Please wait a minute...
Journal of ZheJiang University (Engineering Science)  2026, Vol. 60 Issue (3): 651-660    DOI: 10.3785/j.issn.1008-973X.2026.03.021
    
Hot-spot migration characteristic in coupled interstage combustor–low-pressure turbine vane system
Zixiang NIU1(),Han WU1,Qihao LU1,Lanfang ZHAO1,2,Zhixin ZHU1,*(),Gaofeng WANG1
1. School of Aeronautics and Astronautics, Zhejiang University, Hangzhou 310027, China
2. AECC Hunan Aviation Powerplant Research Institute, Zhuzhou 412002, China
Download: HTML     PDF(3216KB) HTML
Export: BibTeX | EndNote (RIS)      

Abstract  

Numerical simulation and experimental measurement of the temperature field at the vane exit plane were conducted on a compactly coupled experimental platform integrating an interstage combustor and a turbine flow passage in order to analyze the effect of interstage combustion–induced temperature rise and high-temperature gas on the internal flow of turbine vane. Tests were performed under various operating conditions with different inlet air temperature and fuel mass flow rate. Results show that the hot-spot shape generated by interstage combustion exhibits no significant variation with change in interstage temperature rise, high-temperature gas temperature and gas composition. The relationship between the hot-spot pattern at the interstage combustor outlet and the corresponding flow field was clarified by comparing experimental and numerical results. Results demonstrate that variation in interstage temperature rise and high-temperature gas parameter has negligible effect on the vane flow field and hot-spot migration characteristic. The flow structure of the interstage combustion system is primarily governed by the interference of the flame stabilization device with the turbine component, while hot-spot migration is mainly determined by the flow-field structure.



Key wordsinterstage turbine burner (ITB)      premixed combustion      combustor performance      exit temperature distribution      hot-spot migration      coupled heat transfer     
Received: 01 July 2025      Published: 04 February 2026
CLC:  V 231  
Fund:  国家重大科技专项资助项目(J2019-III-0006-0049);国家重点研发计划资助项目(2021YFA0716202);国家自然科学基金资助项目 (U2341282).
Corresponding Authors: Zhixin ZHU     E-mail: 22224045@zju.edu.cn;zhu_z_x@zju.edu.cn
Cite this article:

Zixiang NIU,Han WU,Qihao LU,Lanfang ZHAO,Zhixin ZHU,Gaofeng WANG. Hot-spot migration characteristic in coupled interstage combustor–low-pressure turbine vane system. Journal of ZheJiang University (Engineering Science), 2026, 60(3): 651-660.

URL:

https://www.zjujournals.com/eng/10.3785/j.issn.1008-973X.2026.03.021     OR     https://www.zjujournals.com/eng/Y2026/V60/I3/651


级间燃烧室与低压涡轮导叶耦合热斑迁移特性

为了研究涡轮级间燃烧温升和高温燃气对导叶内流动的影响,基于级间燃烧室与涡轮流道紧凑耦合的试验平台,在不同来流空气温度和燃料质量流量的工况下对导叶出口截面的温度场分布进行数值仿真和试验测量. 研究发现,级间燃烧的热斑形状不会随着级间温升、高温燃气温度、组分的改变发生明显变化. 对比试验与仿真结果,解释了级间燃烧室出口热斑形状与流场的关系. 结果显示,级间温升与高温燃气参数不会对导叶流场及热斑迁移特性产生显著的影响. 级间燃烧流场的结构主要取决于火焰稳定装置对涡轮部件的干涉,热斑迁移主要取决于流场结构.


