Please wait a minute...
Journal of ZheJiang University (Engineering Science)  2026, Vol. 60 Issue (3): 670-678    DOI: 10.3785/j.issn.1008-973X.2026.03.023
    
Experimental and simulation analysis on reaction characteristic of smoldering treatment of oily sludge
Ye ZHANG1(),Longjie JI2,3,Hongxuan LI2,3,Peng LIU2,3,Shupeng LI2,3,Shi FENG1,Jinqing WANG1,Xu XU1,*(),Mingxiu ZHAN1
1. College of Energy Environment and Safety Engineering, China Jiliang University, Hangzhou 310018, China
2. Beijing Construction Engineering Group Environmental Remediation Limited Company, Beijing 100015, China
3. National Engineering Laboratory for Site Remediation Technologies, Beijing 100015, China
Download: HTML     PDF(1331KB) HTML
Export: BibTeX | EndNote (RIS)      

Abstract  

Smoldering treatment was applied to oily sludge to evaluate the disposal effectiveness and analyze the difference in smoldering characteristic under different Darcy air flow rate and heating value aiming at the problem of the high cost and the difficulty of simultaneously achieving harmlessness and resource recovery of existing oily sludge treatment technology. A one-dimensional numerical model of oily sludge smoldering was established. Results showed that the pollutant removal rate in the sludge exceeded 99.7% and the oil recovery rate reached 57.8% after smoldering treatment. The relationship of the average peak temperature and propagation velocity with the mass fraction of water, Darcy air flow rate, and porosity was analyzed. The types and mass fractions of substances before and after smoldering were compared by combining with molecular dynamics simulations. The reactions involved in the smoldering process include not only the cracking of long-chain petroleum hydrocarbons and the oxidation of short-chain hydrocarbons, but also volatilization, cyclization and aromatization, and isomerization of petroleum hydrocarbons. The numerical simulation results showed that the model could reasonably simulate the temperature and propagation velocity during oily sludge smoldering, with an average error of about 11%. The simulated trends in smoldering rate accorded with the experimental results when the Darcy air flow rate and heating value varied, and good agreement was obtained under different conditions.



Key wordsoily sludge      smoldering characteristic      degradation pathway      molecular dynamic simulation     
Received: 04 April 2025      Published: 04 February 2026
CLC:  X 703  
Fund:  浙江省自然科学基金资助项目(LY23E060002).
Corresponding Authors: Xu XU     E-mail: 1287509205@qq.com;xuxu@cjlu.edu.cn
Cite this article:

Ye ZHANG,Longjie JI,Hongxuan LI,Peng LIU,Shupeng LI,Shi FENG,Jinqing WANG,Xu XU,Mingxiu ZHAN. Experimental and simulation analysis on reaction characteristic of smoldering treatment of oily sludge. Journal of ZheJiang University (Engineering Science), 2026, 60(3): 670-678.

URL:

https://www.zjujournals.com/eng/10.3785/j.issn.1008-973X.2026.03.023     OR     https://www.zjujournals.com/eng/Y2026/V60/I3/670


阴燃治理含油污泥反应特性的实验及模拟分析

针对现有含油污泥处置技术存在的成本高、难以兼顾无害化和资源化的问题,采用阴燃法处置含油污泥,探究处置效果以及在不同达西空气流速、热值条件下的阴燃特性差异,建立一维的含油污泥阴燃数值模型. 结果表明,阴燃处理后污泥中的污染物去除率大于99.7%,油回收率可达57.8%. 明确了污泥阴燃的平均峰值温度和传播速度与水的质量分数、达西空气流速、孔隙率的关系. 对比阴燃前、后的物质种类和质量分数变化并结合分子动力学模拟,发现阴燃过程的反应不仅涉及长链石油烃的裂化和短链石油烃的氧化,还包含石油烃的挥发、环化和芳构化、异构化等. 数值模拟结果表明,利用该模型,能够较好地模拟含油污泥阴燃过程的温度和速度,平均误差约为11%. 当达西空气流速和热值改变时,模拟结果与实验结果的阴燃速率变化趋势一致,模拟结果与实验结果在不同条件下符合较好.


