Please wait a minute...
Journal of ZheJiang University (Engineering Science)  2026, Vol. 60 Issue (1): 117-126    DOI: 10.3785/j.issn.1008-973X.2026.01.011
    
Kangaroo leg-like intelligent anti-impact mechanism applied to hydraulic supports of roadways
Chenglong WANG1(),Runsheng LIU1,Congjie GENG2
1. School of Mechatronic Engineering, Shandong University of Science and Technology, Qingdao 266590, China
2. Shandong Dongshan Wanglou Coal Mine Co. Ltd, Jining 272000, China
Download: HTML     PDF(3372KB) HTML
Export: BibTeX | EndNote (RIS)      

Abstract  

A bionic kangaroo leg-like intelligent anti-impact mechanism applied to roadway hydraulic supports was proposed to achieve the real-time adjustment of the energy absorption state of support equipment under impact loading conditions. The bionic mechanism was constructed by referring to the biological structural characteristics of the kangaroo’s leg and the magnetorheological control technology. The anti-impact performance of the ZQ4000/16/31 type roadway advanced hydraulic support was simulated and analyzed under two situations: with or without the bionic mechanism. The results showed that in the support installed with the bionic mechanism, when the equivalent damping coefficient of the magnetorheological damper increased from 150 N·s/mm to 450 N·s/mm, compared with the support without the bionic mechanism, the pressure drop in the lower chamber of the hydraulic column increased from 7.14% to 9.79%, the displacement reduction of the top beam of the support increased from 18.55% to 31.97%, and the energy absorption reduction of the hydraulic column increased from 27.56% to 29.31%, which demonstrated that the bionic mechanism could significantly improve the support performance of the roadway hydraulic supports under impact loading conditions.



Key wordskangaroo leg      anti-impact hydraulic support      magnetorheological damper      intelligent impact resistant mechanism      response surface optimization     
Received: 25 November 2024      Published: 15 December 2025
CLC:  TP 232  
Fund:  国家自然科学基金资助项目(52274132, 52474176);山东省重大科技创新工程资助项目(2020CXGC011502).
Cite this article:

Chenglong WANG,Runsheng LIU,Congjie GENG. Kangaroo leg-like intelligent anti-impact mechanism applied to hydraulic supports of roadways. Journal of ZheJiang University (Engineering Science), 2026, 60(1): 117-126.

URL:

https://www.zjujournals.com/eng/10.3785/j.issn.1008-973X.2026.01.011     OR     https://www.zjujournals.com/eng/Y2026/V60/I1/117


巷道液压支架仿生袋鼠腿智能抗冲击机构

为了实现冲击工况下支护装备吸能状态的实时调整,参考袋鼠腿的生物结构特性,结合磁流变控制技术,提出应用于巷道液压支架的仿生袋鼠腿智能抗冲击机构. 在应用与不应用仿生机构2种情况下对ZQ4000/16/31型巷道超前液压支架的抗冲击性能进行仿真分析. 结果表明,在安装仿生机构的支架中,当磁流变阻尼器的等效阻尼系数从150 N·s/mm递增至450 N·s/mm时,相对于未安装仿生机构的支架,立柱下腔压力降由7.14%增至9.79%,支架顶梁位移降低量由18.55%增至31.97%,立柱的吸能降低量由27.56%增至29.31%. 仿生机构能够显著提高巷道液压支架在冲击载荷工况下的支护性能.