关键词: 级间涡轮燃烧室(ITB),  预混燃烧,  燃烧室性能,  出口温度分布,  热斑迁移,  耦合传热 
Fig.1 Schematic of structure and measurement section location of interstage combustion experimental model
Fig.2 Structural diagram of evaporation tank flame stabilizer
Fig.3 Schematic diagram of evaporation tank flame stabilizer
测量区域测量截面测量参数测点数
进口4.5截面总压$ {p}_{\text{t}45} $2支5点
进口4.5 '截面外壁静压$ {p}_{\rm s45S} $3点
进口4.5 '截面内壁静压$ {p}_{\rm s45H} $3点
进口4.5 '截面温度$ {T}_{\text{t}45} $2支2点
出口5.5截面温度$ {T}_{\text{t55}} $10支8点
出口5.5截面内壁静压$ {p}_{\rm s55H} $3点
出口5.5截面总压$ {p}_{\text{t55}} $2支5点
Tab.1 Measurement parameter and measurement point layout
Fig.4 Temperature measurement area of 5.5 section
Fig.5 Schematic of interstage combustion–turbine coupled experimental system
Fig.6 Computational fluid domain and mesh generation
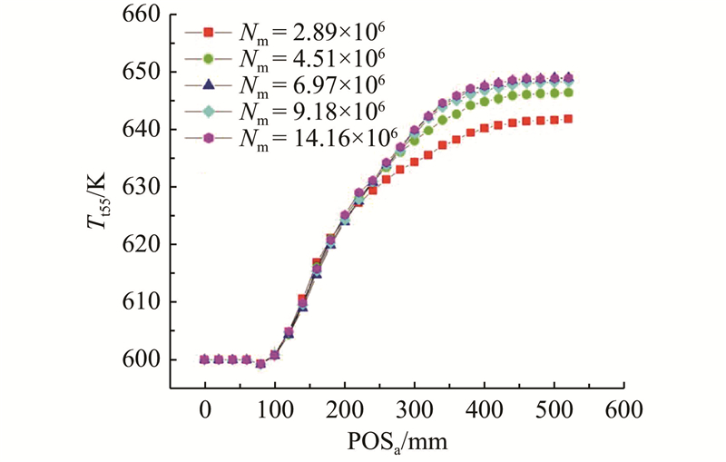
Fig.7 Axial distribution of cross-sectionally averaged total temperature obtained with different mesh density
工况?a/(kg·s?1)Tt45/K?p/(g·s?1)
Case1a0.36000.27
Case1b0.36000.33
Case1c0.36000.40
Case2a0.36500.27
Case2b0.36500.40
Tab.2 Experimental condition of interstage combustion
Fig.8 Variation of total pressure recovery coefficient with inlet Mach number
Fig.9 Temperature cloud diagram of Case1 outlet section
Fig.10 Temperature cloud diagram of Case2 outlet section
Fig.11 Radial distribution of mean exit temperature under different operating condition
Fig.12 Comparison of simulated and experimental temperature at low-pressure turbine vane exit
Fig.13 Temperature distribution along axial direction of Case1
Fig.14 Temperature distribution and streamline on guide vanes’ surface of Case1b
Fig.15 Comparison of hot streak and flow field of Case1b
Fig.16 Temperature, streamline and velocity swirl strength distribution on outlet of Case1b
Fig.17 Q-criterion distribution on axial cross-section and iso-surface of guide vane downstream
Fig.18 Temperature distribution on axial cross-section and Q-criterion iso-surface of guide vane downstream
[1]   ZELINA J, EHRET J, HANCOCK R, et al. Ultra-compact combustion technology using high swirl for enhanced burning rate [C]//Proceedings of the 38th AIAA/ASME/SAE/ASEE Joint Propulsion Conference and Exhibit. Indianapolis: AIAA, 2002: 3725.
[2]   ZELINA J, SHOUSE D T, STUTRUD J S, et al. Exploration of compact combustors for reheat cycle aero engine applications [C]//Proceedings of the Volume 1: Combustion and Fuels, Education. Barcelona: [s. n. ], 2006: 137-147.
[3]   毛艳辉. 航空燃气轮机涡轮级间燃烧技术研究 [D]. 北京: 中国科学院研究生院(工程热物理研究所), 2013.
[4]   丁国玉, 何小民, 金义, 等 涡轮级间燃烧室燃烧性能试验[J]. 航空动力学报, 2012, 27 (11): 2442- 2447
DING Guoyu, HE Xiaomin, JIN Yi, et al Experiment of performance of interstage turbine combustor[J]. Journal of Aerospace Power, 2012, 27 (11): 2442- 2447
doi: 10.13224/j.cnki.jasp.2012.11.016
[5]   YIN F, RAO A G Performance analysis of an aero engine with inter-stage turbine burner[J]. The Aeronautical Journal, 2017, 121 (1245): 1605- 1626
doi: 10.1017/aer.2017.93
[6]   YIN F, RAO A G Off-design performance of an interstage turbine burner turbofan engine[J]. Journal of Engineering for Gas Turbines and Power, 2017, 139 (8): 082603
doi: 10.1115/1.4035821
