溶液温度波动对动态再生过程的性能影响
Influence of solution temperature fluctuation on performance of dynamic regeneration process
通讯作者:
收稿日期: 2023-08-10
| 基金资助: |
|
Received: 2023-08-10
| Fund supported: | 宁波市科技创新2025重大专项资助项目(2022Z151);国家自然科学基金资助项目(51976176). |
作者简介 About authors
甘建平(1999—),男,硕士生,从事溶液除湿技术研究.orcid.org/0009-0006-8587-8884.E-mail:
为了明晰溶液再生温度波动对溶液再生性能的影响规律,建立再生器的动态仿真模型. 搭建溶液再生系统实验台,设计开展溶液再生过程的动态实验,验证动态模型的准确性. 通过仿真模拟分析溶液再生温度的平均温度、波动周期与幅值对再生溶液质量分数极差和平均再生量的影响规律. 结果表明,溶液平均温度对平均再生量的影响最为明显,溶液温度波动幅值对再生溶液质量分数极差的影响最大. 当溶液温度波动周期为0.5 h时,平均再生量随波动幅值的增大而增大;当波动周期为2.0 h时,平均再生量主要受溶液平均温度的影响. 再生溶液质量分数极差在温度波动幅值小时随波动周期的增大而增大,在幅值大时随周期的增大而减小.
关键词:
A dynamic model of the regenerator was developed to investigate the influence of solution temperature fluctuation on regeneration performance. An experimental platform of solution regeneration system was built to verify the model. The simulation was conducted to investigate the effects of average temperature, fluctuation period, and amplitude of the solution temperature on the range of solution mass fraction and average regeneration rate. Results show that the average temperature of the solution has the most significant impact on the average regeneration rate, while the fluctuation amplitude has the greatest influence on the range of solution mass fraction. When the temperature fluctuation period of the solution is 0.5 h, the average regeneration rate shows an increase with the rise of the fluctuation amplitude. With a fluctuation period of 2.0 h, the average regeneration rate is primarily affected by the average temperature of the solution. The range of solution mass fraction increases with the fluctuation period increases when the temperature fluctuation amplitude is small. Whereas, when the amplitude is large, the mass fraction range exhibits a descending trend with the increase in the period.
Keywords:
本文引用格式
甘建平, 俞小莉, 常晋伟, 黄瑞, 陈俊玄, 李智.
GAN Jianping, YU Xiaoli, CHANG Jinwei, HUANG Rui, CHEN Junxuan, LI Zhi.
随着节能减排和双碳目标的不断推进,低品位余热的回收利用日益受到重视,其中溶液除湿技术因具有良好的节能环保效益,在建筑暖通领域应用前景广阔. 相比于传统的冷凝除湿,溶液除湿不仅能够实现空气温度和湿度的独立控制,节约35%左右的能耗[1],还具有去除挥发性有机物、细菌、病毒的作用. 溶液除湿的技术原理是利用易吸湿的盐溶液吸附空气中的水蒸气,实现空气的干燥. 吸湿后的溶液须在50~90 ℃溶液温度运行条件下的再生器内进行浓缩再生. 一般情况下,余热具有波动性,当利用波动余热驱动溶液再生时,余热通过换热器与溶液换热,余热的波动将传递至溶液,导致溶液再生温度产生波动,影响溶液动态再生过程的性能.
大量学者从干燥剂种类、结构设计、传热传质理论、除湿/再生性能等方面研究溶液除湿技术,但大部分研究基于稳态条件开展,针对除湿/再生动态过程的研究不多. Wang等[2]实验研究了当空气入口含湿量(含湿量指在含有1 kg干空气的湿空气中水蒸气的质量)和溶液入口流量发生阶跃变化时出口空气和溶液的动态响应过程,分析了溶液流量、空气流量和填料高度对时间常数的影响. 该研究结果表明,填料高度对动态除湿过程有显著影响. Zhang等[3]实验研究了空气和溶液入口参数变化时空气出口含湿量的动态响应,提出确定响应延迟、响应时间、响应速率等评价指标的计算方法,确定了动态过程的控制策略. 该研究结果表明,出口空气含湿量对空气和溶液流量的变化敏感. Ou等[4]提出简化的溶液再生系统动态模型,基于效率-传质单元数法推导传热传质速率,采用非线性最小二乘法和无迹卡尔曼滤波算法识别模型中的未知参数,获得了系统的动态模型. Wang等[5]考虑填料及干燥剂溶液的惯性质量,建立填料式除湿器的简化一维动态模型. 该动态模型能够较为准确地模拟除湿器的瞬态过程. Zhang等[6]构建改进的时延神经网络模型,用于预测填料式溶液除湿机的动态响应;针对传统训练算法的不足,提出反向传播(back propagation, BP)算法与改进遗传算法相结合的算法,获得了全局最优权重值. 为了实现溶液除湿空调系统的动态稳定运行并进一步提升能效,Jiang等[7]提出基于自适应神经模糊推理系统动态模型的经济模型预测控制(economic model predictive control,EMPC)算法,EMPC算法策略具有比PI控制策略更小的跟踪误差、更快的响应和更高的系统能量效率. Zhang等[8]提出将PID控制与新型模糊逻辑控制相结合的控制方法并验证了该控制方法的可行性.
