研究生科研创新项目(CYS21530). |
作者简介 About authors
朱毓豪(1998—),男,博士生,从事防灾减灾与防护工程研究.orcid.org/0009-0004-5509-6908.E-mail:
普通混凝土电磁防护能力弱,传统水泥基吸波材料力学性能不足、耐久性差,为此提出电磁吸波陶粒和纤维组分结合的混凝土设计方法. 将碳纤维(CF)、玄武岩纤维(BF)和聚丙烯纤维(PF)作为增韧和改善混凝土电磁参数的材料,在不同纤维种类和体积掺量下,通过实验研究纤维改性电磁吸波集料混凝土的抗压强度、劈裂抗拉强度、抗折强度、抗冻性能等机械性能. 实验结果表明,3种纤维均改善了电磁吸波集料混凝土的吸波特性,特别是在高频率Ku波段(12~18 GHz),当反射率小于−7 dB时,宽度大幅拓宽,反射率峰值下降明显. BF和PF显著提升了电磁吸波集料混凝土的抗压和劈裂抗拉强度,BF对早期强度贡献较大,PF在各龄期持续优化强度. 3种纤维均使电磁吸波集料混凝土抗折强度较基础组提高超过50%,3种纤维均优化了电磁吸波集料混凝土抗冻性能. 试件经历150次冻融循环后,较基础组减少质量损失均超过50%,相对动弹性模量提升了8%~24%.
关键词:
Aiming at the problems such as weak electromagnetic protection ability of ordinary concrete, insufficient mechanical properties and poor durability of traditional cement-based wave absorbing materials, a new concrete design method was proposed by combining electromagnetic wave absorbing ceramsite and functional fiber components. Carbon fiber (CF), basalt fiber (BF) and polypropylene fiber (PF) were used to toughen and optimize the electromagnetic parameters of the concrete. The electromagnetic wave absorption and the mechanical properties such as compressive strength, splitting tensile strength, flexural strength and frost resistance of electromagnetic wave absorbing aggregate concrete under different fiber types and volume contents were studied through experiments. Experimental results showed that the wave absorption of electromagnetic wave absorbing aggregate concrete was improved by adding these three fibers, especially in the higher frequency Ku band (12−18 GHz), where the bandwidth broadened greatly when the reflectivity is less than −7 dB, and the peak reflectivity decreased significantly. The compressive and splitting tensile strength of the electromagnetic wave absorbing aggregate concrete was increased distinctly by BF and PF, BF improved the early mechanical strength greatly, and PF optimized the mechanical strength at every age. All three fibers increased the flexural strength of electromagnetic wave absorbing aggregate concrete by more than 50% with the base group, and the frost resistance of the concrete was optimized by the fibers also. After 150 freeze-thaw cycles, the specimens were reduced by more than 50% compared with the base group, and the relative dynamic elastic moduli were increased by 8%−24%.
Keywords:
本文引用格式
朱毓豪, 杨朝山, 陈辉国, 穆锐, 曾超, 任俊儒, 雷屹欣.
ZHU Yuhao, YANG Chaoshan, CHEN Huiguo, MU Rui, ZENG Chao, REN Junru, LEI Yixin.
基础设施的电磁防护对确保重要信息不被泄露、截获和定位,降低电磁辐射对人员健康的伤害具有重要意义. 将粉状吸波材料固熔至陶制基体中烧制吸波陶粒,再把碎石粗骨料替换成吸波陶粒,能够得到电磁吸波集料混凝土. 这种混凝土材料可以解决普通混凝土电磁防护能力弱,传统水泥基吸波材料强度低、整体性差等问题[1],具有较好的应用前景和工程价值.
部分学者对电磁吸波集料混凝土材料的制备与性能开展相关研究. 何永佳等[2-3]提出将含氧化铁陶粒作为吸波骨料制备吸波水泥基复合材料的思路:将Fe3O4粉和黏土粉按不同比例烧制成Fe2O3电磁吸波陶粒,将该陶粒作为粗骨料,制备具有较好电磁吸波性能的混凝土. 何柳等[4]利用纳米TiO2掺合料、TiO2功能陶粒双组分复掺法制备电磁吸波混凝土,该材料表现出良好的吸波性能且28d抗压强度超过40 MPa. Zhang等[5]混合Fe3O4粉、SiC粉同黏土粉制备新型电磁吸波陶粒,通过将外掺炭黑、磁流体作为吸波剂,拓宽了有效吸波频带,提升了混凝土的电磁防护能力. 黄晓寒等[6]根据功能骨料的结构和电磁特性提出基于群聚粒子求和的混凝土电磁波吸收模型,丰富了电磁吸波集料混凝土的理论研究. 朱毓豪等[7]利用滚球成型法制成具有良好电磁损耗性能的Fe2O3功能陶粒,将所制功能陶粒作为粗骨料制备功能混凝土. 该功能混凝土的反射率小于−7 dB的带宽为6.5 GHz,反射率峰值为−10 dB,吸波性能较普通碎石混凝土(反射率为−6.2~−4.0 dB)有大幅提升;当掺入体积分数为0.2%碳纤维时,可在Ku波段提高功能混凝土的吸波性能. 可见,以电磁吸波陶粒代替普通碎石可以改善混凝土的电磁防护能力,电磁吸波陶粒与合适组分的复合可以进一步提高电磁吸波性能.