[7]   YIN F, RAO A G A review of gas turbine engine with inter-stage turbine burner[J]. Progress in Aerospace Sciences, 2020, 121: 100695
doi: 10.1016/j.paerosci.2020.100695
[8]   宋双文, 胡好生, 王梅娟, 等 涡轮间燃烧室贫油熄火特性的试验研究[J]. 航空发动机, 2012, (5): 10- 12
SONG Shuangwen, HU Haosheng, WANG Meijuan, et al Experimental study on lean blow-out characteristic of inter-stage turbine burner[J]. Aeroengine, 2012, (5): 10- 12
[9]   宋双文, 胡好生, 王梅娟, 等 全环涡轮级间燃烧室性能试验[J]. 航空动力学报, 2012, 27 (10): 2175- 2179
SONG Shuangwen, HU Haosheng, WANG Meijuan, et al Experiment on performance of annular interstage turbine burner[J]. Journal of Aerospace Power, 2012, 27 (10): 2175- 2179
doi: 10.13224/j.cnki.jasp.2012.10.028
[10]   成本林, 周文祥, 张堃元 带级间燃烧的涡轴发动机性能仿真[J]. 航空动力学报, 2011, 26 (11): 2543- 2548
CHENG Benlin, ZHOU Wenxiang, ZHANG Kunyuan Performance simulation of turboshaft engines with interstage turbine burner[J]. Journal of Aerospace Power, 2011, 26 (11): 2543- 2548
doi: 10.13224/j.cnki.jasp.2011.11.035
[11]   方骁远, 邢菲, 徐磊磊, 等 三种航空燃气轮机加入级间燃烧室后性能变化浅析[J]. 推进技术, 2013, 34 (11): 1513- 1519
FANG Xiaoyuan, XING Fei, XU Leilei, et al Performance analysis of three kinds of aero-engine with inter-stage turbine burner[J]. Journal of Propulsion Technology, 2013, 34 (11): 1513- 1519
doi: 10.13675/j.cnki.tjjs.2013.11.011
[12]   毛艳辉, 刘存喜, 刘富强, 等 级间燃烧室在航空发动机上应用分析[J]. 航空动力学报, 2012, 27 (3): 578- 587
MAO Yanhui, LIU Cunxi, LIU Fuqiang, et al Application of inter-stage turbine burner on aero-engine[J]. Journal of Aerospace Power, 2012, 27 (3): 578- 587
[13]   毛艳辉, 杨金虎, 刘存喜, 等 高温升燃烧室与双燃烧室发动机性能对比分析[J]. 航空动力学报, 2013, 28 (3): 673- 680
MAO Yanhui, YANG Jinhu, LIU Cunxi, et al Performance comparison and analysis of high temperature rise combustor engine and two-combustor engine[J]. Journal of Aerospace Power, 2013, 28 (3): 673- 680
doi: 10.13224/j.cnki.jasp.2013.03.021
[14]   彭瀚, 黄玥, 邢菲, 等 入口流量分配对超紧凑级间燃烧室性能的影响[J]. 航空动力学报, 2017, 32 (1): 60- 65
PENG Han, HUANG Yue, XING Fei, et al Performance of ultra-compact inter-turbine burner with different inlet mass flow splits[J]. Journal of Aerospace Power, 2017, 32 (1): 60- 65
doi: 10.13224/j.cnki.jasp.2017.01.009
[15]   尚守堂, 程明, 刘殿春, 等 涡轮级间燃烧室技术的研究现状与发展趋势[J]. 航空科学技术, 2011, 22 (4): 79- 82
SHANG Shoutang, CHENG Ming, LIU Dianchun, et al The status and direction of inter-stage turbine burner technology[J]. Aeronautical Science and Technology, 2011, 22 (4): 79- 82
doi: 10.3969/j.issn.1007-5453.2011.04.023
[16]   LIEW K, URIP E, SIOW Y, et al. A complete parametric cycle analysis of an ideal turbofan with ITB [C]//Proceedings of the 41st Aerospace Sciences Meeting and Exhibit. Reno, Nevada: AIAA, 2003: 685.
[17]   LIEW K, URIP E, YANG S. A parametric cycle analysis of a separate-flow turbofan with interstage turbine burner [C]//41st AIAA Aerospace Sciences Meeting and Exhibit. Reno, Nevada: [s. n. ], 2004: 6-9.
[18]   LIEW K H, URIP E, YANG S L Parametric cycle analysis of a turbofan engine with an interstage turbine burner[J]. Journal of Propulsion and Power, 2005, 21 (3): 546- 551
doi: 10.2514/1.2546
[19]   LIEW K, URIP E, YANG S, et al. Performance (off-design) cycle analysis for a turbofan engine with interstage turbine burner [R]. Cleveland: NASA Glenn Research Center, 2005.
