Please wait a minute...
Journal of ZheJiang University (Engineering Science)  2025, Vol. 59 Issue (12): 2483-2494    DOI: 10.3785/j.issn.1008-973X.2025.12.003
    
Upper-limb muscle fatigue assessment in overhead work based on Hammerstein model and surface electromyography
Yanpu YANG(),Zhihong WU,Wenhao MENG,Yueming ZHUO,Jialing LIU
Key Laboratory of Road Construction Technology and Equipment of MOE, Chang’an University, Xi’an 710064, China
Download: HTML     PDF(2062KB) HTML
Export: BibTeX | EndNote (RIS)      

Abstract  

A novel muscle fatigue assessment method integrating the Hammerstein model with surface electromyography (sEMG) signals was proposed, to address the effective identification of dynamic upper-limb muscle fatigue during overhead work. An overhead work experiment was designed to acquire sEMG signals from participants during sustained tasks, followed by signal preprocessing. The sEMG median frequency and root mean square were selected as the model input and output, respectively, to construct a nonlinear system based on the Hammerstein structure. Key model parameters were identified using recursive least squares with a forgetting factor combined with singular value decomposition. The K-means++ clustering algorithm was applied to perform unsupervised classification on the identified parameters, enabling differentiation of distinct fatigue levels. The electromyographic fatigue threshold (EMGFT) was further introduced to determine the exact onset time of muscle fatigue by integrating clustering results. Experimental results demonstrated that the method effectively captured the nonlinear dynamic characteristics of upper-limb muscles during overhead work. The clustering outcomes exhibit strong correlation with Borg CR10 subjective fatigue ratings, indicating good physiological interpretability. Combined with EMGFT analysis, the approach accurately characterized the progression of fatigue, providing a quantifiable technical pathway for upper-limb muscle fatigue monitoring in dynamic overhead work.



Key wordsoverhead work      upper-limb muscle fatigue assessment      Hammerstein model      surface electromyography (sEMG) signal      K-means++ clustering     
Received: 26 November 2024      Published: 25 November 2025
CLC:  TP 393  
Fund:  基础加强计划技术领域基金资助项目(2021-JCJQ-JJ-1018);长安大学中央高校基金资助项目(300102253107).
Cite this article:

Yanpu YANG,Zhihong WU,Wenhao MENG,Yueming ZHUO,Jialing LIU. Upper-limb muscle fatigue assessment in overhead work based on Hammerstein model and surface electromyography. Journal of ZheJiang University (Engineering Science), 2025, 59(12): 2483-2494.

URL:

https://www.zjujournals.com/eng/10.3785/j.issn.1008-973X.2025.12.003     OR     https://www.zjujournals.com/eng/Y2025/V59/I12/2483


基于Hammerstein模型和表面肌电的过头作业上肢肌肉疲劳评估

针对过头作业场景下上肢肌肉疲劳动态变化的有效识别问题,提出融合Hammerstein模型与表面肌电(sEMG)信号的新型肌肉疲劳评估方法. 通过设计过头作业实验获取被试者在持续作业过程中的sEMG信号并预处理,选取sEMG中位频率与均方根值分别作为模型输入与输出,构建基于Hammerstein结构的非线性系统模型. 采用带遗忘因子的递推最小二乘法结合奇异值分解辨识模型关键参数,利用K-means++聚类算法对辨识所得参数进行无监督分类,划分出不同疲劳等级. 进一步引入肌电疲劳阈值(EMGFT),结合聚类结果确定肌肉进入疲劳状态的具体时间. 实验验证显示,该方法可有效捕捉上肢肌肉在过头作业中的非线性动态特征;所提取参数的聚类结果与Borg CR10主观疲劳评分呈强相关性,表明其具备良好的生理意义解释能力;联合EMGFT分析可有效刻画疲劳发展进程,为动态过头作业中的上肢肌肉疲劳监测提供可量化的技术路径.