已有试验研究多集中于吸波特性和抗压性能两个方面,混凝土抗拉强度低、抗裂能力差和特殊地区抗冻性弱等问题在电磁吸波集料混凝土研究中鲜见,“结构-功能一体化”研究有待完善,成为制约该新型材料推广应用的关键因素. 纤维的抗拉强度和延伸率均较高,掺入混凝土能够提升混凝土的抗弯拉、抗冲击和韧性[8-9],增强混凝土的抗裂性和耐久性[10-11]. 导电纤维(如碳纤维)[12-13]掺入水泥基形成的复合吸波材料能够以电损耗方式耗散电磁波. 当复合材料介于绝缘体和导体之间(半导体状态)时,对电磁波吸收能力最强[14]. Chen等[15]发现,碳纤维在水泥基中类似独立电偶极子,它通过电偶极子间的相互作用将电能转化为其他形式的能量耗散,但当纤维过长且达到一定掺量后,纤维间、纤维与吸波陶粒间出现搭接现象,导致混凝土整体电导率变大,表现出强电磁反射,电磁波难以进入混凝土内部被吸收. 张月芳等[16-17]发现如聚丙烯纤维、玄武岩纤维的低介电纤维可作调节材料电磁参数的透波剂,调节混凝土阻抗匹配,提升混凝土的电磁吸波能力. 可见,在进行电磁吸波陶粒和纤维组分相结合的混凝土设计时须综合考虑纤维种类和掺量. 本研究以碳纤维(carbon fibre, CF)、玄武岩纤维(basalt fibre, BF)和聚丙烯纤维(polypropylene fibre, PF)为增韧和改善混凝土电磁参数的纤维材料,分析不同纤维种类和掺量对电磁吸波集料混凝土吸波特性和机械性能影响规律机制,揭示纤维改性电磁吸波集料混凝土的作用机理.
1. 实验设计
1.1. 原材料
实验采用P.O 42.5普通硅酸盐水泥,其中CaO和SiO2的质量分数分别为62.04%和20.22%,表观密度为3 100 kg/m3,比表面积为360 m2/kg,80 μm方孔筛余7%. 实验采用I级粉煤灰(fly ash,FA),其中硅、铝和铁氧化物质量分数大于75%,表观密度为2 500 kg/m3,45 μm方孔筛余10%. 细集料采用ISO标准砂,表观密度为2 670 kg/m3,含泥质量分数小于0.2%. 粗集料为实验室制备的Fe2O3吸波陶粒,制备流程如图1所示;经检测,成品粒径为6~12 mm,筒压强度为9.5 MPa,表观密度为1 980 kg/m3,介电损耗正切值为0.06~0.30,磁损耗正切值为0~0.2,拌和中加入液体状聚羧酸高效减水剂,减水率大于35%,拌合水为自来水. 3种复掺纤维性能指标如表1所示. 表中,ρ为纤维密度,L为纤维长度,D为纤维直径,σt为纤维拉伸强度,E为纤维弹性模量,ε为纤维断裂伸长率.
图 1
表 1 不同纤维的物理性能
Tab.1
| 纤维 | ρ/(g·cm−3) | L/mm | D/μm | σt/MPa | E/GPa | ε/% |
| CF | 1.75 | 9 | 7 | 230.0 | 2.1 | |
| BF | 2.65 | 9 | 17 | 100.0 | 2.6 | |
| PF | 0.91 | 9 | 18 | 556.9 | 4.1 | 19.0 |
1.2. 样品制备
为了提高功能陶粒占比,依据前期试验确定混凝土中各组分体积比为水泥浆体∶粗集料∶细集料=0.3∶0.5∶0.2. 胶凝材料采用水泥和FA(体积比为4∶1),掺入水泥质量为1%的聚羧酸减水剂,水灰质量比为0.4. 纤维体积掺量为0.2%~0.8%,“弓形法”反射率试件尺寸为180 mm×180 mm×40 mm,利用水泥净浆搅拌机拌和,将水泥、砂、FA、吸波陶粒和纤维等原料干拌90 s(纤维须人工处理成松散状),再将水和减水剂按照一定比例配入,搅拌60 s后出料. 将拌合物铲入特制尺寸的钢模具,经振动台振动30 s后,刮平试样表面,静置室内24 h后拆模,置于标准养护箱养护28 d. 力学性能和抗冻性能试件采用单卧轴搅拌机参照反射率测试板制备流程拌和,根据不同的试验检测要求将拌合物铲入对应塑料模具中成型,其中抗压、劈裂抗拉试件尺寸为100 mm×100 mm×100 mm,养护7、14和28 d,抗折、抗冻试件尺寸为100 mm×100 mm×400 mm,养护28 d,各类试件如图2所示.
