Please wait a minute...
工程设计学报  2025, Vol. 32 Issue (6): 856-864    DOI: 10.3785/j.issn.1006-754X.2025.05.168
机械零部件与装备设计     
罗茨泵极限真空度及其预抽时间预测模型研究
李玉龙1(),宋陆昊2,刘天涯3,宋安然1
1.宿迁学院 机电工程学院,江苏 宿迁 223800
2.江苏安全技术职业学院 电气工程学院,江苏 徐州 221011
3.江苏安全技术职业学院 智能制造与应急装备学院,江苏 徐州 221011
Research on prediction models for limiting vacuum degree and its pre-pumping time of Roots pump
Yulong LI1(),Luhao SONG2,Tianya LIU3,Anran SONG1
1.School of Mechanical and Electrical Engineering, Suqian University, Suqian 223800, China
2.School of Electrical Engineering, Jiangsu College of Safety Technology, Xuzhou 221011, China
3.School of Intelligent Manufacturing and Emergency Equipment, Jiangsu College of Safety Technology, Xuzhou 221011, China
 全文: PDF(8308 KB)   HTML
摘要:

针对罗茨泵极限真空度及其预抽时间模型复杂性高、通用性差及精度不足等问题,构建了高精度、简洁且通用的预测模型,为罗茨泵性能优化与精准评估提供理论支撑。建立了基于形状系数的全参数化转子轮廓模型,实现了转子几何特征的精准描述;采用扫过面积法解析理论流量,推导了瞬时流量、平均流量及流量脉动系数的计算公式;基于层流流动理论,结合径向、啮合及端面间隙的几何特征,建立了三大间隙的泄漏模型,其中端面泄漏采用等端漏面积的等效平行矩形板创新模型;基于抽气流量与泄漏流量平衡的原理和预抽基准容积等温转化理论,分别构建了极限真空度及其预抽时间模型,并通过CFD(computational fluid dynamics,计算流体力学)仿真对流量特性、泄漏流量、极限真空度及其预抽时间等进行了多维度验证。结果显示,渐开线轮廓下流量特性参数理论值与仿真值的最大误差为3.84%,泄漏流量理论值与仿真值的一致性误差在4.72%以内,极限真空度理论值与仿真值的误差为4.03%,预抽时间的误差为1.88%,各模型及等效方法的合理性均得到了证实。解析误差处于工程可接受范围内,全参数化设计方法提升了转子轮廓与性能参数的关联度,具备良好的可操作性与可重复性,可直接应用于罗茨泵的性能优化与快速设计,从而为罗茨泵在中高真空系统的工程应用提供了可靠的理论支撑。

关键词: 罗茨泵极限真空度预抽时间泄漏模型流量特性计算流体力学仿真    
Abstract:

Aiming at the problems of high complexity, poor universality and insufficient precision in the models for the limiting vacuum degree and its pre-pumping time of Roots pumps, a high-precision, concise and universal prediction model was constructed, so as to provide theoretical support for the performance optimization and precise evaluation of Roots pumps. A fully parametric rotor profile model based on shape coefficients was established to achieve an accurate description of the rotor's geometric characteristics. The swept area method was used to analyze the theoretical flow, and the calculation formulas for instantaneous flow, average flow and flow pulsation coefficient were derived. Based on the laminar flow theory, combined with the geometric characteristics of radial, meshing and end face clearances, leakage models for the three clearances were established. Among them, an innovative equivalent parallel rectangular plate model with equal end-leakage area was adopted for end face leakage. Based on the principle of balance between pumping flow and leakage flow, as well as the isothermal conversion theory of pre-pumping baseline volume, models for the limiting vacuum degree and its pre-pumping time were established respectively. Moreover, CFD (computational fluid dynamics) simulation was used to conduct multi-dimensional verification on flow characteristics, leakage flow, limiting vacuum degree and its pre-pumping time. The results showed that the maximum error between the theoretical value and the simulation value of the flow characteristic parameters under the involute profile was 3.84%, the consistency error between the theoretical value and the simulation value of the leakage flow was within 4.72%, the error between the theoretical value and the simulation value of the limiting vacuum degree was 4.03%, the error of the pre-pumping time was 1.88%, and the rationality of each model and equivalent method had been verified. The analytical error is within the acceptable range for engineering. The fully parameterized design method improves the correlation between the rotor profile and performance parameters, and has good operability and repeatability. It can be directly applied to the performance optimization and rapid design of Roots pumps, thereby providing reliable theoretical support for the engineering application of Roots pumps in medium and high vacuum systems.

