工程设计学报, 2026, 33(2): 147-158 doi: 10.3785/j.issn.1006-754X.2026.05.213

机械设计理论与方法

基于证据理论的结构高维全场响应不确定性分析

赵越,,1, 张金鹤2,3, 智晋宁1

1.太原科技大学 机械工程学院,山西 太原 030024

2.湖南大学 机械与运载工程学院,湖南 长沙 410082

3.湖南大学 整车先进设计制造技术全国重点实验室,湖南 长沙 410082

Uncertainty analysis of high-dimensional full-field structural response based on evidence theory

ZHAO Yue,,1, ZHANG Jinhe2,3, ZHI Jinning1

1.School of Mechanical Engineering, Taiyuan University of Science and Technology, Taiyuan 030024, China

2.College of Mechanical and Vehicle Engineering, Hunan University, Changsha 410082, China

3.State Key Laboratory of Advanced Design and Manufacturing Technology for Vehicle, Hunan University, Changsha 410082, China

收稿日期: 2025-09-30   修回日期: 2025-11-30  

基金资助: 国家自然科学基金资助项目.  52505272
山西省基础研究计划资助项目.  202403021222198
太原科技大学科研启动资金资助项目.  20242016

Received: 2025-09-30   Revised: 2025-11-30  

作者简介 About authors

赵 越(1994—),男,讲师,博士,从事机械结构可靠性与不确定性分析等研究,E-mail:zhaoyue@tyust.edu.cn,https://orcid.org/0009-0000-3940-4772 , E-mail:zhaoyue@tyust.edu.cn

摘要

当结构存在复杂不确定性变量时,开展高维响应传播分析可能面临建模效率低与分析精度差等问题。基于此,提出了一种基于证据理论的结构高维响应不确定性快速分析方法。首先,依据证据变量的基本可信度分配,结合最优拉丁超立方采样技术,高效生成样本集;其次,采用主成分分析技术对结构高维全场响应进行降维处理,提取低维特征与特征向量,以降低建模复杂度;最后,利用极限学习机构建不确定性参数与低维特征之间的映射关系,进而预测输入变量对结构高维响应任意位置的不确定性传播结果。算例验证表明,对于高维时域响应与空间响应,所提出的方法均能有效量化结构响应中任意位置的不确定性分布,并在保证较高建模效率的同时实现高精度求解。所提出的方法能够显著降低高维全场响应不确定性分析的复杂度,为复杂工程结构的不确定性传播分析提供了一种有效的工具。

关键词: 结构不确定性 ; 证据理论 ; 极限学习机 ; 不确定性传播

Abstract

The propagation analysis of high-dimensional structural responses under complex uncertain variables is prone to problems such as low modeling efficiency and poor analytical accuracy. To address this issue, a rapid analysis method for high-dimensional structural response uncertainty based on evidence theory was proposed. Firstly, the basic probability assignment of evidence variables was utilized to generate sample sets efficiently via optimal Latin hypercube sampling.Secondly, principal component analysis was applied to reduce the dimensionality of the high-dimensional structural responses, extracting low-dimensional features and eigenvectors to decrease modeling complexity. Finally, an extreme learning machine was employed to construct the mapping relationship between the uncertainty parameters and the low-dimensional features, enabling the prediction of uncertainty propagation at any position of the high-dimensional responses with respect to the input variables. Validation through the examples demonstrated that the proposed method could effectively quantify the uncertainty distribution at arbitrary positions of both high-dimensional time-domain and spatial responses, achieving high accuracy with relatively high modeling efficiency. The proposed method can significantly reduce the complexity of uncertainty analysis for high-dimensional full-field responses and serve as an effective tool for uncertainty propagation analysis of complex engineering structures.

Keywords: structural uncertainty ; evidence theory ; extreme learning machine ; uncertainty propagation

PDF (4347KB) 元数据 多维度评价 相关文章 导出 EndNote| Ris| Bibtex  收藏本文

本文引用格式

赵越, 张金鹤, 智晋宁. 基于证据理论的结构高维全场响应不确定性分析[J]. 工程设计学报, 2026, 33(2): 147-158 doi:10.3785/j.issn.1006-754X.2026.05.213

ZHAO Yue, ZHANG Jinhe, ZHI Jinning. Uncertainty analysis of high-dimensional full-field structural response based on evidence theory[J]. Chinese Journal of Engineering Design, 2026, 33(2): 147-158 doi:10.3785/j.issn.1006-754X.2026.05.213

在复杂工程结构的设计与分析中,常常面临多源且多样的不确定性因素[1],如结构加工或装配过程中产生的几何误差、材料分散性导致的性能参数波动以及结构受到的随机外界载荷等[2]。以上不确定性因素的叠加与传播,会对结构整体的安全性和可靠性造成显著影响[3]。针对以上多源不确定性因素,相关学者提出了一系列量化方法对其进行表征[4],常采用概率模型和非概率模型两大类[5]。其中前者往往通过累积分布函数(cumulative distribution function, CDF)、概率密度函数或参数的各阶统计矩来表征[6],后者则通过区间、凸集模型、模糊集或证据理论进行表征[7]。在上述量化方法中,证据理论凭借其能够同时处理参数不确定性和不完备性的能力而得到广泛关注[8]。该方法通过基本可信度分配(basic probability assignment, BPA)来描述不确定性变量的分布形式,能够在变量概率信息不足的情况下有效开展参数的量化建模[9]。因此,基于证据理论,可以在一定程度上有效获取结构对不确定性参数响应的变化规律,进而为后续结构设计与可靠性评估提供有效依据[10]