图 2
1.3. 电磁吸波性能测试
测试使用复旦大学复达检测中心的弓形法测试系统,测试波段为8~18 GHz,涵盖X(8~12.4 GHz)和Ku(12.4~18 GHz)2个主要卫星通信波段,每隔0.05 GHz记录一次反射率值,反射率R为负值,其绝对值越大,表明材料的电磁吸波能力越强. 多种电磁吸波集料混凝土的吸波性能测试结果如表2所示,其中f为测试频率,BW7为反射率小于−7 dB的频带宽度. 测试样品为单BF组分和单PF组分电磁吸波集料混凝土板,控制掺入纤维体积分数分别为0.2%、0.4%、0.6%和0.8%,共测试8个试样,与前期同频段单CF组分和无纤维组分电磁吸波集料混凝土的测试结果进行对比. 为了方便描述,以NiVk样式进行试样编号,其中i代表纤维的种类,NC、NB和NP表示CF、BF和PF,k代表纤维的体积掺量. 例如,NBV0.2表示BF体积掺量为0.2%的电磁吸波集料混凝土.
表 2 常见电磁吸波集料混凝土的吸波性能
Tab.2
1.4. 力学性能测试
使用TYEH-2000型微机控制恒加载压力试验机和EHC-
1.5. 抗冻性能测试
为了得到特殊环境下电磁吸波集料混凝土的抗冻性能,拓宽电磁吸波集料混凝土的应用背景,使用TDR-1全自动混凝土快速冻融试验机、DT-W18动弹性模量测定仪和天平等开展纤维组分电磁吸波集料混凝土抗冻性能测试. 共测试7组21个试件,基本方法如下:将各组试件放入快速冻融箱,试件中心的最低温度为(−18±2)℃,最高温度为(5±2)℃,冻融循环周期为2.7 h,融化时间为1.15 h. 共进行150次冻融循环,从未放入快速冻融箱(0次)起,每隔25个冻融循环将试件取出,测试横向基频与质量. 根据《普通混凝土长期性能和耐久性能试验方法标准 GB/T 50082—2019》,每组取3个试件平均值为指标参数,换算得到表征混凝土抗冻性能的重要指标:相对动弹性模量ΔEn和相对质量损失Δmn. 当Δmn>5%或ΔEn<60%时,停止试验,此时混凝土冻融循环次数n即抗冻等级Fn.
2. 实验结果分析
2.1. 纤维组分对吸波集料混凝土电磁性能的影响
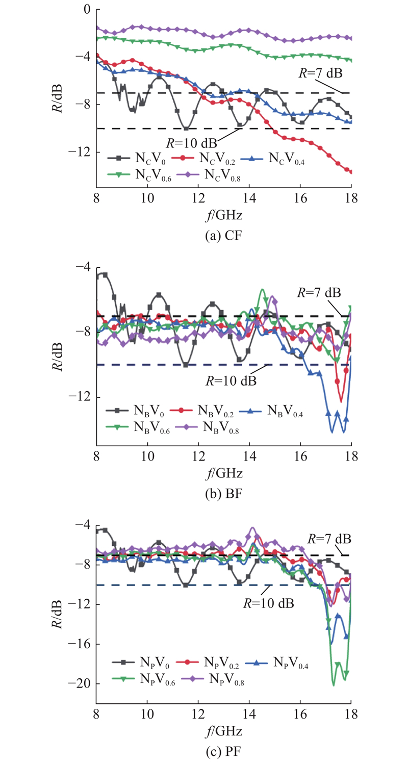
如图3所示为各纤维组分电磁吸波集料混凝土在不同纤维掺量下电磁波反射率与频率的曲线关系. 相比CF组分试验结果,BF和PF掺入后改善了混凝土的电磁吸波性能,且反射率曲线变化规律基本相似:X波段反射率在−8.5~−6 dB波动,在Ku波段出现1~2个吸收峰,大幅降低反射率,如NBV0.4在17.25 GHz处最小反射率为−14.14 dB,NPV0.6反射率峰值为−20.11 dB. 纤维种类和掺量是影响混凝土电磁性能的重要因素. 图3(a)中,受趋肤效应影响,NCV0.2反射率基本随频率增大而减小,相较于无纤维组分在Ku波段反射率有显著降低,整个Ku波段反射率均小于−7 dB,但随着CF掺量的增加,混凝土内部介电常数增大,实验测得,V0.8碳纤维水泥砂浆的相对介电常数实部的最大值为119.97,普通水泥砂浆的最大值为8.45,造成混凝土与自由空间阻抗匹配差,使入射电磁波在混凝土表面发生强反射,增大了反射率. 掺入介电常数较小的纤维后,混凝土反射率曲线受掺量变化波动幅度较小,无强反射现象出现,但仍存在掺量阈值. 当f=8~18 GHz时,BF的介电常数在2.63附近波动,当介电损耗在−0.005~0.01左右[18],相较于CF,透波性能较好. 图3(b)中,BF体积分数较低的NBV0.2、NBV0.4的反射率曲线均有明显吸收峰,特别是NBV0.4吸波效果提升明显,整个测试频段小于−7 dB带宽为9.80 GHz,小于−10 dB带宽为1.70 GHz;当BF掺量较高时反射率曲线无明显吸收峰,反射率小于−7 dB的带宽超过9 GHz,但峰值却高于−10 dB. 