现有的动态研究或是针对除湿器/再生器的动态建模,或是分析除湿器在溶液流量与溶液温度阶跃激励作用下的动态响应,有关溶液除湿的动态研究较少且研究多围绕除湿器的动态特性进行. 利用非稳态余热驱动溶液除湿时如何保证系统稳定运行的问题少受关注,解决该问题应当深入分析余热波动输入时溶液动态再生过程的性能影响. 本研究基于传热传质理论建立溶液再生系统的动态模型,通过动态实验开展模型验证,利用所建模型研究溶液再生温度的波动特性(包括平均温度、波动幅值、波动周期)对溶液动态再生过程性能的影响.
1. 系统模型建立及性能指标
如图1所示,余热驱动的溶液再生系统主要由再生器、储液槽、换热器、风机、溶液泵等组成. 本研究将利用Matlab对图中虚框出位置的关键部件进行建模.
图 1
图 1 余热驱动的溶液再生系统原理
Fig.1 Principle of solution regeneration system driven by waste heat
1.1. 再生器动态模型
逆流绝热型再生器内部的传热传质过程复杂,本研究对模型进行如下简化:1)假设控制体积内的溶液和空气均匀分布;2)水蒸发的潜热完全来自溶液;3)再生器与周围环境绝热;4)忽略空气和溶液间的热传导和分子扩散. 如图2所示为再生器内部传热传质过程的单元体示意图.空气的能量守恒式为
图 2
图 2 再生器模型的控制体简化图
Fig.2 Simplified diagram of control volume for regenerator model
空气的质量守恒式为
溶液的能量守恒式为
溶液的质量守恒式为
溶质的质量守恒式为
式中:
式中:
式中:
式中:
对储液槽模型进行合理简化,假设储液槽是绝热容器;储液槽中的溶液均匀,不同位置处的溶液参数相同;通过接口流入的溶液在短时间内与储液槽中的溶液混合均匀. 如图3所示为储液槽模型的简化图. 储液槽溶液的质量平衡式为
图 3
储液槽溶质的质量平衡式为
储液槽溶液的能量平衡式为
式中:
1.2. 再生温度的动态输入模型
实际的余热源波动函数通过傅里叶变换成由多个三角函数叠加组成,因此将溶液入口温度的数学模型表示为正弦形式的函数:
式中:
1.3. 性能评价指标
1.3.1. 质量分数极差
在溶液除湿系统中,送风湿度的稳定性与溶液质量分数的稳定性紧密相关,因此了解再生器溶液出口质量分数的波动具有重要意义. 以再生器出口溶液质量分数波动范围的极差反映再生溶液质量分数的稳定性,质量分数极差的表达式为
式中:
1.3.2. 平均再生量
再生量是衡量再生系统再生能力的重要性能指标. 采用一段时间内的平均再生量来评价动态再生过程的性能,表达式为
式中:
2. 实验系统及模型验证
2.1. 实验系统
图 4
表 1 实验测量装置参数
Tab.1
| 名称 | 型号 | 精度 | 量程 |
| 热电阻 | PT100 | ±0.1 ℃ | −70~200 ℃ |
| 空气温湿度传感器 | KS-SHTE23T | ±2% (RH), ±0.2 ℃ | 0~100% (RH), −40~125 ℃ |
| 热式气体质量流量计 | TOCEIL-20N080 | ±1% | 0~750 kg/h |
| 电磁流量计 | CKLDY-G-D10-J | ±0.5% | 0.03~2.80 m3/h |
| 密度计 | CJM- | 10−3 g/cm3 | 1.0~1.7 g/cm3 |
2.2. 模型验证
开展溶液温度变化的动态实验:1)预先配置实验工况条件下足量溴化锂溶液于溶液桶中,将该溶液作为再生器的入口溶液,入口溶液质量分数通过密度计及温度计间接测量计算得到[11];2)溶液由泵进入换热器中与热水换热后,被喷淋至填料中与空气进行传热传质;3)再生后的溶液经过储液槽流入另一溶液桶中储存. 再生器填料入口的溶液温度通过调节热水流量来改变. 实验验证工况如下:
图 5
3. 研究结果与分析
仿真工况如下:空气温度为35 ℃,含湿量为16 g/kg,空气的质量流量为0.04 kg/s;储液槽溶液的初始质量分数为45.5%,溶液的入口质量流量为0.04 kg/s. 溶液的热惯性使得溶液具有缓解溶液质量分数波动的能力,且效果与溶液质量直接相关[14]. 本研究从精简结构、降低成本的实用性角度出发,选择满足系统基本运行和动态调控条件下的基础溶液质量为30 kg,溶液温度涵盖常见的再生温度区间,为50~80 ℃[15-16],考虑到温度波动周期在0.5~2.0 h对溶液质量分数波动影响大,且波动周期为0.5~2.0 h的动态再生过程与稳态再生过程差异较大,选择溶液温度波动周期为0.5~2.0 h,仿真时间为6 h.
