基于证据理论的结构高维全场响应不确定性分析 |
| 赵越,张金鹤,智晋宁 |
|
Uncertainty analysis of high-dimensional full-field structural response based on evidence theory |
| Yue ZHAO,Jinhe ZHANG,Jinning ZHI |
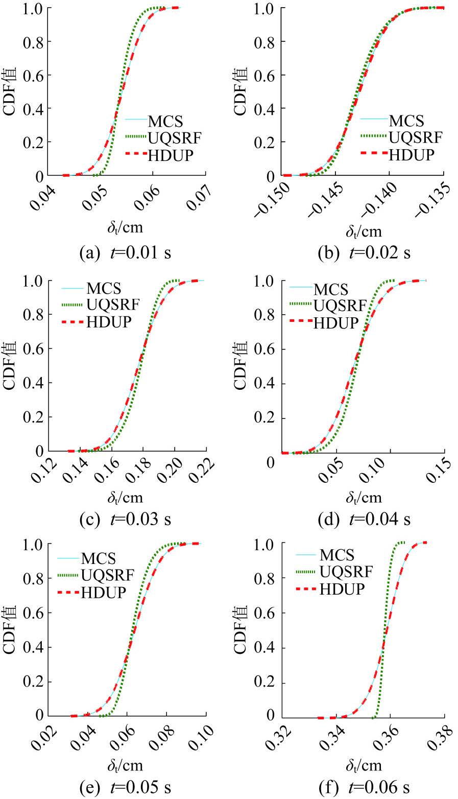
| 图6 桁架结构特定时间节点处的响应 |
| Fig.6 Response of truss structure at specific time nodes |
|