[20]   LIEW K H, URIP E, YANG S L, et al Performance cycle analysis of turbofan engine with interstage turbine burner[J]. Journal of Propulsion and Power, 2006, 22 (2): 411- 416
doi: 10.2514/1.13394
[21]   江立军, 曹俊, 陶焰明, 等 燃烧室涡轮交互作用尺度自适应模拟[J]. 航空动力学报, 2021, 36 (10): 2186- 2196
JIANG Lijun, CAO Jun, TAO Yanming, et al Combustor turbine interaction based on scale adaptive simulation[J]. Journal of Aerospace Power, 2021, 36 (10): 2186- 2196
doi: 10.13224/j.cnki.jasp.20200493
[22]   李钰洁, 刘永葆, 余又红, 等 进口热斑在气冷涡轮动叶流道内迁移特性分析[J]. 海军工程大学学报, 2020, 32 (3): 76- 81
LI Yujie, LIU Yongbao, YU Youhong, et al Analysis of migration characteristic of inlet hot-streak in high pressure cooling turbine blade passage[J]. Journal of Naval University of Engineering, 2020, 32 (3): 76- 81
doi: 10.7495/j.issn.1009-3486.2020.03.013
[23]   马薏文, 苗辉 涡轮温度场仿真技术发展方向研究[J]. 航空动力, 2021, (1): 48- 51
MA Yiwen, MIAO Hui Research on the development of turbine temperature field simulation[J]. Aerospace Power, 2021, (1): 48- 51
[24]   马薏文, 朱江楠, 苗辉 涡轮进口热斑迁移特性研究[J]. 航空动力, 2020, (6): 68- 71
MA Yiwen, ZHU Jiangnan, MIAO Hui An investigation of hot streak characteristic at turbine inlet[J]. Aerospace Power, 2020, (6): 68- 71
[25]   牛夕莹, 郑群, 林枫, 等 热斑在船用燃气轮机高低压涡轮中迁移路径分析[J]. 推进技术, 2025, 46 (3): 85- 95
NIU Xiying, ZHENG Qun, LIN Feng, et al Migration path of a hot streak in high-pressure and low-pressure turbines of a marine gas turbine[J]. Journal of Propulsion Technology, 2025, 46 (3): 85- 95
doi: 10.13675/j.cnki.tjjs.2401080
[26]   谢金伟, 刘志刚, 张晓东, 等 涡轮叶栅进口热斑迁移及其影响因素研究试验装置设计[J]. 燃气涡轮试验与研究, 2018, 31 (2): 1- 7
XIE Jinwei, LIU Zhigang, ZHANG Xiaodong, et al Design of an experimental apparatus for turbine cascade inlet hot streak migration and influences research[J]. Gas Turbine Experiment and Research, 2018, 31 (2): 1- 7
doi: 10.3969/j.issn.1672-2620.2018.02.002
[27]   薛伟鹏, 曾军, 黄康才 热斑迁移路径分析方法[J]. 航空动力学报, 2013, 28 (10): 2302- 2308
XUE Weipeng, ZENG Jun, HUANG Kangcai Analysis method of hot streak migration avenue[J]. Journal of Aerospace Power, 2013, 28 (10): 2302- 2308
doi: 10.13224/j.cnki.jasp.2013.10.020
[28]   张瑞峰, 张伟昊, 刘长青, 等 热斑分布方式对气冷双级涡轮气热性能影响研究[J]. 工程热物理学报, 2023, 44 (3): 617- 622
ZHANG Ruifeng, ZHANG Weihao, LIU Changqing, et al Effect of hot streak distribution on the aerothermodynamic performance of two-stage air-cooled gas turbine[J]. Journal of Engineering Thermophysics, 2023, 44 (3): 617- 622
[29]   ZHU J, XIANG X, HU X, et al Effects of tip clearance height on hot-streak migration in high subsonic micro turbine[J]. Case Studies in Thermal Engineering, 2023, 42: 102703
doi: 10.1016/j.csite.2023.102703
[30]   GIANNINI G, PINELLI L, PACCIANI R, et al The impact of modeling assumptions on the hot spots convection within a cooled high-pressure turbine stage[J]. Aerospace Science and Technology, 2025, 166: 110612
doi: 10.1016/j.ast.2025.110612
[31]   WINGEL C, BINDER N, BOUSQUET Y, et al. Influence of RANS turbulent inlet set-up on the swirled hot streak redistribution in a simplified nozzle guide vane passage: comparisons with large-eddy simulations [C]//Proceedings of the Volume 10B: Turbomachinery-Axial Flow Turbine Aerodynamics; Deposition, Erosion, Fouling, and Icing; Radial Turbomachinery Aerodynamics. Rotterdam: ASME, 2022: V10BT30A002.