关键词: 含油污泥,  阴燃特性,  降解路径,  分子动力学模拟 
成分元素分析 wad / %工业分析 wad / %
CHO1)NS水分灰分挥发分固定碳
注:1)由差减法测出.
含油污泥12.741.648.880.310.5220.4355.4823.500.59
Tab.1 Proximate analysis and ultimate analysis of landed oily sludge
成分wB / %成分wB / %成分wB / %成分wB / %
2-丁烯4.44十六烷3.361-十二烯0.54二十三烷5.52
1-戊烯1.422,6,10,14-四甲基十六烷4.462,7,10-三甲基十二烷0.45二十四烷5.65
1-己烯1.00十七烷8.121-十三烯0.61二十五烷5.36
1-庚烯0.541-十七烯0.87十四烷0.80二十六烷5.00
1-辛烯0.44十八烷5.602,6,10-三甲基十五烷1.52二十八烷4.07
1-壬烯0.48十九烷5.06十五烷2.56二十九烷2.89
1-癸烯0.65二十烷15.731-十五烯1.00四十四烷4.36
1-十一烯0.60二十二烷6.323-十六碳烯0.55
Tab.2 Type and mass fraction of petroleum hydrocarbon in original oily sludge
Fig.1 Schematic diagram of oily sludge smoldering device
Fig.2 Molecular structure diagram of eicosane
Fig.3 Curve of ignition time of smoldering with moisture mass fraction
Fig.4 Variation curve of average peak temperature and propagation speed of smoldering with moisture mass fraction
Fig.5 Curve of average peak smoldering temperature and smoldering speed with Darcy air velocity variation
Fig.6 Curve of relationship between smoldering average peak temperature and calorific value
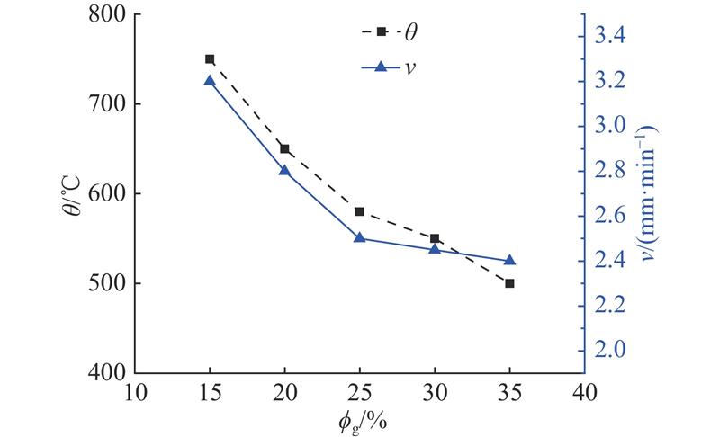
Fig.7 Curve of average peak temperature and propagation speed of smoldering with porosity variation
Fig.8 Schematic diagram of possible pollutant degradation pathway during smoldering process of oily sludge
成分wB/%成分wB/%
丙烷1.50十三烷3.21
辛烷2.451-十三烯0.19
壬烷7.20十四烷1.66
癸烷10.43十五烷0.55
十一烷11.212,6-二甲基十一烷1.34
4-甲基癸烷3.56邻二甲苯2.28
十二烷6.50
Tab.3 Mass fraction of major component in condensate from oil sludge smoldering exhaust
Fig.9 Statistics of carbon-containing mass fraction at different temperature and isothermal evolution of number of H2 and total amount of product at 4 000 K
Fig.10 Comparison between simulation and experimental result of oily sludge smoldering
Fig.11 Difference of simulation and experimental result in average peak temperature and smoldering rate with variation of Darcy air velocity
Fig.12 Difference of simulation and experimental result in average peak temperature and smoldering rate of different calorific value
[3]   LI H, SONG S F, QU C T, et al. Study of treatment process and development of oily sludge [J]. Advanced Materials Research, 2013, 838/839/840/841: 2667–2672.
[4]   王玉华, 陈传帅, 孟娟, 等 含油污泥处置技术的新发展及其应用现状[J]. 安全与环境工程, 2018, 25 (3): 103- 110
doi: 10.13578/j.cnki.issn.1671-1556.2018.03.017
[1]   SILVA L J, ALVES F C, DE FRANÇA F P A review of the technological solutions for the treatment of oily sludges from petroleum refineries[J]. Waste Management and Research, 2012, 30 (10): 1016- 1030
doi: 10.1177/0734242X12448517
[2]   HU G, LI J, ZENG G Recent development in the treatment of oily sludge from petroleum industry: a review[J]. Journal of Hazardous Materials, 2013, 261: 470- 490
doi: 10.1016/j.jhazmat.2013.07.069
[4]   WANG Yuhua, CHEN Chuanshuai, MENG Juan, et al Development and application of disposal techniques on oil sludge[J]. Safety and Environmental Engineering, 2018, 25 (3): 103- 110
doi: 10.13578/j.cnki.issn.1671-1556.2018.03.017