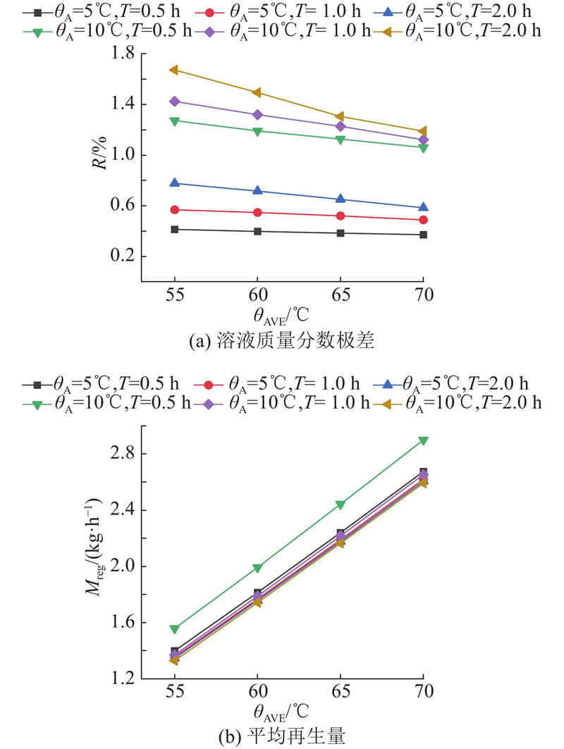
3.1. 溶液平均温度的影响
图 6
图 6 溶液平均温度对溶液质量分数极差和再生量的影响
Fig.6 Influence of average solution temperature on solution mass fraction range and regeneration rate
式中:
3.2. 溶液温度波动周期的影响
如图7所示为溶液温度波动周期对溶液质量分数极差和平均再生量的影响. 当溶液温度波动幅值为5 ℃时,溶液质量分数极差随温度波动周期的增大而增大;当溶液温度波动幅值为15 ℃时,质量分数极差随温度波动周期的增大而减小.
图 7
图 7 溶液温度波动周期对溶液质量分数极差和再生量的影响
Fig.7 Influence of solution temperature fluctuation period on solution mass fraction range and regeneration rate
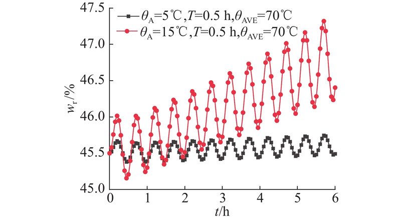
如图8所示为溶液温度随时间变化的时域结果曲线. 由图可知,当溶液温度的波动幅值为5 ℃时,由于传质系数的变化较小,单位周期下的平均溶液质量分数变化也不大,总时间内的质量分数极差主要受单位周期内的质量分数极差影响,溶液温度波动周期越大,单位周期溶液循环次数越大,累积的质量分数变化越大,因此溶液温度波动幅值小时,溶液质量分数极差随温度波动周期的增大而增大. 当溶液温度波动幅值为15 ℃时,由于传质系数的变化较大,单位周期下的平均溶液质量分数变化较大,此时单位周期下平均溶液质量分数变化也是影响质量分数极差的重要因素,相同时间内溶液温度波动周期越小,累积的质量分数变化越大,因此溶液温度波动幅值大时,质量分数极差随温度波动周期的增大而减小. 在本研究中,溶液温度波动周期为0.5 h时,具有最大的平均再生量. 平均再生量随着溶液温度波动周期的增大而减小,且随着溶液温度波动周期变大,波动周期对质量分数和再生量的影响越小,溶液温度波动周期从1.0 h增至2.0 h 时,平均再生量降低不到6%,此时溶液的再生主要受到溶液平均温度的制约.