图3(c)中,PF体积分数从0.2%到0.6%,反射率峰值逐渐下降,反射率曲线整体下移,NPV0.4小于−7 dB带宽为9.65 GHz,NPV0.6小于−10 dB带宽为1.45 GHz;NPV0.8的反射率峰值能到−12.15 dB,但相较NPV0.6反射率曲线整体上移,小于−7 dB带宽为1.75 GHz,原因可能是PF介电常数相对更低,在混凝土中掺量增加,部分电磁波进入后未经损耗就原路反射回自由空间.
图 3
图 3 不同电磁吸波集料混凝土试样的反射率曲线
Fig.3 Reflectivity curves of different electromagnetic wave absorbing aggregate concrete specimens
如表3所示为各类纤维组分中吸波效果最好试件的吸波性能,其中Rm为反射率峰值,BW10为反射率小于−10 dB的频带宽度. 可以看出,CF在体积分数为0.2%、PF和BF在体积分数为0.4%~0.6%掺入时,电磁吸波集料混凝土的有效吸波频带宽度和反射率峰值均改善明显. 3种纤维中,CF组分小于−10 dB的频带更宽,作为高导电材料,在低体积掺量(0.2%)下可作电阻型吸波剂,通过极化作用,与入射电磁波发生谐振,产生滞后的极化电流,消耗电磁能,可协同吸波陶粒吸收电磁波. BF和PF组分反射率峰值更低,较CF属低介电常数材料,可调节混凝土电磁参数,优化与自由空间阻抗匹配,让内部吸波陶粒发挥更大作用. 纤维间传播的电磁波经散射,当入射波和反射波相位相差180°时,反射波与入射波会相互抵消,减少电磁波反射,加之板上下表面处存在的干涉损耗,显著降低了反射率峰值[19]. BF组分小于−7 dB的频带更宽,主要原因是BF内含质量分数为9%~15%的FeO、Fe3O4和TiO2等金属氧化物,在透波的同时,具备一定的磁损耗和介电损耗能力[20].
表 3 不同电磁吸波集料混凝土试样的吸波性能对比
Tab.3
| 组别 | Rm/dB | BW7/GHz | BW10/GHz |
| 无纤维 | −10.00 | 6.5 | 0.50 |
| NBV0.4 | −14.14 | 9.8 | 1.70 |
| NPV0.6 | −20.10 | 7.8 | 1.45 |
| NCV0.2 | −13.64 | 6.0 | 3.10 |
2.2. 纤维组分对吸波集料混凝土力学性能的影响
抗压试验结果表明,无纤维组分电磁吸波集料混凝土7、14和28 d的抗压强度分别为31.4、36.9和42.8 MPa,达到一般结构材料的抗压性能要求. 如图4所示,以NCV0Tc各龄期强度指标为基础,换算得到其他各组各龄期的相对抗压强度fcr. 可以看出,纤维的掺入改善了电磁吸波集料混凝土各龄期抗压强度,不同纤维种类和掺量对各龄期抗压强度的影响不同. PF和BF的改善效果好于CF,且CF受掺量影响较大,在低掺量下,CF增强了试件的抗压强度,但当掺量为0.8%时,各龄期试件抗压强度下降明显. PF能够在各龄期提升试件抗压强度,NPV0.4Tc和NPV0.8Tc的抗压强度相近,相较于基础组,早期强度得到大幅提升,增幅为48.94%和46.83%,各龄期增幅均超23%,当PF掺量为0.8%时,混凝土抗压强度为56.0 MPa. BF对早期抗压强度增强明显,相较于基础组,NBV0.4Tc和NBV0.8Tc早期抗压强度提高了58.45%和35.92%,但随着养护时间的增加,各龄期相对抗压强度的增幅平缓.