[5]   ZORIN A D, KARATAEV E N, ZANOZINA V F, et al Thin-film cracking of acid tars[J]. Petroleum Chemistry, 2012, 52 (4): 245- 252
doi: 10.1134/S0965544112040135
[6]   陈晓丽, 李龙, 雷大鹏, 等 阴燃技术在土壤修复中应用的中试[J]. 化工设计通讯, 2019, 45 (10): 37- 38
CHEN Xiaoli, LI Long, LEI Dapeng, et al Pilot test of smoldering technology applied in soil remediation[J]. Chemical Engineering Design Communications, 2019, 45 (10): 37- 38
doi: 10.3969/j.issn.1003-6490.2019.10.027
[7]   葛传芹, 雷大鹏, 刘杉, 等 采用异位阴燃修复技术处理含油固废中试实验[J]. 环境工程学报, 2022, 16 (2): 601- 611
GE Chuanqin, LEI Dapeng, LIU Shan, et al Pilot studies on treatment of oily solid waste with ex situ smoldering remediation technology[J]. Chinese Journal of Environmental Engineering, 2022, 16 (2): 601- 611
doi: 10.12030/j.cjee.202108168
[8]   王天宇, 蒋文明, 刘杨 含油污泥阴燃处理技术研究与进展[J]. 化工学报, 2020, 71 (4): 1411- 1423
WANG Tianyu, JIANG Wenming, LIU Yang Research and progress of smoldering combustion technology for oily sludge[J]. Journal of Chemical Industry and Engineering(China), 2020, 71 (4): 1411- 1423
doi: 10.11949/0438-1157.20191085
[9]   SOLINGER R, GRANT G P, SCHOLES G C, et al STARx Hottpad for smoldering treatment of waste oil sludge: proof of concept and sensitivity to key design parameters[J]. Waste Management and Research, 2020, 38 (5): 554- 566
[10]   ZHAO C, LI Y, GAN Z, et al Method of smoldering combustion for refinery oil sludge treatment[J]. Journal of Hazardous Materials, 2021, 409: 124995
doi: 10.1016/j.jhazmat.2020.124995
[11]   杨高玄. 含油污泥的阴燃处理技术研究 [D]. 大连: 大连理工大学, 2021.
YANG Gaoxuan. Research on smoldering treatment technology of oil-contaminated sludge [D]. Dalian: Dalian University of Technology, 2021.
[12]   杨高玄, 占敬敬 阴燃处理华北油田含油污泥的研究[J]. 应用化工, 2022, 51 (2): 317- 321
YANG Gaoxuan, ZHAN Jingjing Study on the treatment of oily sludge in North China oilfield by smoldering[J]. Applied Chemical Industry, 2022, 51 (2): 317- 321
doi: 10.3969/j.issn.1671-3206.2022.02.005
[13]   GAN Z, ZHAO C, LI Y, et al Experimental investigation on smoldering combustion for oil sludge treatment: influence of key parameters and product analysis[J]. Fuel, 2022, 316: 123354
doi: 10.1016/j.fuel.2022.123354
[14]   甘宗伟. 阴燃法治理含油污泥关键特性实验及模拟研究 [D]. 济南: 山东大学, 2022.
GAN Zongwei. Experimental and simulation study on key characteristics of smoldering method for oily sludge treatment [D]. Jinan: Shandong University, 2022.
[15]   雷大鹏, 单晖峰, 杨登, 等 工程化阴燃技术治理含油污泥工程示范[J]. 环境工程, 2022, 40 (10): 150- 155
LEI Dapeng, SHAN Huifeng, YANG Deng, et al A demonstration project of oil sludge treatment with engineered smoldering technology[J]. Environmental Engineering, 2022, 40 (10): 150- 155
doi: 10.13205/j.hjgc.202210020
[16]   苗芳. 含油污泥中重质组分在热解过程中的演化规律 [D]. 西安: 西安石油大学, 2023: 65.
MIAO Fang. Evolution patterns of heavy components in oily sludge during pyrolysis process [D]. Xi’an: Xi’an Shiyou University, 2023.
[17]   HEIDARZADEH N, GITIPOUR S, ALI ABDOLI M Characterization of oily sludge from a Tehran oil refinery[J]. Waste Management and Research, 2010, 28 (10): 921- 927
doi: 10.1177/0734242X09345794
