基于证据理论的结构高维全场响应不确定性分析 |
| 赵越,张金鹤,智晋宁 |
|
Uncertainty analysis of high-dimensional full-field structural response based on evidence theory |
| Yue ZHAO,Jinhe ZHANG,Jinning ZHI |
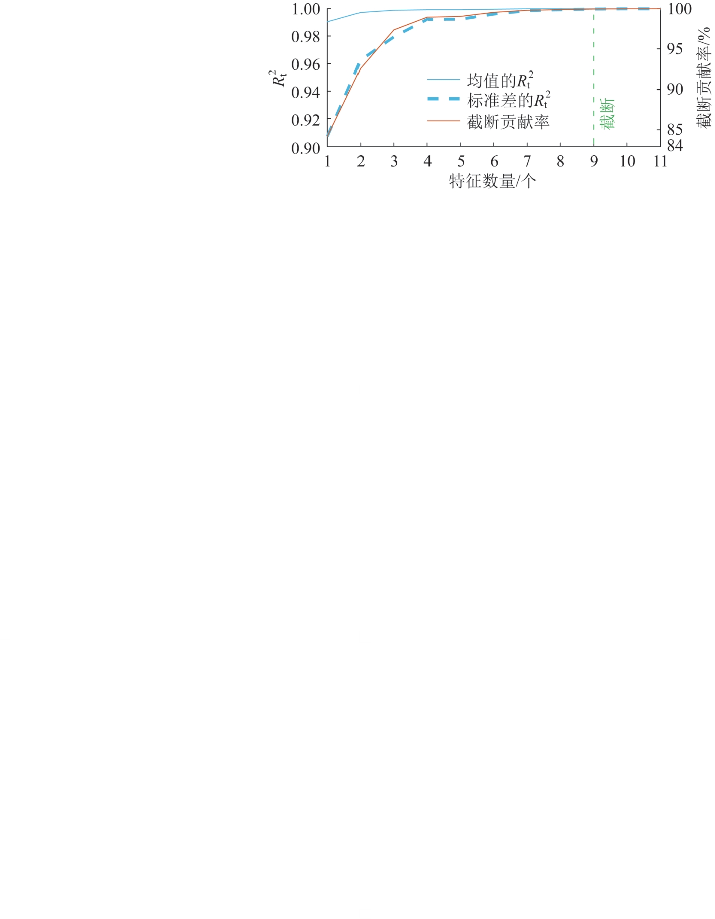
| 图13 涡轮叶片结构特征截断与响应结果收敛情况 |
| Fig.13 Feature truncation and response result convergence of turbine blade structure |
|