当前,相关学者针对上述不确定性传播问题提出了一系列分析方法。其中,经典的蒙特卡洛模拟(Monte Carlo simulation, MCS)方法通过大量随机抽样模拟来获取结构响应的不确定性传播结果[11]。该方法具有严谨的数学理论基础和广泛的适用性,常常被用作不确定性传播分析的“基准方法”。然而,该方法通常需要大量的样本求解才能实现结果收敛[12]。在此背景下,一系列改进的分析方法被陆续提出。如:以泰勒展开技术为代表的局部展开法[13];以降维积分[14]和稀疏网格积分[15]为代表的数值积分法[16];以多项式混沌展开为代表的随机展开法[17];以一阶可靠性方法[18]和二阶可靠性方法[19]为代表的最可能失效点法。近年来,随着计算智能技术的快速发展,以数据驱动建模技术为代表的新方法成为提升不确定性传播分析效率的重要手段[20]。与传统方法相比,数据驱动建模技术通过在有限样本集上建立结构的近似模型,来实现对原系统的逼近,从而显著降低不确定性分析的计算开销[21]。相关学者利用人工神经网络[22]、径向基函数模型[23]、Kriging模型[24]等数据驱动技术实现了高效的不确定性传播分析。

以上的数据驱动方法在一定程度上提升了结构不确定性传播分析的效率。然而,对于结构高维响应的不确定性分析,现有方法仍面临一系列挑战。首先,结构高维响应通常表现为时间场或空间场中的高维数据分布,如动力学中的位移响应时间序列或静力学中的全场应力分布。上述的高维响应往往包含极高的维度,若直接对全场数以万计的时间节点或空间节点逐一开展不确定性传播分析,将导致建模所需的样本数量及计算复杂度急剧上升。同时,对于以上高维响应,其相邻时间节点或空间节点处的响应值并非独立,而具有强相关性。若忽略这种相关性而各自进行不确定性传播分析,不仅会造成巨大的信息冗余,还可能因未利用响应间的内在联系而使建模效率和预测精度下降。

针对以上难点问题,本研究提出一种基于证据理论的不确定性分析方法,以提高结构存在高维响应时的分析效率和预测精度,降低建模复杂度。首先,将证据理论作为不确定性变量建模的依据,并通过结合BPA及最优拉丁超立方采样(optimal Latin hypercube sampling, OLHS)实现样本集的高效获取;其次,采用主成分分析(principal component analysis, PCA)技术对全场高维响应进行降维与特征提取处理,有效删减建模过程中的冗余信息并降低建模的复杂程度;接着,通过引入极限学习机(extreme learning machine, ELM)技术构建不确定性参数与低维特征之间的映射关系,从而实现高维响应场任意位置处不确定性传播结果的高精度预测;最后,通过若干算例,来验证所提出方法分析结构高维响应不确定性传播的有效性。

1 基于证据理论的结构不确定性量化

在工程结构不确定性分析中,传统的概率理论要求为每个不确定性参数指定精确的分布形式。而在复杂的设计与分析场景中,可能存在样本数据不足、不确定性信息不完备等问题,以致难以采用传统的概率模型对结构进行准确建模。证据理论提供了一种有效的数学框架来对以上不确定性形式进行有效量化。其基本原理是通过BPA将不确定性信息置于变量的区间子集之中。在该过程中,首先考虑以下的识别框架Θ[25]

Θ=θ1, θ2, , θΓ

式中:θiθiθ=1, 2, , Γ为集合Θ中若干个可能区间。

Θ的幂集即所有子集的集合记为2Θ。此时,即可定义一个满足以下若干条件的映射函数m作为BPA:

mA0, A2Θ
m=0
A2ΘmA=1

式中:m A即为集合A的BPA,表示直接支持A的证据程度。

在此情况下,在2Θ中所有满足m A≥0的子集称为焦元。焦元即为证据不确定性参数量化过程中的基本测度单位。

在实际工程结构的分析中,一般通过一个具有固定概率值的封闭区间表示焦元。此时,Θ即为不确定性参数的整体分布区间,而A则为其中有限个数的子区间,BPA即为A的概率分配。相较于传统的概率量化方法,证据理论对不确定性参数的量化形式更为灵活。随着样本数量与信息的进一步减少或增加,基于证据理论的结构可相应近似转换为区间或概率密度函数的形式。在本节中,通过贝叶斯结构的BPA来对不确定性参数进行量化。此时,假设存在2个独立不确定性变量pq,则其对应的识别框架D为:

D=P×Q=dj, kI=pjI×qkI, pjIP, qkIQ

式中:PQ分别为对应2个独立参数的识别框架;dj, kID内的一个联合焦元,I指代区间;pIjqIk 分别为第jP内的焦元与第kQ内的焦元。

此时,该识别框架及其内部的各联合焦元均为矩形。每个联合焦元的BPA可通过式(6)求得:

mdj, kI=maajImbbkI,   aIA, bIB0,                               其他

式中:aIj、bIk 分别为独立一维变量ab的焦元。

在以上二维识别框架的基础上,可进一步获取高维不确定性变量的BPA:

mA=ma1Ima2ImasI,  A=a1a2as0,                                             其他

式中:aiaIia=1, 2, , s为结构s维不确定性参数的焦元。

在开展结构不确定性传播分析时,设系统函数g[26]

y=gx

式中: x 为包含s维不确定性参数的输入, y 为结构响应。

若采用传统的不确定性传播分析方法,需要对 x 中由多个独立单维度变量组合而成的高维焦元进行逐个分析,当s较大时可能导致“维数爆炸”问题。同时,当结构响应 y 不再是一个单维变量而是结构高维全场响应时,以随机展开为代表的分析方法也需要针对高维响应中的各位置进行逐个分析,从而极大增大了建模复杂度。

2 结构高维全场响应不确定性分析流程

针对以上难点问题,本文提出了结构高维全场响应的不确定性分析方法,称为高维不确定性传播(high-dimensional uncertainty propagation, HDUP)方法。该方法主要包括样本集获取、全场响应的特征提取、不确定性传播分析模型构建和分析结果获取四个部分,具体流程如图1所示。

图1

图1   HDUP方法流程

Fig.1   Flowchart of HDUP algorithm


2.1 样本集获取

本文所使用的证据理论主要用于不确定性传播分析中的参数量化,而不是用于可靠性分析中参数在失效函数下的可信度与似真度描述,因此,不确定性参数可以看作由识别框架内若干子区间及其对应的概率构成的近似分布形式。在此情况下,参数在各个子区间内的分布概率不相同,因此在构建样本集时,也应基于其分布形式进行采样,以保证样本的高效利用。本研究通过结合BPA与OLHS[26]来生成样本集。

采用传统的OLHS方法可以保证样本点在设计空间内尽可能均匀地生成。首先,考虑在[0, 1]空间包含n个样本的训练集Xu=x1u, x2u, , xnu,其中,xηu=xη1u, xη2u, , xηsuT为训练集中第ηs维度的样本。此时两样本xηuxζu之间的欧氏距离为:

dxηu, xζu=id=1sxηidu-xζidu21/2

通过计算Xu中全部样本之间可能的欧氏距离,即可获取距离向量d=d1, d2, , dτT与对应的指标向量γ=γ1, γ2, , γτT。其中:γiγiγ=1, 2, , τ为以升序排列的diγ出现的总次数,τ为非重复距离的总个数。在此基础上,OLHS方法基于L2准则生成样本,即保证模型在整个实验区域内预测值的方差尽可能小且均匀。该准则可通过对式(10)中的Gξ 进行最小化求解来实现,随后即可获取在[0, 1]空间内尽可能均匀分布的样本集。

GξXu=iG=1τγiGdiG-ξ1/ξ

式中:ξ为一个常数。

然而,在不确定性传播问题中,OLHS方法并未考虑样本的分布形式。因此,本研究进一步引入以下的转换形式,将样本集转换为与变量识别框架中BPA一致的形式:

xinΨ=FΨ-1xinΨ(u);in=0, 1, , n;Ψ=1, 2, , s

式中:FΨ-1为变量xΨ对应的逆CDF值。

对于以证据变量表征的不确定性变量,FΨ可通过式(12)近似获取:

FΨ=ic=1ϕmicΨFicΨ

式中:ϕxΨ识别框架内的焦元个数,micΨxΨ中第ic 个焦元对应的BPA,FicΨ可通过式(13)求得。

FicΨ=0,xΨ<aicΨxΨ-aicΨbicΨ-aicΨ,aicΨ<xΨ<bicΨ1,xΨ>bicΨ

式中:aicΨbicΨxΨ中第ic 个焦元区间的边界。

相应地,FΨ-1可借助线性插值表示为:

FΨ-1R=aχΨ+bχΨ-aχΨR-FΨaχΨFΨbχΨ-FΨaχΨ

式中:χ为使式(15)成立的最小值。

iχ=1χmiχR

式(15)的物理意义在于,通过累积BPA值,定位了概率R在证据变量识别框架中所属的具体焦元。等式左边代表了累积到第χ个焦元的总可信度。因此,该条件等价于寻找一个最小的焦元索引χ,使得累积可信度能够覆盖从OLHS中产生的随机概率R。这一定位过程确保了生成的样本点xΨ会以正确的概率落在其对应的焦元区间内,从而确保采样分布与初始设定的证据结构一致。此时,基于式(11)生成的训练集即可保证样本在服从证据结构的基本形式下尽可能地在设计空间内均匀分布,进而提升了后续不确定性分析建模时的样本利用效率。

2.2 全场响应的特征提取

本文主要通过PCA方法[27]将高维全场响应结果转换为一系列低维度的特征与对应的特征向量。PCA是工程分析领域广泛使用的降维与特征提取方法,其核心原理是通过构建一个超平面将高维数据在正交空间内合理表征。其优势在于能够充分利用高维响应数据内部固有的相关性,仅通过少量关键特征即可对超高维度全场响应进行有效表征。为了实现上述目标,所建立的超平面需要满足以下2个特征,即:样本在超平面上的投影尽可能分散,且样本与超平面之间的距离尽可能小。在此背景下,考虑基于式(11)生成训练集X=x1, x2, , xn,其中,xix=x1, x2, , xsTix=1, 2, , n。此时, X 对应的结构高维全场响应集 Y 可表示为:

Y=y1, y2, , yn=yr1, x1yr1, x2yr1, xnyr2, x1yr2, x2yr2, xnyrM, x1yrM, x2yrM, xn

式中:rir ir=1, 2, , M为全场响应的节点,M为节点总数。例如:对于动力学分析中的时域信号,rir为各时间节点的位置;对于力学分析中的应力场,rir为各空间节点的位置。相应地,yrir, xix为训练集中第ix个样本下结构在rir位置处的响应结果。

此时,训练集 Y 中的全场响应均值为:

μy=1nin=1nyin

中心化后的响应Yc=yc1, yc2, , ycn可通过式(18)得到:

ycin=yin-μy

此时,即有in=1nycin=0

假设基于PCA方法获取的Yc的投影超平面为V=v1, v2, , vW,其中viviv=1, 2, , W为正交向量,即viv2=1viv1Tviv2=0 iv1iv2。此时,YcV 上的投影即为VTYc,且投影样本的方差为in=1nVTycinycinTV。为了使投影样本尽可能分散,以满足PCA的基本原则,应当最大化上述方差值,即[27]

maxVtrVTYcYcTVs.t.VTV=I

通过引入拉格朗日乘子法,可将式(19)表示为:

YcYcTviv=λivviv

通过对YcYcT进行特征值分解,即可获取以下若干特征向量:λ1λ2λε。此时,对应前ε' ε'<ε个特征值的向量V'=v1, v2, , vε'即为PCA超平面对应的正交向量。

根据以上流程即可实现对 Y 的降维,即首先获取中心化的响应矩阵 Yc,并对YcYcT进行特征值分解。降维后的维度ε'应当被预先定义,或者基于特征向量的贡献程度进行截断求解:

iε'=1ε'λiε'iε=1ελiεκ

式中:κ为预先定义的截断贡献率,在本研究中取κ=99.9%

相应地, Y 降维后对应的特征值矩阵Z=z1, z2, , zn中的各向量为:

zin=VTyin-μy

至此,具有ε维度的全场响应即被转换为具有ε'维度的低维特征。对于工程结构的全场高维响应数据,在不同的节点位置处往往存在高度的相关性信息,使得降维后的维度ε'远小于ε。因此,构建不确定性参数与低维特征的映射模型时,其建模复杂程度将远低于直接针对全场响应各节点的建模分析。

2.3 不确定性传播分析模型构建与分析结果获取

完成高维全场响应的降维之后,即可构建不确定性变量 x 到低维度特征向量 z 之间的映射模型。由于降维后特征值向量 z 仍然为多维输出结果,应选择多输入多输出数据驱动模型以实现结构的有效预测。本研究引入ELM模型[28]进行建模。

ELM是一种单隐藏层前馈神经网络的训练技术。相较于传统的梯度下降训练法,ELM通过随机初始化权重和偏置系数来获取更高的训练速度与泛化能力。 xz 之间的映射关系可表示为[28]

z˜x=l=1Lβlhlx=Hxβ

式中:β=β1, β2, , βlT为隐藏层与输出层之间的权重系数,H=h1x, h2x, , hlx为单隐藏层响应结果,L为隐藏层节点个数。

hlx=ρwl, tl, x=ρwlx+tl

式中:wltl分别为隐藏层的权重和偏置系数,ρ为激活函数。

在工程中广泛使用的sigmoid形式的激活函数为:

ρx=11+e-x=ex1+ex

此时,通过确定权重向量 w 、偏置系数向量 tβ 即可实现ELM的构建。ELM的核心特点是通过任意连续随机初始化 wt,并通过 β=HT 的形式获取 β其中, T=ZTHH 的Moore-Penrose广义逆。即当 HTH 可逆时,存在:

H=HTH-1HT

至此,即完成了 xz 之间映射关系的构建。由式(22)可得:

y˜=μy+Vzx

式(23)代入式(27),可得:

y˜=μy+VHxβ

即可通过 xz 之间的映射关系以及PCA降维所对应的逆线性变换,获取任意给定参数下高维全场响应的近似解结果y˜。若需获取全场任意位置ω处的结构响应,即可将式(24)代入式(28),求得:

y˜ω=μω+iε=1εvωiεl=1LβiεlρwlTx+tl

至此,即可基于式(29)获取任意不确定性参数 x 下结构高维全场任意位置处的响应结果,即完成了对复杂高维结构与系统函数的数据驱动建模,从而可以在此模型的基础上通过MCS方法获取 x 基于证据理论的全场响应不确定性传播分析结果。

3 算例与讨论

本节将通过1个桁架结构的高维时间场响应以及2个工程结构的高维空间场响应,验证本文提出的HDUP方法的效率与预测精度。同时,还将基于传统的MCS方法以及结构响应场不确定性传播方法(uncertainty quantification for structural response field,UQSRF)[27],对其获取的结果开展对比分析。3种方法的应用实验在相同的计算平台上进行,其运行环境为64位Windows 11系统,硬件条件:CPU,I7-13700;RAM,32GB。

3.1 桁架结构的高维时间场响应不确定性分析

所研究的桁架结构如图2所示[25]。在其Ft处施加一竖直向下的随机载荷,并以Rt处的时域位移结果作为结构响应。该响应为一个200维度下的高维时间场结果。同时,考虑结构中存在的3个不确定性参数:弹性模量Et、材料密度Dt及杆件横截面积At。基于文献[25]的参数定义,其量化形式如表1所示。