图 4
图 4 不同电磁吸波集料混凝土试样的相对抗压强度
Fig.4 Relative compressive strength of different electromagnetic wave absorbing aggregate concrete specimens
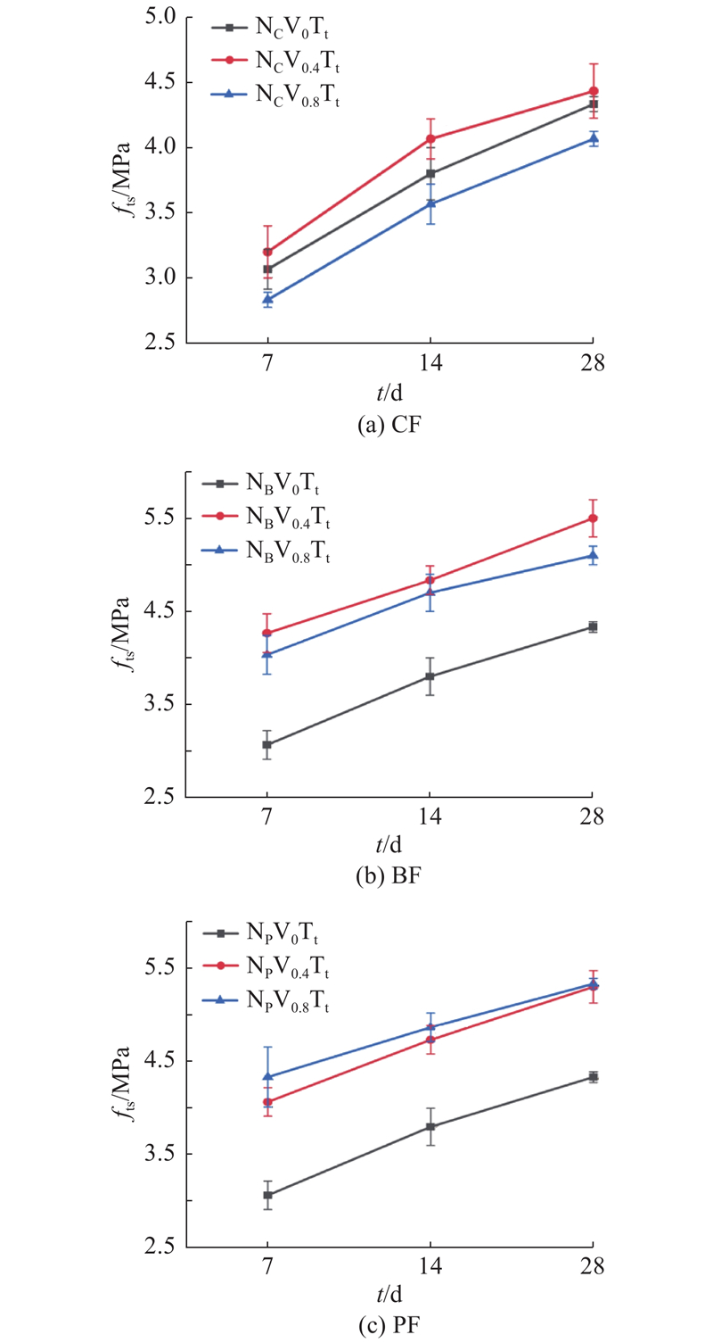
如图5所示为各类纤维组分电磁吸波集料混凝土在不同纤维掺量下各龄期的劈裂抗拉强度fts. 无纤维组分试件7、14和28 d的劈裂抗拉强度分别为3.1、3.8和4.3 MPa,高于普通混凝土规范要求. 纤维组分对电磁吸波集料混凝土劈裂抗拉强度的影响同抗压强度结果相似. CF组分在低掺量下可提高劈裂抗拉强度,但在高掺量下,NCV0.8Tt较基础组各龄期劈裂抗拉强度分别降低了9.68%、5.26%和4.65%. BF和PF掺入后对电磁吸波集料混凝土劈裂抗拉强度增强效果较好,特别是早期各掺量下强度增幅均在30%左右,养护28 d后,试件劈裂抗拉强度超过5.2 MPa. BF组分中,NBV0.4Tt各龄期的劈裂抗拉强度均高于NBV0.8Tt,前者28 d强度为5.5 MPa;PF组分中,NPV0.8Tt各龄期劈裂抗拉强度略高于NPV0.4Tt,2组试件28 d的劈裂抗拉强度能为5.3 MPa.