关键词: 仿生袋鼠腿,  防冲液压支架,  磁流变阻尼器,  智能抗冲击机构,  响应面优化 
Fig.1 Muscle function to equivalent component function mapping
Fig.2 Schematic diagram of bionic mechanism and illustration of component hinge points
参数数值
初撑力3 092 kN
工作阻力4 000 kN
支架立柱一级/二级缸径250/180 mm
支架立柱一级/二级柱径230/160 mm
额定工作压力40.74 MPa
行程1.6~3.1 m
Tab.1 Main parameters of ZQ4000/16/31 roadway advanced support column
Fig.3 Installation position of bionic mechanism in hydraulic support
Fig.4 Closed vector diagrams with motion annotations
Fig.5 Non-closed vector diagrams of centroid motion quantities
Fig.6 Force analysis of component 1 and component 2 in bionic mechanism
Fig.7 Force analysis of component 3 and component 4 in bionic mechanism
I/ACeq/ (N·s·mm?1)I/ACeq/ (N·s·mm?1)
0.0152.251.0354.32
0.5252.031.5452.12
Tab.2 Equivalent damping coefficients of magnetorheological damper at different currents
Fig.8 Refined feasible region of hinge points D and G
Fig.9 Poses of bionic mechanism corresponding to data point (α, β, LJG)
αβLJG/mmLLI/mmLJL/mmLFN/mmLHN/mmLEO/mmLDO/mmLBQ/mmLAQ/mm
初值1.830.64960150300955050350150240
可行域1.80~1.850.62~0.68940~980120~180280~32580~12010~7035~65310~390100~150190~290
步长0.010.01107.510510510510
Tab.3 Feasible regions of different optimization variables of bionic mechanism
Fig.10 Response surface of mechanical support force Fsup to parameters LJG and α
Fig.11 Response surface of impact velocity Vimp to parameters LJG and α
Fig.12 Impact displacement response during process of response surface optimization
Fig.13 Impact velocity response during response surface optimization process
Fig.14 Dynamic model of support and mechanical model of magnetorheological damper
Fig.15 Co-simulation model of ZQ4000/16/31 roadway advance support with bionic mechanism
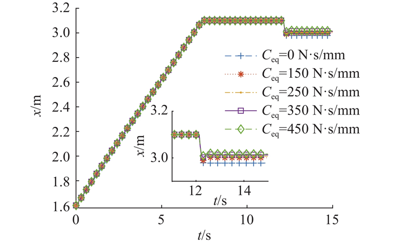
Fig.16 Comparison of impact displacements under different equivalent damping equivalent coefficients
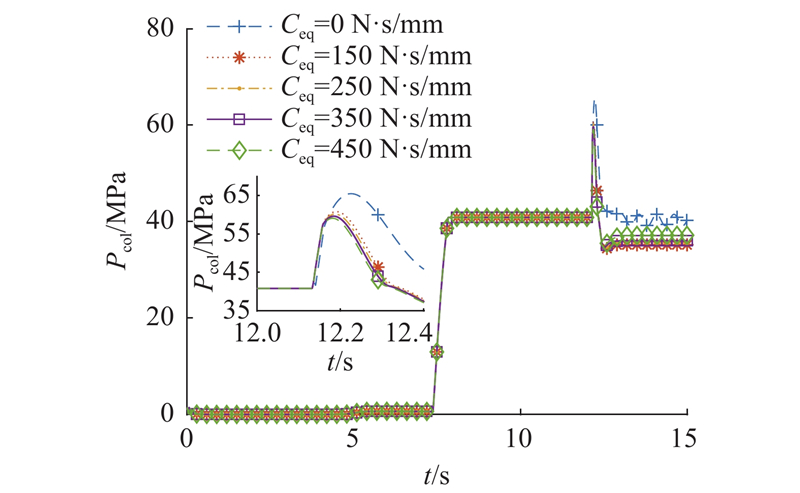
Fig.17 Comparison of maximum pressures in lower chamber of column after impact under different equivalent damping coefficients
Fig.18 Energy absorption of hydraulic support column under different equivalent damping coefficients
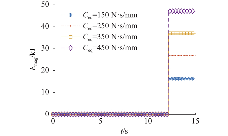
Fig.19 Energy absorption of magnetorheological damper under different equivalent damping coefficients
[1]   滕吉文, 乔勇虎, 宋鹏汉 我国煤炭需求、探查潜力与高效利用分析[J]. 地球物理学报, 2016, 59 (12): 4633- 4653
TENG Jiwen, QIAO Yonghu, SONG Penghan Analysis of exploration, potential reserves and high efficient utilization of coal in China[J]. Chinese Journal of Geophysics, 2016, 59 (12): 4633- 4653
doi: 10.6038/cjg20161224
[2]   谢和平, 吴立新, 郑德志 2025年中国能源消费及煤炭需求预测[J]. 煤炭学报, 2019, 44 (7): 1949- 1960
XIE Heping, WU Lixin, ZHENG Dezhi Prediction on the energy consumption and coal demand of China in 2025[J]. Journal of China Coal Society, 2019, 44 (7): 1949- 1960
[3]   王国法, 刘峰, 孟祥军, 等 煤矿智能化(初级阶段)研究与实践[J]. 煤炭科学技术, 2019, 47 (8): 1- 36
WANG Guofa, LIU Feng, MENG Xiangjun, et al Research and practice on intelligent coal mine construction (primary stage)[J]. Coal Science and Technology, 2019, 47 (8): 1- 36
[4]   窦林名, 田鑫元, 曹安业, 等 我国煤矿冲击地压防治现状与难题[J]. 煤炭学报, 2022, 47 (1): 152- 171