[32]   LYU J, HU K, ZHU Z, et al. Investigation of hot streak migrations in a triple dual-stage swirler combustor coupled with turbine vanes under different contraction ratios [C]//Proceedings of the Volume 7: Heat Transfer: Combustors; Heat Transfer: Film Cooling. London: ASME, 2024: V007T11A008.
[33]   吕加呈, 朱志新, 赵兰芳, 等 带涡轮导叶的三头部模型燃烧室电加热热斑模拟方法研究[J]. 实验流体力学, 2025, 39 (1): 21- 29
LYU Jiacheng, ZHU Zhixin, ZHAO Lanfang, et al Investigation of hot streak simulation of a triple model combustor coupled with turbine guide vanes[J]. Journal of Experiments in Fluid Mechanics, 2025, 39 (1): 21- 29
doi: 10.11729/syltlx20230130
[34]   周洁, 宛鹏翔, 韩省思, 等 燃烧室-涡轮耦合流动传热超大涡模拟研究[J]. 推进技术, 2022, 43 (3): 246- 256
ZHOU Jie, WAN Pengxiang, HAN Xingsi, et al Very-large eddy simulation of turbulent flow and heat transfer for coupled combustor-turbine components[J]. Journal of Propulsion Technology, 2022, 43 (3): 246- 256
doi: 10.13675/j.cnki.tjjs.200370
[35]   SIRIGNANO W, DUNN-RANKIN D, LIU F, et al. Turbine burners: turbulent combustion of liquids fuels [R]. Irvine: University of California, Irvine, USA, 2009.
[36]   SIRIGNANO W, DUNN-RANKIN D, LIU F, et al. Turbine burners: flameholding in accelerating flow [C]//Proceedings of the 45th AIAA/ASME/SAE/ASEE Joint Propulsion Conference and Exhibit. Denver: AIAA, 2009.
[37]   ABDELKADER H, ABDELHALIM B The effect of swirl intensity on the flow behavior and combustion characteristics of a lean propane-air flame[J]. Fluid Dynamics and Materials Processing, 2022, 18 (6): 1749- 1762
doi: 10.32604/fdmp.2022.022006
[38]   肖阳, 龚建波, 张坤, 等 涡轮级间燃烧压力恢复系数对涡扇发动机的性能影响仿真[J]. 航空动力学报, 2024, 39 (9): 20220679
XIAO Yang, GONG Jianbo, ZHANG Kun, et al Simulation of the effect of inter-stage turbine burner pressure recovery factor on turbofan engine performance[J]. Journal of Aerospace Power, 2024, 39 (9): 20220679
[1] Zi-shuo WANG,Hao TANG,Yu LIU. Full-coverage film cooling in combustor of micro gas turbine[J]. Journal of ZheJiang University (Engineering Science), 2021, 55(10): 2002-2012.
[2] DUAN Yi, CHENG Le-ming, WU Xue-song, QIU Kun-zan, LUO Zhong-yang. Experimental study on premixed combustion in two-layer porous media with embedded heat exchangers[J]. Journal of ZheJiang University (Engineering Science), 2017, 51(8): 1626-1632.
[3] HE Fang xiang, ZHAN Shu lin, QIAN Xiao qian, LAI Jun ying. Numerical simulation on insulation of flat roof ventilation layer[J]. Journal of ZheJiang University (Engineering Science), 2015, 49(12): 2397-2402.
[4] WANG Wei, DENG Chen, YANG Wei-juan, ZHOU Jun-hu, LIU Jian-zhong, CEN Ke-fa.
Experiments on hydrogen combustion with addition of methane in micro converged nozzle
[J]. Journal of ZheJiang University (Engineering Science), 2014, 48(10): 1727-1731.
[5] WANG Lei, WANG Zhong-hua, NING Ping, JIANG Ming, QIN Yang-song. Phosphorus-fixation and sulfur-fixation by using Ca(OH)2/clays sorbent[J]. Journal of ZheJiang University (Engineering Science), 2013, 47(5): 874-882.