图 5
图 5 不同电磁吸波集料混凝土试样的劈裂抗拉强度
Fig.5 Splitting tensile strength of different electromagnetic wave absorbing aggregate concrete specimens
如表4所示为不同纤维组分和掺量的电磁吸波集料混凝土28 d抗折强度,其中
表 4 不同电磁吸波集料混凝土试件的抗折强度
Tab.4
| 组别 | ff/MPa | |||
| 试件1 | 试件2 | 试件3 | ||
| 无纤维 | 4.60 | 4.78 | 4.80 | 4.73 |
| NCV0.4Tb | 6.80 | 7.00 | 7.70 | 7.17 |
| NCV0.8Tb | 7.34 | 7.50 | 8.15 | 7.66 |
| NBV0.4Tb | 7.72 | 7.93 | 8.20 | 7.95 |
| NBV0.8Tb | 8.42 | 8.55 | 9.08 | 8.68 |
| NPV0.4Tb | 6.80 | 8.08 | 8.38 | 8.13 |
| NPV0.8Tb | 7.34 | 8.68 | 9.30 | 8.83 |
事实上,纤维掺入后改变了电磁吸波集料混凝土的力学试验破坏形态. 如图6所示为各组试件的典型破坏形态. 在抗压试验中,当施加荷载达到极限荷载时,无纤维组分试件被快速压碎且破坏作用显著,四周混凝土不断破碎,形成四角锥形状,结构完整性较差;有纤维组分试件破坏时,周边小裂纹明显增多,碎片向外鼓起且掉落量少,破坏形态较为完整. 对比无纤维组分试件,纤维改性试件破坏面除了有贯穿中心的垂直主裂缝,旁侧仍有几条支裂缝,可见纤维的掺入使力的传递发生重分布,提升了原有薄弱面受拉能力. 如图7所示为纤维组分电磁吸波集料混凝土破坏断面微观情况. 可以看出,陶粒同水泥基黏结紧密,纤维纵横分布,形成空间网状结构,使得改性后的试件具有较好的约束力;部分纤维可贯穿裂缝,阻碍裂缝进一步扩展,提高混凝土宏观力学性能[21]. 不同纤维组分对力学性能的增强方式和效果也有不同,对于电磁吸波集料混凝土,CF掺量阈值较低. 原因可能是CF较难分散均匀,当CF掺量较大时在混凝土中易团聚,导致内部缺陷较多,出现受力薄弱区[22]. BF和PF掺量阈值较高,但二者的增强机理和方式不同,BF为高弹性模量纤维,依据纤维间距理论,当电磁吸波集料混凝土早期弹性模量不高时,BF掺入可快速提高整个体系的弹性模量,对早期力学性能提升明显[23];PF为柔性纤维,掺入电磁吸波集料混凝土不会改变和易性,当裂纹在扩展中跨越PF瞬间,PF一端能提供阻止裂纹发展的集中力,使裂缝趋于稳定[24],且高断后伸长率保证PF不易被拉断,可在达到极限荷载后二次承压,破坏过程缓慢,破坏特征趋于延性破坏.
图 6
图 7
图 7 纤维组分电磁吸波集料混凝土破坏断面的微观结构
Fig.7 Microstructure of electromagnetic wave absorbing aggregate concrete with fiber component
2.3. 纤维组分对吸波集料混凝土抗冻性能的影响
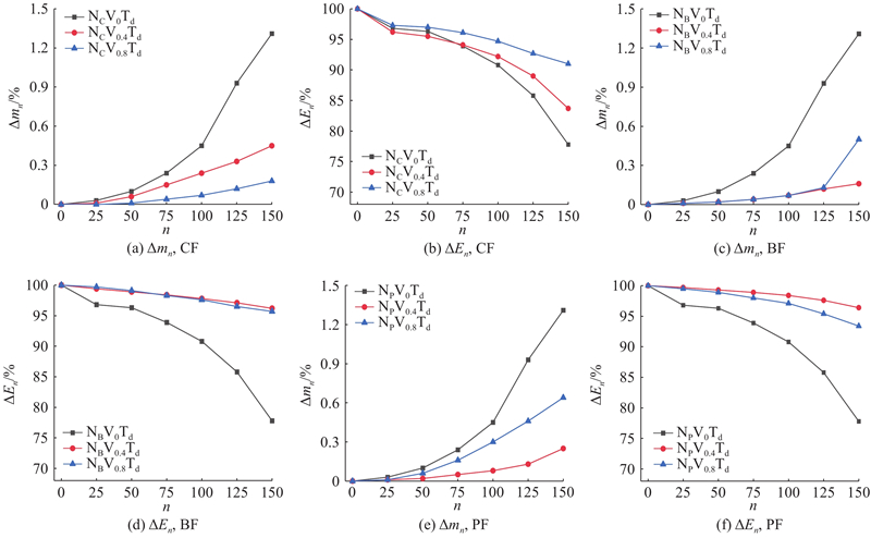