图 8
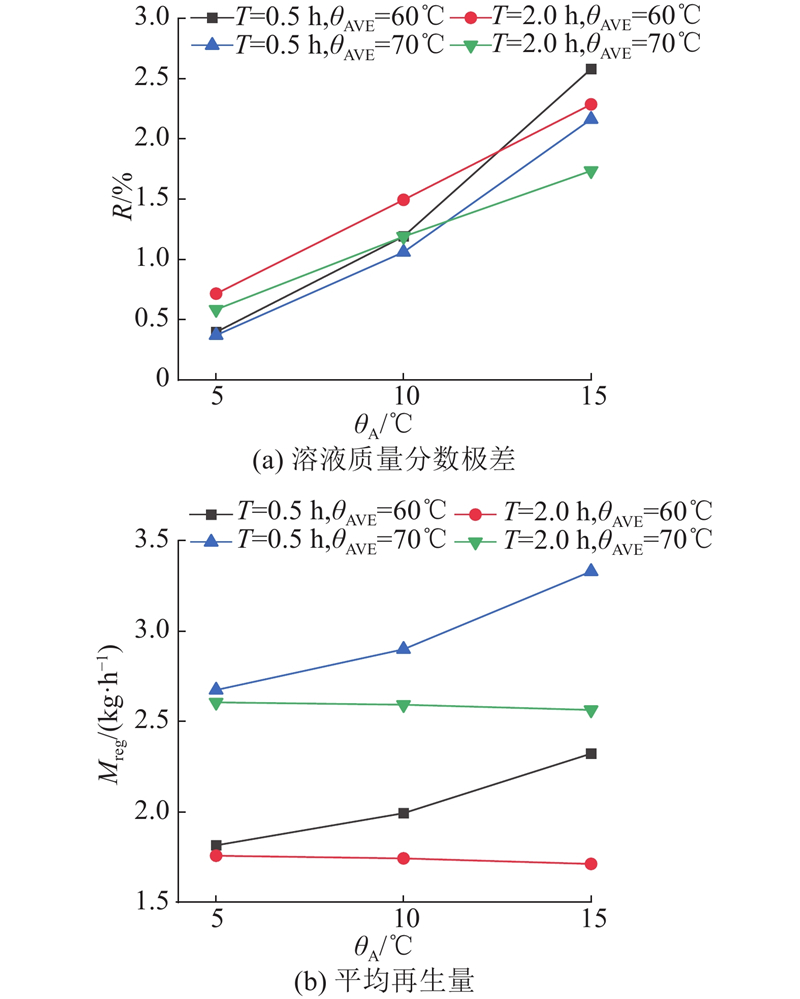
3.3. 溶液温度波动幅值的影响
如图9所示为溶液温度波动幅值对溶液质量分数极差和平均再生量的影响. 由图9 (a)可知,溶液温度波动幅值对溶液质量分数的波动有显著影响. 随幅值增大,溶液质量分数的波动越大且波动周期越小时,幅值对质量分数波动的影响越大. 在本研究中,溶液温度波动幅值为15 ℃时,溶液质量分数波动最显著. 由图9 (b)可知,温度波动周期大时,波动幅值对平均再生量几乎无影响,此时平均再生量主要是受到溶液平均温度的影响. 温度波动周期小时,随溶液温度波动幅值增大,平均再生量越大,原因是再生器具有热惯性,避免再生器时间工作在不利于再生的温度. 在溶液温度波动周期为0.5 h、波动幅值为5 ℃、溶液平均温度为60 ℃时,溶液平均温度每增大10 ℃,平均再生量增加约50%,溶液温度波动幅值增大10 ℃,平均再生量增加约30%,此时波动幅值对平均再生量的影响仅次于溶液平均温度. 因此,在溶液温度波动周期为0.5 h时,如果对再生溶液质量分数的稳定性要求不高,可以通过调节外接热源的加热功率获得更高的再生量. 相反,如果对溶液质量分数的稳定性要求严格,则可以通过调节外接热源进行削峰填谷,减小溶液温度波动的幅值,但溶液温度波动幅值的改变对平均再生量的提升效果不明显.