关键词: 过头作业,  上肢肌肉疲劳评估,  Hammerstein模型,  表面肌电(sEMG)信号,  K-means++聚类 
Fig.1 Hammerstein model structure
Fig.2 EMGFT calculation process
Fig.3 Overhead work platform
肌肉实验过程示意
斜方肌被试站姿,手臂伸直自然下垂,掌心朝内. 实验人员双手下按肩部,被试者用力抬肩5 s,记录肌电数据,完成一次MVC测量
肱桡肌被试者坐姿,前臂置于桌面,掌心朝下. 实验人员按住手背,被试腕关节用力抬起5 s,记录肌电数据,完成一次MVC测量
肱二头肌被试者坐姿,上臂平放桌面,前臂竖直,掌心向内. 实验人员双手拉住被试者前臂,被试者紧缩肱二头肌保持5 s,记录肌电数据,完成一次MVC测量
三角肌被试者站姿,手臂伸直抬起与身体垂直,掌心向下. 实验人员双手下按其大臂,被试者手臂努力保持原状态5 s,记录肌电数据,完成一次MVC测量
Tab.1 Experimental description of MVC
数值疲劳等级
0完全没有
0.5极其轻微,难以察觉
1非常轻微,没有作业压力
2轻微,感觉进入作业状态
3温和,上肢有少许酸
4稍稍强烈,开始出现轻微酸痛
5强烈,上肢开始轻微抖动,仍能完成作业
6~8非常强烈,上肢较强抖动,出现短暂无法完成作业
9极其强烈,已经处于极度疲劳,无法完成作业
10最大值,处于脱力状态
Tab.2 Borg CR10 subjective fatigue assessment scale
Fig.4 Overhead work experiment process
Fig.5 Comparison of before and after denoising for m4
被试者Pm/%
m1m2m3m4m5m6m7m8
114.9617.7810.6820.2112.387.359.886.76
215.2519.9910.9424.2110.457.895.236.04
314.6212.2012.2117.3115.0414.927.725.98
410.2513.3311.7227.9615.1311.475.664.48
510.3012.2712.6826.4312.7712.284.049.23
615.6015.7010.7317.8314.3312.337.156.33
79.2514.869.6321.9716.828.7710.528.18
817.4913.9213.3621.0814.714.479.335.64
915.0819.6112.7320.2515.145.466.685.05
1014.4514.2612.1815.5415.1410.1510.218.07
平均13.7315.3911.6821.2814.199.517.646.58
Tab.3 Muscle contribution rate of each channel
被试者R2
RMS-MFRMS-MPFIEMG-MFIEMG-MPFRMS-IEMGMF-MPF
1)注:*表示为p<0.05,**表示为p<0.01.
10.554**1)0.373*0.3410.3140.3100.321
20.514**0.414*0.3110.3320.352*0.325
30.536**0.434*0.368*0.357*0.3210.256
40.607**0.498*0.423*0.3120.3210.416*
50.621**0.409*0.482*0.387*0.3320.337
60.593**0.421*0.378*0.3260.394*0.407*
70.542**0.3170.411*0.3040.415*0.356*
80.575**0.403*0.498*0.386*0.391*0.315
90.578**0.432*0.394*0.3150.3250.346
100.569**0.411*0.437*0.3090.3240.362*
Tab.4 Determination coefficient R2 of different feature combinations
Fig.6 Parameter identification results
Fig.7 SSE change curve
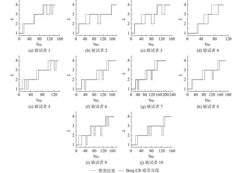
Fig.8 Clustering fatigue level
被试者皮尔逊相关系数被试者皮尔逊相关系数
1)注:**表示p<0.01
10.910**1)70.928**
20.861**80.901**
30.884**90.894**
40.919**100.911**
50.889**平均值0.904**
60.941**
Tab.5 Pearson correlation coefficient between fatigue segments and clustering results in group 65
Fig.9 Comparison between clustered fatigue levels and fatigue classification of group 65
Fig.10 Comparison analysis of fatigue grade, MF, RMS and each parameter
Fig.11 Overall fluctuation statistics of parameters a, b, and c at different fatigue stages
Fig.12 Pole change map
被试者EMGFT/s作业时间
预备疲劳轻度疲劳中度疲劳重度疲劳
152.79141.55346.89559.6912 min 11 s
241.69168.95280.42830.0515 min 18 s
332.91150.22254.58565.6313 min 18 s
4150.16175.49290.68410.6010 min 11 s
546.54151.51340.67537.5111 min 36 s
639.89163.90528.18647.7715 min 6 s
740.73166.93447.24738.2117 min 24 s