[18]   CAUMETTE G, LIENEMANN C, MERDRIGNAC I, et al Element speciation analysis of petroleum and related materials[J]. Journal of Analytical Atomic Spectrometry, 2009, 24 (3): 263- 276
doi: 10.1039/b817888g
[19]   YU H, SHAN C, LI J, et al Alkaline absorbents for SO2 and SO3 removal: a comprehensive review[J]. Journal of Environmental Management, 2024, 366: 121532
doi: 10.1016/j.jenvman.2024.121532
[20]   LI T, CAO X, HE S, et al An accelerated solvent extraction and gas chromatography-flame ionization detector method to rapidly determining and assessing total petroleum hydrocarbon contamination in soil from Fushan oilfield, China[J]. Environmental Science and Pollution Research, 2020, 27 (30): 37444- 37454
doi: 10.1007/s11356-020-09418-4
[21]   YERMÁN L, WALL H, TORERO J L Experimental investigation on the destruction rates of organic waste with high moisture content by means of self-sustained smoldering combustion[J]. Proceedings of the Combustion Institute, 2017, 36 (3): 4419- 4426
doi: 10.1016/j.proci.2016.07.052
[22]   杨玖玲. 泥炭阴燃及阴燃气体生成规律的实验与机理研究 [D]. 合肥: 中国科学技术大学, 2017.
YANG Jiuling. Experimental and mechanistic study on peat smoldering and the generation law of smoldering gases [D]. Hefei: University of Science and Technology of China, 2017.
[23]   ZANONI M A B, TORERO J L, GERHARD J I Determination of the interfacial heat transfer coefficient between forced air and sand at Reynold’s numbers relevant to smouldering combustion[J]. International Journal of Heat and Mass Transfer, 2017, 114: 90- 104
doi: 10.1016/j.ijheatmasstransfer.2017.06.020
[24]   ZANONI M A B, WANG J, GERHARD J I Understanding pressure changes in smouldering thermal porous media reactors[J]. Chemical Engineering Journal, 2021, 412: 128642
doi: 10.1016/j.cej.2021.128642
[25]   TORERO J L, GERHARD J I, MARTINS M F, et al Processes defining smouldering combustion: integrated review and synthesis[J]. Progress in Energy and Combustion Science, 2020, 81: 100869
doi: 10.1016/j.pecs.2020.100869
[26]   LI X, ZHENG M, REN C, et al ReaxFF molecular dynamics simulations of thermal reactivity of various fuels in pyrolysis and combustion[J]. Energy and Fuels, 2021, 35 (15): 11707- 11739
[27]   LIU Q, LIU S, LV Y, et al Atomic-scale insight into the pyrolysis of polycarbonate by ReaxFF-based reactive molecular dynamics simulation[J]. Fuel, 2021, 287: 119484
doi: 10.1016/j.fuel.2020.119484
[28]   EGAZAR’YANTS S V, VINOKUROV V A, VUTOLKINA A V, et al Oil sludge treatment processes[J]. Chemistry and Technology of Fuels and Oils, 2015, 51 (5): 506- 515
doi: 10.1007/s10553-015-0632-7
[29]   YERMÁN L, HADDEN R M, CARRASCAL J, et al Smouldering combustion as a treatment technology for faeces: exploring the parameter space[J]. Fuel, 2015, 147: 108- 116
doi: 10.1016/j.fuel.2015.01.055
[1] JIN Yu-qi, CHU Xiao-liang, ZHENG Xiao-yuan, CHI Yong, YAN Jian-hua. Experimental study on ultrasound assisted extraction of
crude oil from oil sludge
[J]. Journal of ZheJiang University (Engineering Science), 2012, 46(12): 2178-2183.