如图8所示为纤维组分电磁吸波集料混凝土在不同掺量下质量损失和相对动弹性模量随冻融次数变化关系. 可以看出,3种纤维均能改善电磁吸波集料混凝土的抗冻性能,其中BF对抗冻性能增强最为明显. 从质量损失上看,各试件经历150次冻融循环后Δmn<1.5%,远低于5%的终止指标. 纤维掺入后各试件150次冻融循环后Δmn较基础组降幅均超过50%. CF组分中,NCV0.8Td的增强效果明显,150次冻融循环后Δmn=0.18%;BF对质量损失衰减效果最佳,125次冻融循环前,NBV0.4Td和NBV0.8Td的Δmn<0.13%,当循环次数达到150次时,NBV0.4Td依然变化不大,为0.16%;PF组分中,NPV0.4Td的Δmn一直小于NPV0.8Td的,150次冻融循环之后,NPV0.4Td的Δmn=0.25%. 从相对动弹性模量上看,无纤维组分试件150次冻融循环后ΔEn=77.8%,根据《普通混凝土长期性能和耐久性能试验方法标准GB/T 50082—2019》,高于试验终止指标,证明其抗冻等级高于F150. 纤维掺入后,各组分150次冻融循环后ΔEn较基础组提升8%~24%,其中BF增强最为明显,NBV0.4Td和NBV0.8Td的ΔEn>95%;CF组分中,ΔEn受掺量影响较大,同次数下NCV0.8Td的ΔEn始终高于NCV0.4Td的,150次冻融循环后的ΔEn分别为91%和83.7%;PF组分中,NPV0.4Td的相对动弹性模量增强效果略好于NPV0.8Td,前者前75次冻融循环ΔEn>99%,150次后ΔEn=96.4%,后者150次冻融循环后ΔEn=93.4%.
图 8
图 8 电磁吸波集料混凝土抗冻指标随冻融循环的变化
Fig.8 Variation of freezing index of electromagnetic wave absorbing aggregate concrete with freeze-thaw cycles
如图9为无纤维和纤维组分试件经历150次冻融循环后的外观形态. 可以看出,无纤维组分试件无大块脱落或整体断裂,但仍出现少量缺角破损或陶粒裸露;纤维掺入可有效延缓内部微裂缝的扩展,阻断部分水渗透入混凝土内部的通道,使混凝土内部趋向于整体,冻融后纤维组分试件因混凝土表面脱落使外观出现麻面,保持一定整体性.
图 9
图 9 电磁吸波集料混凝土150次冻融循环后的外观形态
Fig.9 Appearance morphology of electromagnetic wave absorbing aggregate concrete after 150 freeze-thaw cycles
3. 结 论
(1)碳纤维(CF)、玄武岩纤维(BF)和聚丙烯纤维(PF)均可改善电磁吸波集料混凝土的电磁吸波性能,特别是在高频率Ku波段(12~18 GHz)效果显著,CF在低掺量下优化效果较好,CF的适宜掺量为0.2%(体积分数);BF和PF的适宜掺量为0.4~0.6%. BF能够大幅拓宽反射率小于−7 dB带宽,掺入体积分数为0.4%的BF后,小于−7 dB的带宽为9.8 GHz;PF使反射率峰值显著降低,掺入体积分数为0.4%的PF后,反射率峰值为−20.10 dB.
(2)纤维能够增强电磁吸波集料混凝土的主要机械性能. BF对电磁吸波集料混凝土的早期力学强度和抗冻性的提高较大,7 d抗压和劈裂抗拉强度值最高增幅分别为58.45%和38.71%;PF能够在各龄期提升电磁吸波集料混凝土的抗压、劈裂抗拉和抗折强度,各类力学强度平均值增幅均超过20%;体积分数为0.4%的CF能够适度提高电磁吸波集料混凝土的力学性能,但掺入体积分数为0.8%的CF后强度下降明显. 3种纤维对电磁吸波集料混凝土28 d抗折强度的提升幅度均超50%;
(3)纤维改性电磁吸波集料混凝土在特殊环境下具有良好的抗冻能力. 与对照组相比,纤维组分试件在经历150次冻融循环后减少的质量损失幅度均超过50%,相对动弹性模量提升在8%~24%,纤维组分的掺入大幅提升了电磁吸波集料混凝土的抗冻性能.