836.05119.29287.72576.9415 min 54 s
923.36110.11367.11707.5914 min 24 s
1063.42145.72344.16685.1213 min 30 s
Tab.6 Total time and EMGFT of each fatigue stage
因素SSMSFp
1) 注:**表示p<0.01
截距3461916.133461916.13597.110.000**1)
疲劳阶段1922927.24640975.75110.560.000**
被试者51665.355740.600.990.47
误差156539.455797.76
Tab.7 Intersubjective effects
[1]   REYES F A, SHUO D, YU H Shoulder-support exoskeletons for overhead work: current state, challenges and future directions[J]. IEEE Transactions on Medical Robotics and Bionics, 2023, 5 (3): 516- 527
doi: 10.1109/TMRB.2023.3275761
[2]   KWON Y J, KIM D H, SON B C, et al A work-related musculoskeletal disorders (WMSDs) risk-assessment system using a single-view pose estimation model[J]. International Journal of Environmental Research and Public Health, 2022, 19 (16): 9803
doi: 10.3390/ijerph19169803
[3]   FRASIE A, BERTRAND-CHARETTE M, COMPAGNAT M, et al Validation of the Borg CR10 Scale for the evaluation of shoulder perceived fatigue during work-related tasks[J]. Applied Ergonomics, 2024, 116: 104200
doi: 10.1016/j.apergo.2023.104200
[4]   CHIN J, HERLINA, IRIDIASTADI H, et al Workload analysis by using Nordic body map, Borg RPE and NIOSH manual lifting equation analyses: a case study in sheet metal industry[J]. Journal of Physics: Conference Series, 2019, 1424 (1): 012047
doi: 10.1088/1742-6596/1424/1/012047
[5]   ZHOU B, CHEN B, SHI H, et al SEMG-based fighter pilot muscle fatigue analysis and operation performance research[J]. Medicine in Novel Technology and Devices, 2022, 16: 100189
doi: 10.1016/j.medntd.2022.100189
[6]   徐兆, 吕健, 潘伟杰, 等 基于表面肌电信号和动作捕捉的上肢运动疲劳分析[J]. 生物医学工程学杂志, 2022, 39 (1): 92- 102
XU Zhao, LU Jian, PAN Weijie, et al Fatigue analysis of upper limb rehabilitation based on surface electromyography signal and motion capture[J]. Journal of Biomedical Engineering, 2022, 39 (1): 92- 102
[7]   LA DELFA N J, WHITTAKER R L, LOCKLEY R M E, et al The sensitivity of shoulder muscle fatigue to vertical hand location during complex manual force exertions[J]. International Journal of Industrial Ergonomics, 2022, 88: 103272
doi: 10.1016/j.ergon.2022.103272
[8]   YANG C, CÔTÉ J N Sex-specific effects of muscle fatigue on upper body kinematics and discomfort during a repetitive point task performed on a sit-stand stool[J]. International Journal of Industrial Ergonomics, 2021, 85: 103188
doi: 10.1016/j.ergon.2021.103188
[9]   MUSSO M, OLIVEIRA A S, BAI S Influence of an upper limb exoskeleton on muscle activity during various construction and manufacturing tasks[J]. Applied Ergonomics, 2024, 114: 104158
doi: 10.1016/j.apergo.2023.104158
[10]   刘光达, 董梦坤, 张守伟, 等 基于KPCA-SVM的表面肌电信号疲劳分类研究[J]. 电子测量与仪器学报, 2021, 35 (10): 1- 8