图2

图2   桁架结构

Fig.2   Truss structure


表1   桁架结构不确定性参数量化形式

Table 1  Quantitative forms of uncertainty parameters in truss structure

EtDtAt
焦元/1011PaBPA焦元/(103kg/m3)BPA焦元/cm2BPA
[1.82, 1.83]0.10[7.85, 7.90]0.05[1.60, 1.61]0.25
[1.83, 1.84]0.25[7.90, 7.95]0.20[1.61, 1.62]0.40
[1.84, 1.85]0.40[7.95, 8.00]0.40[1.62, 1.63]0.20
[1.85, 1.86]0.20[8.00, 8.05]0.25[1.63, 1.64]0.10
[1.86, 1.87]0.05[8.05, 8.10]0.10[1.64, 1.65]0.05

新窗口打开| 下载CSV


基于HDUP方法开展不确定性传播分析,以量化以上结构不确定性参数对结构高维全场时域响应的影响。首先,根据2.1节中的采样方法,共生成30个样本点以开展后续的建模与分析。基于动力学有限元分析与求解获得30组高维响应集,并通过2.2节中的方法进行特征提取。此时,仅需保留3个有效特征即可实现99.9%的PCA贡献保留。相较于原本200维度的响应数据,有效降低了建模与传播分析的复杂程度。最后,可基于输入样本集与低维特征构建用于不确定性传播分析的ELM模型。

为了验证HDUP方法的预测精度,采用传统MCS方法开展相关分析。调用107个样本进行求解,对时间场中每一节点处的响应结果进行统计,以获取全场各节点响应分析结果的均值与标准差。在MCS求解结果的基础上,首先对特征截断方法的收敛性进行评估。在不同的特征保留数量下,分别对全场各节点响应分析结果的均值和标准差求解其决定系数Rt2,结果如图3所示。可见,基于式(21)所示的截断方法,在保留3个有效特征的情况下,全场响应结果均值和标准差的Rt2值均已达到0.99以上,验证了所提出截断方法的收敛性。

图3

图3   桁架结构特征截断与响应结果收敛情况

Fig.3   Feature truncation and response result convergence of truss structure


为了进一步验证HDUP方法相较于其他已有算法在精度方面的提升,同时采用UQSRF方法进行对比分析。UQSRF方法采用相同数量的样本,则各方法所获取的节点位移δt的均值Mt和标准差Dt分别如图4图5所示。

图4

图4   桁架结构时间场响应均值

Fig.4   Mean of time-domain response of truss structure


图5

图5   桁架结构时间场响应标准差

Fig.5   Standard deviation of time-domain response of truss structure


图4可知,3种方法对时间场响应均值的预测结果很接近。由图5可知,HDUP方法所获取的时间场响应的标准差与MCS方法十分接近,UQSRF方法所预测的标准差则存在一定误差。

同时,为了展示HDUP方法在时间场任意节点处的量化能力,选取6个时间节点进行分析。通过式(29)求解,得到了各时间节点的CDF值,如图6所示。由图可知:对于该结构,HDUP方法在整个时间场以及特定节点处都具有较高的预测精度;基于相同样本数量建模的UQSRF方法仅在部分节点处(如t=0.02 s)具有可接受的预测精度。

图6

图6   桁架结构特定时间节点处的响应

Fig.6   Response of truss structure at specific time nodes


3.2 机器人关节的高维位移响应场不确定性分析

所研究的机器人关节如图7所示[27]。其底端固定,上部连接面处受到推力pr1和扭力pr2的作用。其中,推力在面上是均布的,而扭力在连接面左侧为正向,右侧为负向。分析机器人关节结构参数和外部载荷参数的不确定性对其形变的影响,对于机器人整体定位精度的量化具有重要意义。

图7

图7   机器人关节

Fig.7   Joint of robot


以机器人关节结构的弹性模量Er、泊松比νr、推力pr1和扭力pr2作为不确定性参数。基于文献[27],各参数的量化形式如表2所示。通过有限元分析方法对任意一组变量下的结构形变开展分析,其响应场共包含6 607维度的不重合非共节点位移响应。基于本文的采样方法获取40组训练样本,并进行降维与特征提取。根据式(21)所示的截断方法,仅需4个低维特征即可保留99.9%的截断贡献,从而极大提升了高维不确定性传播分析的效率。最后,基于ELM模型构建不确定性参数与4个低维度特征之间的映射关系,从而实现全场响应的不确定性传播分析。

表2   机器人关节结构不确定性参数量化形式

Table 2  Quantitative forms of uncertainty parameters in robot joint structure

Erνrpr1pr2
焦元/1011PaBPA焦元BPA焦元/103PaBPA焦元/103PaBPA
[1.96, 1.97]0.10[0.25, 0.26]0.05[40, 41]0.10[18.0, 18.5]0.05
[1.97, 1.98]0.20[0.26, 0.27]0.20[41, 42]0.20[18.5, 19.0]0.10
[1.98, 1.99]0.30[0.27, 0.28]0.40[42, 43]0.30[19.0, 19.5]0.15
[1.99, 2.00]0.25[0.28, 0.29]0.25[43, 44]0.25[19.5, 20.0]0.25
[2.00, 2.01]0.10[0.29, 0.30]0.10[44, 45]0.10[20.0, 20.5]0.35
[2.01, 2.02]0.05[45, 46]0.05[20.5, 21.0]0.10