(4)本研究将电磁吸波陶粒和纤维组分结合,提出的混凝土设计制备方法即能够保证电磁防护的功能特性,又能够增强基本力学性能和抗冻性能,为混凝土结构-功能一体化研究提供了试验依据. 如掺入体积分数0.4%BF后试件较基础试件反射率小于−7 dB频带拓宽3.3 GHz,最小反射率降低4.14 dB,7 d抗压强度达45 MPa,28 d劈裂抗拉强度为5.5 MPa,28d抗折强度为7.95 MPa,150次冻融循环后最终质量损失为0.16%,相对动弹性模量超96%.
(5)纤维组分对电磁吸波集料混凝土在低频率X波段(8~12 GHz)的吸波效果不理想,在X波段未获取小于−10 dB的有效频带. 下一步计划利用不同类别纤维混杂和分层梯度结构设计的方法对纤维组分电磁吸波集料混凝土的电磁吸波性能开展研究.
参考文献
吸附钡铁氧体的多孔陶粒吸波材料制备及其性能
[J].
Preparation and performances of porous electro-magnetic wave absorbing ceramisite coated with barium ferrite
[J].
Ceramsite containing iron oxide and its use as functional aggregate in microwave absorbing cement-based materials
[J].DOI:10.1007/s11595-018-1797-9 [本文引用: 2]
复掺纳米TiO2吸波剂和吸波功能集料的电磁吸波混凝土
[J].
Electromagnetic wave absorbing concrete prepared by combined admixture of nano TiO2 and electromagnetic wave absorbing functional aggregate
[J].
The electromagnetic wave absorption performance and mechanical properties of cement-based composite material mixed with functional aggregates with high Fe2O3 and SiC
[J].
含铁氧体陶粒骨料电磁波损耗模型与性能研究
[J].DOI:10.11896/cldb.21020060 [本文引用: 1]
Research on electromagnetic loss model and property of ferrite-containing ceramsite aggregate
[J].DOI:10.11896/cldb.21020060 [本文引用: 1]
掺加碳纤维的Fe2O3功能集料电磁防护混凝土
[J].DOI:10.3969/j.issn.1001-7054.2022.4.hcxw202204011 [本文引用: 4]
Electromagnetic protective concrete with Fe2O3 functional aggregate mixed with carbon fiber
[J].DOI:10.3969/j.issn.1001-7054.2022.4.hcxw202204011 [本文引用: 4]
玄武岩纤维对混凝土的增强和增韧效应
[J].DOI:10.3321/j.issn:0454-5648.2008.04.009 [本文引用: 1]
Strengthening and toughening in basalt fiber-reinforced concrete
[J].DOI:10.3321/j.issn:0454-5648.2008.04.009 [本文引用: 1]
Influence of various parameters on properties of basalt fiber-reinforced cementitious composites
[J].
纤维混凝土耐久性能研究综述
[J].
Summary of research on durability of fiber concrete
[J].
Influence of different fibers on mechanical and durability performance of concrete with silica fume
[J].DOI:10.1002/suco.201900422 [本文引用: 1]
Electromagnetic wave absorption properties of cement based composites using helical carbon fibers as absorbent
[J].DOI:10.1088/2053-1591/aaae51 [本文引用: 1]
Prediction models of shielding effectiveness of carbon fibre reinforced cement-based composites against electromagnetic interference
[J].DOI:10.3390/s23042084 [本文引用: 1]
Modulating dielectric loss of mesoporous carbon fibers with radar cross section reduction performance via computer simulation technology
[J].DOI:10.1039/D0QI01237H [本文引用: 1]
玄武岩纤维及其复合材料的微波介电性能
[J].
The microwave dielectric properties of basalt fibers and CBF-EP composites
[J].
频率选择表面对PET水泥基材料吸波性能的影响
[J].DOI:10.3969/j.issn.1007-9629.2018.01.019 [本文引用: 1]
Effect of frequency selective surface on microwave absorbing properties of PET cement-based materials
[J].DOI:10.3969/j.issn.1007-9629.2018.01.019 [本文引用: 1]
高性能玄武岩纤维的性能及应用
[J].
The property and its application of high performance basalt fiber
[J].
纤维对水泥基复合材料性能影响研究进展
[J].
Research review of fiber effect on properties of cement-based composite
[J].
基于正交试验的纤维混凝土力学性能影响研究
[J].DOI:10.3969/j.issn.1002-3550.2022.06.006 [本文引用: 1]
Influence of fiber reinforced concrete on mechanical properties based on orthogonal test
[J].DOI:10.3969/j.issn.1002-3550.2022.06.006 [本文引用: 1]
Engineering, mechanical and dynamic properties of basalt fiber reinforced concrete
[J].DOI:10.3390/ma16020623 [本文引用: 1]
/
| 〈 |
|
〉 |