DOU Linming, TIAN Xinyuan, CAO Anye, et al Present situation and problems of coal mine rock burst prevention and control in China[J]. Journal of China Coal Society, 2022, 47 (1): 152- 171
[5]   王国法, 赵志礼 液压支架双伸缩抗冲击立柱动态分析[J]. 煤矿开采, 2010, 15 (2): 62- 65
WANG Guofa, ZHAO Zhili Dynamic analysis of double-telescopic prop against shocking in powered support[J]. Coal Mining Technology, 2010, 15 (2): 62- 65
doi: 10.3969/j.issn.1006-6225.2010.02.021
[6]   唐治, 潘一山, 朱小景, 等 液压立柱内外翻转式吸能防冲构件特性数值分析[J]. 中国安全生产科学技术, 2015, 11 (7): 74- 79
TANG Zhi, PAN Yishan, ZHU Xiaojing, et al Numerical analysis on properties of inside-outside overturning energy absorption and anti-impact components of hydraulic column[J]. Journal of Safety Science and Technology, 2015, 11 (7): 74- 79
doi: 10.11731/j.issn.1673-193x.2015.07.012
[7]   唐治, 潘一山, 韩雪峰, 等 矿用六边形折痕构件吸能防冲特性数值分析[J]. 安全与环境学报, 2015, 15 (5): 54- 58
TANG Zhi, PAN Yishan, HAN Xuefeng, et al Numerical analysis of the mining hexagonal crease components and their energy absorption and anti-impact features[J]. Journal of Safety and Environment, 2015, 15 (5): 54- 58
[8]   杨巨文, 唐治, 何峰, 等 矿用扩径式吸能构件吸能防冲特性研究[J]. 振动与冲击, 2015, 34 (8): 134- 138
YANG Juwen, TANG Zhi, HE Feng, et al Energy absorption and anti-impact properties of mine diameter-expanding energy absorption components[J]. Journal of Vibration and Shock, 2015, 34 (8): 134- 138
[9]   唐治, 潘一山, 朱小景, 等 自移式吸能防冲巷道超前支架设计与研究[J]. 煤炭学报, 2016, 41 (4): 1032- 1037
TANG Zhi, PAN Yishan, ZHU Xiaojing, et al Design and study of self-moving energy absorption and anti-impact roadway advanced support[J]. Journal of China Coal Society, 2016, 41 (4): 1032- 1037
[10]   马箫, 潘一山, 肖永惠, 等 诱导式防冲支护装置的屈曲吸能特性研究[J]. 中国安全生产科学技术, 2016, 12 (6): 42- 47
MA Xiao, PAN Yishan, XIAO Yonghui, et al Study on buckling energy-absorption properties of induced supporting device for rock burst prevention[J]. Journal of Safety Science and Technology, 2016, 12 (6): 42- 47
doi: 10.11731/j.issn.1673-193x.2016.06.008
[11]   唐治, 海丹凤, 潘一山, 等 矿用扩径式吸能防冲构件特性数值分析[J]. 辽宁工程技术大学学报: 自然科学版, 2017, 36 (3): 310- 315
TANG Zhi, HAI Danfeng, PAN Yishan, et al Numerical analysis on energy absorption and anti-impact properties of mine diameter expanding energy absorption components[J]. Journal of Liaoning Technical University: Natural Science, 2017, 36 (3): 310- 315
[12]   张建卓, 张佳林 吸能型防冲立柱液体冲击问题研究[J]. 振动与冲击, 2020, 39 (8): 51- 57
ZHANG Jianzhuo, ZHANG Jialin A study on liquid shock of energy-absorbing anti-impact hydraulic column[J]. Journal of Vibration and Shock, 2020, 39 (8): 51- 57
[13]   王成龙, 苗根远, 刘延玺, 等 基于磁流变缓冲的液压支架抗冲击技术研究[J]. 液压与气动, 2021, 45 (6): 33- 40
WANG Chenglong, MIAO Genyuan, LIU Yanxi, et al Anti shock support based on MR damper[J]. Chinese Hydraulics and Pneumatics, 2021, 45 (6): 33- 40
doi: 10.11832/j.issn.1000-4858.2021.06.006
[14]   邢运, 杨嘉陵 动物进化的抗冲击策略及其仿生机理研究[J]. 力学进展, 2021, 51 (2): 295- 341
XING Yun, YANG Jialing Research progress of impact-resistance strategies and biomimetic mechanism in animal evolution[J]. Advances in Mechanics, 2021, 51 (2): 295- 341
doi: 10.6052/1000-0992-20-027
[15]   宋勇, 车江轩, 孙大刚, 等 PAM仿袋鼠腿悬架仿真建模及垂向参数特性研究[J]. 太原科技大学学报, 2019, 40 (5): 401- 409
SONG Yong, CHE Jiangxuan, SUN Dagang, et al Modeling and vertical parameter characteristics study of PAM bionic kangaroo leg suspension[J]. Journal of Taiyuan University of Science and Technology, 2019, 40 (5): 401- 409