新窗口打开| 下载CSV


为了验证截断方法的收敛性,同样基于传统MCS方法开展分析。在调用106个样本进行求解的基础上,对空间场中每一节点处的响应结果进行统计。在不同的特征保留数量下,全场响应预测结果均值和标准差的决定系数Rr2值如图8所示。可见,在保留4个有效特征的情况下,Rr2值均已达到0.99以上,验证了截断方法的收敛性。基于上述流程获取结构全场形变δr的均值Mr和标准差Dr,并与MCS分析结果进行对比,分别如图9图10所示。由图可知,通过2种方法获取的全场形变响应的均值与标准差十分接近。

图8

图8   机器人关节结构特征截断与响应结果收敛情况

Fig.8   Feature truncation and response result convergence of robot joint structure


图9

图9   机器人关节位移响应均值

Fig.9   Mean of displacement response of robot joint


图10

图10   机器人关节位移响应标准差

Fig.10   Standard deviation of displacement response of robot joint


同时,为了验证HDUP方法在各个节点位置处响应不确定性预测的精度,基于文献[27],选取了如图7所示的6个关键节点,通过式(29)获取了各节点处形变响应的CDF值。此外,本节同样引入UQSRF方法开展各节点传播预测精度的对比,结果如图11所示。由图可知,HDUP方法与MCS方法获取的结果十分接近,UQSRF方法则存在一定的误差。因此,对于该工程结构的空间场不确定性传播分析,HDUP方法具有较高的预测精度与建模效率。

图11

图11   机器人关节结构特定空间节点处的响应

Fig.11   Response of robot joint structure at specific spatial nodes


3.3 涡轮叶片高维应力响应场不确定性分析

所研究的喷气式发动机涡轮叶片如图12所示[26]。该涡轮叶片通常工作在高温高压环境中,内部设有冷却管道使得冷空气从中通过,以保证其温度保持在材料性能允许的范围内。分析叶片结构参数和外部载荷参数的不确定性对其热应力的影响,对于保证叶片正常工作具有重要意义。

图12

图12   喷气式发动机涡轮叶片

Fig.12   Turbine blade of jet engine


基于文献[27],共选取以下10个对高维响应具有显著影响的不确定性参数:弹性模量Eb、泊松比νb、压力侧压力pb1,吸力侧压力pb2,热膨胀系数αb热导率K、冷却管道对流系数Kc、吸力侧对流系数Ks、冷却管道温度tc和外环境温度to。各参数量化形式如表3所示[27]

表3   涡轮叶片结构不确定性参数量化形式

Table 3  Quantitative forms of uncertainty parameters in turbine blade structure

Ebνbpb1
焦元/1011PaBPA焦元BPA焦元/105PaBPA
[1.98, 1.99]0.05[0.290, 0.295]0.15[4.7, 4.8]0.10
[1.99, 2.00]0.15[0.295, 0.300]0.20[4.8, 4.9]0.20
[2.00, 2.01]0.35[0.300, 0.305]0.40[4.9, 5.0]0.40
[2.01, 2.02]0.25[0.305, 0.310]0.20[5.0, 5.1]0.20
[2.02, 2.03]0.15[0.310, 0.315]0.05[5.1, 5.2]0.10
[2.03, 2.04]0.05
pb2αbK
焦元/105PaBPA焦元/(1/K)BPA焦元/[W/(m·K)]BPA
[4.7, 4.8]0.10[11.85, 11.90]0.10[11.0, 11.2]0.05
[4.8, 4.9]0.20[11.90, 11.95]0.20[11.2, 11.4]0.15
[4.9, 5.0]0.40[11.95, 12.00]0.30[11.4, 11.6]0.30
[5.0, 5.1]0.20[12.00, 12.05]0.25[11.6, 11.8]0.20
[5.1, 5.2]0.10[12.05, 12.10]0.10[11.8, 12.0]0.15
[12.10, 12.15]0.05[12.0, 12.2]0.10
[12.2, 12.4]0.05
KcKstcto
焦元/[W/(m2·℃)]BPA焦元/[W/(m2·℃)]BPA焦元/102BPA焦元/102BPA
[34.0, 34.2]0.05[44.0, 44.2]0.05[1.2, 1.3]0.1[8.0, 8.5]0.1
[34.2, 34.4]0.10[44.2, 44.4]0.15[1.3, 1.4]0.2[8.5, 9.0]0.3
[34.4, 34.6]0.15[44.4, 44.6]0.30[1.4, 1.5]0.4[9.0, 9.5]0.4
[34.6, 34.8]0.20[44.6, 44.8]0.20[1.5, 1.6]0.3[9.5, 10.0]0.2
[34.8, 35.0]0.30[44.8, 45.0]0.15
[35.0, 35.2]0.15[45.0, 45.2]0.10
[35.2, 35.4]0.05[45.2, 45.4]0.05