LIU Guangda, DONG Mengkun, ZHANG Shouwei, et al Research on fatigue classification of surface EMG signal based on KPCA and SVM[J]. Journal of Electronic Measurement and Instrumentation, 2021, 35 (10): 1- 8
[11]   ZHANG Y, CHEN S, CAO W, et al MFFNet: multi-dimensional Feature Fusion Network based on attention mechanism for sEMG analysis to detect muscle fatigue[J]. Expert Systems with Applications, 2021, 185: 115639
doi: 10.1016/j.eswa.2021.115639
[12]   STEINLEY D K-means clustering: a half-century synthesis[J]. British Journal of Mathematical and Statistical Psychology, 2006, 59 (1): 1- 34
doi: 10.1348/000711005X48266
[13]   ALMEIDA J A S, BARBOSA L M S, PAIS A A C C, et al Improving hierarchical cluster analysis: a new method with outlier detection and automatic clustering[J]. Chemometrics and Intelligent Laboratory Systems, 2007, 87 (2): 208- 217
doi: 10.1016/j.chemolab.2007.01.005
[14]   BAI E W, FU M. A blind approach to Hammerstein model identification [C]// 40th IEEE Conference on Decision and Control. Orlando: IEEE, 2002: 4794–4799.
[15]   LI Y, CHEN W, CHEN J, et al Neural network based modeling and control of elbow joint motion under functional electrical stimulation[J]. Neurocomputing, 2019, 340: 171- 179
doi: 10.1016/j.neucom.2019.03.003
[16]   ZHANG Z, CHU B, LIU Y, et al Multimuscle functional-electrical-stimulation-based wrist tremor suppression using repetitive control[J]. IEEE/ASME Transactions on Mechatronics, 2022, 27 (5): 3988- 3998
doi: 10.1109/TMECH.2022.3150301
[17]   杨坤, 宗国仁, 王伟 基于Hammerstein系统的航空发动机部件级辨识建模方法[J]. 海军航空大学学报, 2025, 40 (1): 133- 141,98
YANG Kun, ZONG Guoren, WANG Wei Modeling and identification method for aerospace engine components based on Hammerstein systems[J]. Journal of Naval Aviation University, 2025, 40 (1): 133- 141,98
[18]   HABETS L E, BARTELS B, DE GROOT J F, et al Motor unit reserve capacity in spinal muscular atrophy during fatiguing endurance performance[J]. Clinical Neurophysiology, 2021, 132 (3): 800- 807
doi: 10.1016/j.clinph.2020.11.044
[19]   杨铮, 王立玲, 马东 基于自回归模型表面肌电信号检测肌肉疲劳研究[J]. 中国生物医学工程学报, 2018, 37 (6): 673- 679
YANG Zheng, WANG Liling, MA Dong Detection of muscle fatigue based on sEMG signal with AR model[J]. Chinese Journal of Biomedical Engineering, 2018, 37 (6): 673- 679
[20]   CORVINI G, CONFORTO S A simulation study to assess the factors of influence on mean and median frequency of sEMG signals during muscle fatigue[J]. Sensors, 2022, 22 (17): 6360
doi: 10.3390/s22176360
[21]   张弼. 基于块状结构模型的非线性自适应控制方法研究 [D]. 沈阳: 东北大学, 2017.
ZHANG Bi. Research on nonlinear adaptive control methods for block-oriented models [D]. Shenyang: Northeastern University, 2017.
[22]   时振伟, 纪志成, 王艳 多元系统耦合带遗忘因子有限数据窗递推最小二乘辨识方法[J]. 控制与决策, 2016, 31 (10): 1765- 1771