doi: 10.3969/j.issn.1673-2057.2019.05.013
[16]   宋勇, 刘世静, 李占龙, 等 基于Hill肌肉模型的仿袋鼠腿悬架控制特性研究[J]. 太原科技大学学报, 2023, 44 (5): 403- 409
SONG Yong, LIU Shijing, LI Zhanlong, et al Control characteristics study of bionic kangaroo leg suspension based on Hill muscle model[J]. Journal of Taiyuan University of Science and Technology, 2023, 44 (5): 403- 409
[17]   唐耀平, 宋勇 带有仿袋鼠腿结构的双横臂悬架建模及特性分析[J]. 建设机械技术与管理, 2019, 32 (1): 59- 61
TANG Yaoping, SONG Yong Modeling and characteristic analysis of a double-wishbone suspension with a bionic kangaroo leg structure[J]. Construction Machinery Technology and Management, 2019, 32 (1): 59- 61
[18]   宋勇, 刘林鑫, 李占龙, 等 含圆弧形缓冲结构的仿袋鼠腿悬架建模与行为特性研究[J]. 西安交通大学学报, 2021, 55 (9): 28- 38
SONG Yong, LIU Linxin, LI Zhanlong, et al Research on modeling and behavioral characteristics of bionic kangaroo leg suspension with circular arc-buffer structures[J]. Journal of Xi’an Jiaotong University, 2021, 55 (9): 28- 38
doi: 10.7652/xjtuxb202109004
[19]   郭靖, 李国富, 王飞 自动锁付机构夹头多响应优化设计[J]. 机械设计与研究, 2023, 39 (4): 89- 93
GUO Jing, LI Guofu, WANG Fei Multi-response optimization design of automatic locking mechanism chuck[J]. Machine Design and Research, 2023, 39 (4): 89- 93
[20]   王成龙, 吴鲁杰, 魏学谦, 等 一种新型引磁式磁流变阻尼器研究[J]. 振动与冲击, 2024, 43 (10): 248- 259
WANG Chenglong, WU Lujie, WEI Xueqian, et al New magneto-inducible magnetorheological damper[J]. Journal of Vibration and Shock, 2024, 43 (10): 248- 259
[21]   王群, 马继超, 朱雨睿, 等 磁流变阻尼器Bingham力学模型改进及参数辨识[J]. 机械设计与制造, 2024, (1): 10- 13
WANG Qun, MA Jichao, ZHU Yurui, et al Improvement of Bingham mechanical model of MRD and parameter identification[J]. Machinery Design and Manufacture, 2024, (1): 10- 13
doi: 10.3969/j.issn.1001-3997.2024.01.003
[22]   夏品奇, 岳海龙 磁流变阻尼器性能及振动控制[J]. 航空动力学报, 2004, 19 (3): 305- 309
XIA Pinqi, YUE Hailong Performance of magnetorheological damper with its application to vibration control[J]. Journal of Aerospace Power, 2004, 19 (3): 305- 309
doi: 10.3969/j.issn.1000-8055.2004.03.004
[23]   郭耀辉, 陈恩伟, 陆益民, 等 磁流变阻尼器等效线性阻尼系数计算[J]. 中国机械工程, 2014, 25 (13): 1719- 1723
GUO Yaohui, CHEN Enwei, LU Yimin, et al Calculation of equivalent linear damping coefficient of a magnetorheological damper[J]. China Mechanical Engineering, 2014, 25 (13): 1719- 1723
doi: 10.3969/j.issn.1004-132X.2014.13.004
[24]   DAWSON R S, WARBURTON N M, RICHARDS H L, et al Walking on five legs: investigating tail use during slow gait in kangaroos and wallabies[J]. Australian Journal of Zoology, 2015, 63 (3): 192
doi: 10.1071/ZO15007
[25]   成大先. 机械设计手册第五版[M]. 北京: 化学工业出版社, 2017: 3–194.
[1] Xiao-long WANG,Hai-feng LV,Jin-ying HUANG,Guang-pu LIU. Model-free feedforward/feedback control scheme for magnetorheological damper[J]. Journal of ZheJiang University (Engineering Science), 2022, 56(5): 873-878.
[2] Teng-yi HUANG,Jin ZHOU,Yan XU,Fan-xu MENG. Modeling of MR damper based on multi-field coupling analysis and influence of structural parameters[J]. Journal of ZheJiang University (Engineering Science), 2020, 54(10): 2001-2008.
[3] CHEN Zhao-hui, NI Yi-qing. Real-time damping-force tracking control of self-sensing magnetorheological dampers[J]. Journal of ZheJiang University (Engineering Science), 2017, 51(8): 1551-1558.