新窗口打开| 下载CSV


在该工程算例中,通过有限元分析与计算产生了100组样本,每组样本包含的应力场响应维度为21 252。通过降维和截断可知,仅需9个低维特征即可保留对原高维数据99.9%的截断贡献,从而有效降低了后续建模与传播分析的难度。截断方法的收敛性验证如图13所示。选取9个低维特征时全场响应结果均值和标准差的决定系数Rb2值均已达到0.99以上。

图13

图13   涡轮叶片结构特征截断与响应结果收敛情况

Fig.13   Feature truncation and response result convergence of turbine blade structure


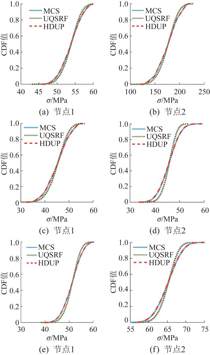
基于上述流程得到结构应力场响应σ的均值Mσ 和标准差Dσ,并与基于106次抽样的MCS分析结果进行比较,结果如图14图15所示。同时,为了验证HDUP方法在结构特定位置处的传播分析精度,选择了图12所示的6个节点[27],通过式(29)获取了各节点处的应力响应CDF值,并基于相同样本数量开展UQSRF方法对比分析,结果如图16所示。

图14

图14   涡轮叶片应力响应均值

Fig.14   Mean of stress response of turbine blade


图15

图15   涡轮叶片应力响应标准差

Fig.15   Standard deviation of stress response of turbine blade


图16

图16   涡轮叶片结构特定空间节点处的响应

Fig.16   Response of turbine blade structure at specific spatial nodes


图14图16可知:对于该结构,通过HDUP方法获取的应力场响应均值、标准差以及各节点处的CDF值均与MCS结果十分接近;在相同的样本数量下,HDUP方法相较UQSRF方法具有更高的预测精度。由此说明,HDUP方法可以在较高建模效率下实现高精度的全场不确定性传播分析。

4 结 论

本研究提出了一种基于证据理论的结构高维全场响应不确定性分析方法。相较于传统不确定性传播分析方法,所提出的HDUP方法可以实现高维度时间场与空间场响应的降维以及特征提取,有效解决了高维全场响应因维度极高、节点间相关性强而建模复杂与计算成本高昂等问题,降低了不确定性传播分析的复杂程度。同时,通过引入ELM方法,可有效构建不确定性参数与低维特征之间的映射关系,从而保证不确定性分析结果的精度。

本文通过1个桁架结构的时间场和2个工程结构空间场的分析,验证了HDUP方法分析高维响应不确定性传播的效率与精度。HDUP方法可有效实现全场响应任意位置处的不确定性量化,且具有较高的建模效率。因此,HDUP方法可作为复杂结构不确定分析的一个有效工具。

本研究的局限性主要包含以下两方面:首先,仅针对于单一类型的不确定性输入变量进行了研究,而在部分复杂工程结构分析问题中,可能同时面临概率与非概率量化的高维度不确定性参数;其次,在部分结构动力学不确定性传播分析问题中,可能涉及时间场与空间场耦合的情况,使得传播分析面临强非线性问题。因此,未来的研究方向主要聚焦于多种量化形式下的高维度输入以及强非线性系统的传播分析。


本文链接:https://www.zjujournals.com/gcsjxb/CN/10.3785/j.issn.1006-754X.2026.05.213

参考文献

BI SBEER MCOGAN Set al.

Stochastic model updating with uncertainty quantification: an overview and tutorial

[J]. Mechanical Systems and Signal Processing, 2023204110784.

[本文引用: 1]

CAO L XLIU JXIE Let al.

Non-probabilistic polygonal convex set model for structural uncertainty quantification

[J]. Applied Mathematical Modelling, 202189504-518.

[本文引用: 1]

HÜLLERMEIER EWAEGEMAN W.

Aleatoric and epistemic uncertainty in machine learning: an introduction to concepts and methods

[J]. Machine Learning, 20211103): 457-506.

[本文引用: 1]

毛晨洋赵岩刘凡.

路面不平顺作用下具有不确定参数车辆系统随机振动分析

[J]. 振动工程学报, 2025389): 1967-1976. doi:10.16385/j.cnki.issn.1004-4523.202307022

[本文引用: 1]

MAO C YZHAO YLIU F.

Random vibration analysis of vehicle systems with uncertain parameters under the action of road roughness

[J]. Journal of Vibration Engineering, 2025389):1967-1976.

DOI:10.16385/j.cnki.issn.1004-4523.202307022      [本文引用: 1]

马正琰欧阳衡郝志杰.

基于聚类椭球模型的机械系统不确定性分析方法

[J]. 工程设计学报, 2025322): 141-150.

[本文引用: 1]

MA Z YOUYANG HHAO Z Jet al.

Uncertainty analysis method for mechanical system based on multi-cluster ellipsoidal model

[J]. Chinese Journal of Engineering Design, 2025322): 141-150.

[本文引用: 1]

WU J HZHANG D QLIU Jet al.

A moment approach to positioning accuracy reliability analysis for industrial robots

[J]. IEEE Transactions on Reliability, 2019692): 699-714.

[本文引用: 1]

乔心州李佳辉方秀荣.

一种结构不确定性分析的新型非概率凸集模型

[J]. 固体力学学报, 2025462): 257-274.

[本文引用: 1]

QIAO X ZLI J HFANG X Ret al.

A new type of non-probabilistic convex model for structural uncertainty analysis

[J]. Chinese Journal of Solid Mechanics, 2025462):257-274.