SHI Zhenwei, JI Zhicheng, WANG Yan Coupled finite-data-window RLS identification approach with forgetting factors for multi-variate systems[J]. Control and Decision, 2016, 31 (10): 1765- 1771
[23]   牛惠祺, 张弼, 刘丽刚, 等 人体肌肉状态疲劳监测及其在外骨骼交互控制中的应用[J]. 生物医学工程学杂志, 2023, 40 (4): 654- 662
NIU Huiqi, ZHANG Bi, LIU Ligang, et al Human muscle fatigue monitoring method and its application for exoskeleton interactive control[J]. Journal of Biomedical Engineering, 2023, 40 (4): 654- 662
[24]   张慧芝, 张天骐, 方蓉, 等 基于SVD-K-means算法的软扩频信号伪码序列盲估计[J]. 系统工程与电子技术, 2024, 46 (1): 326- 333
ZHANG Huizhi, ZHANG Tianqi, FANG Rong, et al Blind estimation of pseudo-code sequence of soft spread spectrum signal based on SVD-K-means algorithm[J]. Systems Engineering and Electronics, 2024, 46 (1): 326- 333
[25]   方博儒, 仇大伟, 白洋, 等 表面肌电信号在肌肉疲劳研究中的应用综述[J]. 计算机科学与探索, 2024, 18 (9): 2261- 2275
FANG Boru, QIU Dawei, BAI Yang, et al Review of application of surface electromyography signals in muscle fatigue research[J]. Journal of Frontiers of Computer Science and Technology, 2024, 18 (9): 2261- 2275
[26]   周玉, 夏浩, 岳学震, 等 基于改进K-means的局部离群点检测方法[J]. 工程科学与技术, 2024, 56 (4): 66- 77
ZHOU Yu, XIA Hao, YUE Xuezhen, et al Local outlier detection method based on improved K-means[J]. Advanced Engineering Sciences, 2024, 56 (4): 66- 77
[27]   何恺伦, 吕健, 李林, 等 基于表面肌电与步态的外骨骼穿戴疲劳评测[J]. 浙江大学学报: 工学版, 2023, 57 (10): 2077- 2085
HE Kailun, LV Jian, LI Lin, et al Evaluation of exoskeleton wearing fatigue based on surface electromyography and gait[J]. Journal of Zhejiang University: Engineering Science, 2023, 57 (10): 2077- 2085
[28]   MOOKERJEE S, MCMAHON M J Electromyographic analysis of muscle activation during sit-and-reach flexibility tests[J]. Journal of Strength and Conditioning Research, 2014, 28 (12): 3496- 3501
doi: 10.1519/JSC.0000000000000607
[29]   SUN J, LIU G, SUN Y, et al Application of surface electromyography in exercise fatigue: a review[J]. Frontiers in Systems Neuroscience, 2022, 16: 893275
doi: 10.3389/fnsys.2022.893275
[30]   ZHANG Q, HAYASHIBE M, FRAISSE P, et al FES-induced torque prediction with evoked EMG sensing for muscle fatigue tracking[J]. IEEE/ASME Transactions on Mechatronics, 2011, 16 (5): 816- 826
doi: 10.1109/TMECH.2011.2160809
[31]   YANG Q, LI Y, LI Y, et al An adaptive Hammerstein model for FES-induced torque prediction based on variable forgetting factor recursive least squares algorithm[J]. IEEE Transactions on Neural Systems and Rehabilitation Engineering, 2024, 32: 1109- 1118
doi: 10.1109/TNSRE.2024.3371465
[1] Yanpu YANG,Wenhao MENG,Zhihong WU,Jialing LIU,Yueming ZHUO. Intermuscular coupling and collaboration of upper limb in overhead work[J]. Journal of ZheJiang University (Engineering Science), 2025, 59(11): 2269-2276.