图 9
图 9 溶液温度波动幅值对溶液质量分数极差和再生量的影响
Fig.9 Influence of solution temperature fluctuation amplitude on solution mass fraction range and regeneration rate
4. 结 论
(1)建立再生系统的动态仿真模型,搭建再生系统试验台,通过动态实验进行仿真模型验证,模拟结果与实验结果误差不超过10%,所建模型能较准确反映再生器的动态特性.
(2)在溶液平均温度、波动周期和波动幅值3种余热特性中,溶液平均温度对平均再生量的影响最为关键,对溶液质量分数的波动影响程度受限于溶液温度波动周期和幅值的取值. 当溶液温度波动幅值为5 ℃、周期为2.0 h时,溶液平均温度对溶液质量分数极差几乎无影响;当溶液温度波动幅值为10 ℃、周期为2.0 h 时,溶液平均温度每升高5 ℃,能使溶液质量分数波动减缓约10%.
(3)温度波动周期对溶液质量分数极差的影响:当溶液温度波动为5 ℃时,随波动周期的增大而增大;当幅值为15 ℃时,随周期的增大而减小. 平均再生量随波动周期的增大而减小;当溶液温度波动周期大于1.0 h时,周期增大对平均再生量的影响不到6%.
(4)在溶液平均温度、波动周期和波动幅值3种余热特性中,溶液温度的波动幅值对溶液质量分数极差的影响最为显著. 随着温度波动幅值增大,溶液质量分数的波动增大. 当溶液温度波动周期为0.5 h时,平均再生量随幅值的增大而增大;当波动周期为2.0 h时,平均再生量主要受溶液平均温度的影响.
本研究专注于再生器的动态再生性能,但在实际应用过程中,溶液除湿与溶液再生耦合、相互影响,后续计划从系统的角度研究余热驱动下除湿与再生的动态性能.
参考文献
Dynamic and microscopic simulation of the counter-current flow in a liquid desiccant dehumidifier
[J].DOI:10.1016/j.apenergy.2014.06.023 [本文引用: 1]
Experimental study of dynamic characteristics of liquid desiccant dehumidification processes
[J].DOI:10.1080/23744731.2016.1211875 [本文引用: 1]
Dynamic operational characteristics and preliminary control of a packed liquid desiccant dehumidifier
[J].DOI:10.1016/j.enbuild.2021.111185 [本文引用: 1]
Dynamic model development of heat and mass transfer for a novel desiccant regeneration system in liquid desiccant dehumidification system
[J].DOI:10.1016/j.applthermaleng.2018.09.027 [本文引用: 1]
A dynamic dehumidifier model for simulations and control of liquid desiccant hybrid air conditioning systems
[J].DOI:10.1016/j.enbuild.2017.01.073 [本文引用: 1]
An improved time delay neural network model for predicting dynamic heat and mass transfer characteristics of a packed liquid desiccant dehumidifier
[J].DOI:10.1016/j.ijthermalsci.2022.107548 [本文引用: 1]
Dynamic modeling and economic model predictive control of a liquid desiccant air conditioning
[J].DOI:10.1016/j.apenergy.2019.114174 [本文引用: 1]
Development of a new control method for the dynamic liquid desiccant dehumidification process
[J].DOI:10.1016/j.enbuild.2022.112239 [本文引用: 1]
Hold-up of Mellapak structured packings
[J].DOI:10.1016/0255-2701(92)85005-M [本文引用: 1]
Analysis and comparison of flow path and operating parameters in liquid desiccant systems
[J].
Thermodynamic properties of aqueous lithium bromide using a multiproperty free energy correlation
[J].
Dynamic modeling of liquid-desiccant regenerator based on a state-space method
[J].DOI:10.1016/j.apenergy.2019.02.082 [本文引用: 1]
Dynamic behaviour simulation of a liquid desiccant dehumidification system
[J].DOI:10.1016/j.energy.2017.11.161 [本文引用: 1]
Modelling and dynamic simulation of a hybrid liquid desiccant system regenerated with solar energy
[J].DOI:10.1016/j.applthermaleng.2015.10.149 [本文引用: 1]
内燃机缸套水低温余热驱动除湿机组实验研究
[J].
The experimental research of dehumidification unit driven by low temperature waste heat of internal combustion engine jacket water
[J].
利用冷凝热再生低浓度除湿溶液的实验研究
[J].DOI:10.3969/j.issn.0253-4339.2018.01.076 [本文引用: 1]
Experimental investigation for low-concentration liquid desiccant regeneration with utilization of condensation heat
[J].DOI:10.3969/j.issn.0253-4339.2018.01.076 [本文引用: 1]
/
| 〈 |
|
〉 |