[本文引用: 1]

WANG X DSONG Y F.

Uncertainty measure in evidence theory with its applications

[J]. Applied Intelligence, 2018487): 1672-1688.

[本文引用: 1]

SHAH HHOSDER SWINTER T.

A mixed uncertainty quantification approach using evidence theory and stochastic expansions

[J]. International Journal for Uncertainty Quantification, 201551):21-48.

[本文引用: 1]

LI ZCAO L XHUO M Set al.

Evidence-based uncertainty quantification for bending properties of bimetal composites

[J]. Applied Mathematical Modelling, 202312159-74.

[本文引用: 1]

ZHANG J X.

Modern Monte Carlo methods for efficient uncertainty quantification and propagation: a survey

[J]. Wiley Interdisciplinary Reviews: Computational Statistics, 2021135): e1539.

[本文引用: 1]

HOU T FNUYENS DROELS Set al.

Quasi-Monte Carlo based uncertainty analysis: sampling efficiency and error estimation in engineering applications

[J]. Reliability Engineering & System Safety, 2019191106549.

[本文引用: 1]

GU M HCHO CCHU H Yet al.

Uncertainty propagation on a nonlinear measurement model based on Taylor expansion

[J]. Measurement and Control, 2021543/4): 209-215.

[本文引用: 1]

WANG TLU D GTAN Y Q.

Refined dimension-reduction integration method for uncertainty propagation in stochastic systems: estimation of statistical moments

[J]. Reliability Engineering & System Safety, 2025256110753.

[本文引用: 1]

REHME M FFRANZELIN FPFLÜGER D.

B-splines on sparse grids for surrogates in uncertainty quantification

[J]. Reliability Engineering & System Safety, 2021209107430.

[本文引用: 1]

XIE H CLI J WLIU H Bet al.

An efficient uncertainty propagation analysis method of non-parameterized P-boxes based on dimension-reduction integral and maximum entropy estimation

[J]. Structural and Multidisciplinary Optimization, 20236612): 258.

[本文引用: 1]

WANG L QYANG G L.

An interval uncertainty propagation method using polynomial chaos expansion and its application in complicated multibody dynamic systems

[J]. Nonlinear dynamics, 20211051): 837-858.

[本文引用: 1]

LUO C QZHU S PKESHTEGAR Bet al.

Active Kriging-based conjugate first-order reliability method for highly efficient structural reliability analysis using resample strategy

[J]. Computer Methods in Applied Mechanics and Engineering, 2024423116863.

[本文引用: 1]

HU Z LMANSOUR ROLSSON Met al.

Second-order reliability methods: a review and comparative study

[J]. Structural and Multidisciplinary Optimization, 2021646): 3233-3263.

[本文引用: 1]

李扬徐军.

数据驱动的非高斯随机过程模拟

[J]. 振动工程学报, 2025389): 1995-2001. doi:10.16385/j.cnki.issn.1004-4523.202309048

[本文引用: 1]

LI YXU J.

Data-driven simulation of non-Gaussian stochastic processes

[J]. Journal of Vibration Engineering, 2025389):1995-2001.

DOI:10.16385/j.cnki.issn.1004-4523.202309048      [本文引用: 1]

孟原史宝军张德权.

Kriging-高维代理模型建模方法研究与改进

[J]. 机械工程学报, 2024605): 249-263. doi:10.3901/jme.2024.05.249

[本文引用: 1]

MENG YSHI B JZHANG D Q.

Research and improvement of Kriging-HDMR modeling method

[J]. Journal of Mechanical Engineering,2024605):249-263.

DOI:10.3901/jme.2024.05.249      [本文引用: 1]

SHI YNIU L ZBEER M.

Adaptive artificial neural network for uncertainty propagation

[J]. Journal of Reliability Science and Engineering, 202511): 015002-015002.

[本文引用: 1]

JUNIOR F EALMEIDA I F.

Machine learning RBF-based surrogate models for uncertainty quantification of age and time-dependent fracture mechanics

[J]. Engineering Fracture Mechanics, 2021258108037.

[本文引用: 1]

ZHANG KCHEN NLIU Jet al.

An efficient meta-model-based method for uncertainty propagation problems involving non-parameterized probability-boxes

[J]. Reliability Engineering & System Safety, 2023238109477.

[本文引用: 1]

ZHAO YLIU JHE Z Let al.

Rapid dynamic analysis for structures with variable system parameters through multi-fidelity model

[J]. Computers & Structures, 2023285107072.

[本文引用: 3]

CAO L XLIU JMENG X Het al.

Inverse uncertainty quantification for imprecise structure based on evidence theory and similar system analysis

[J]. Structural and Multidisciplinary Optimization, 2021644): 2183-2198.

[本文引用: 3]

CAO L XZHAO Y.

Uncertainty quantification for structural response field with ultra-high dimensions

[J]. International Journal of Mechanical Sciences, 2024271109110.

[本文引用: 9]

WANG JLU S YWANG S Het al.

A review on extreme learning machine

[J]. Multimedia Tools and Applications, 20228129): 41611-41660.

[本文引用: 2]

ZHAO YLIU J.

An efficient solution method for inverse problems with high-dimensional model uncertainty parameters

[J]. Structural and Multidisciplinary Optimization, 2025681): 18.

/