Key words: Roots pump    limiting vacuum degree    pre-pumping time    leakage model    flow characteristic    CFD (computational fluid dynamics) simulation
收稿日期: 2025-07-11 出版日期: 2025-12-30
CLC:  B 752.26  
基金资助: 江苏省智能制造装备关键技术工程研究中心资助项目(苏发改高技发〔2023〕1026号);江苏省高职院校安全应急装备工程技术研究开发中心资助项目(苏教科函〔2023〕11号);宿迁市自然科学基金资助项目(Z2023139);宿迁市智能制造重点实验室资助项目(M202108)
作者简介: 李玉龙(1968—),男,教授,硕士生导师,博士,从事齿轮传动、泵理论与设计等研究,E-mail: leo-world@163.com, https://orcid.org/0000-0002-5609-6836
服务  
把本文推荐给朋友
加入引用管理器
E-mail Alert
RSS
作者相关文章  
李玉龙
宋陆昊
刘天涯
宋安然

引用本文:

李玉龙,宋陆昊,刘天涯,宋安然. 罗茨泵极限真空度及其预抽时间预测模型研究[J]. 工程设计学报, 2025, 32(6): 856-864.

Yulong LI,Luhao SONG,Tianya LIU,Anran SONG. Research on prediction models for limiting vacuum degree and its pre-pumping time of Roots pump[J]. Chinese Journal of Engineering Design, 2025, 32(6): 856-864.

链接本文:

https://www.zjujournals.com/gcsjxb/CN/10.3785/j.issn.1006-754X.2025.05.168        https://www.zjujournals.com/gcsjxb/CN/Y2025/V32/I6/856

参数含义参数含义
b转子宽度a半叶轮廓顶点
r节圆半径g半叶轮廓谷点
z转子叶数s啮合轮廓外端点
γ叶形角, γ=π/(2z)m啮合轮廓节点
o转子中心e啮合轮廓内端点
ε转子形状系数n啮合点
ω转子旋转角速度θ相位角, -γθγ
Q理论体积流量α啮合传动角
QmaxQ的最大值σ啮合长度
QminQ的最小值i相对速度瞬心
QaveQ的平均值λ容积利用系数
V进口封闭容积ξ流量脉动系数
t旋转时间ρ0基准空气密度
o1主动转子中心V0预抽基准容积
o2从动转子中心V0naxV0的等效容积
rn1no1的距离Vs实景抽气容积
rn2no2的距离T实景预抽时间
p0基准空气压力T0V0nax预抽时间
p进口真空压力μ空气动力黏度
pmin极限真空度C1径漏流量系数
L等效矩形长度C2啮漏流量系数
δ1径漏间距A1径漏孔口面积
δ2啮漏间距A2啮漏孔口面积
δ3端漏间距Q1径漏返流流量
Q2啮漏返流流量Q3端漏返流流量
表1  参数表
图1  转子轮廓构造及其坐标系构建
图2  罗茨泵理论流量求解方法
参数数值参数数值参数数值
z2δ1/mm0.3p0/Pa101 325
ε1.6δ2/mm0.4ρ0/(kg·m-31.205
r/mm100δ3/mm0.3μ/(Pa·s)0.000 018 53
b/mm400C10.55ω/(rad·s-1104.72
Vs/m31 000C20.55V0/m30.018 8
表2  仿真参数值
图3  罗茨泵真空预抽基准容积
图4  相同端漏面积的等效平行矩形板
参数数值
介质初始动力黏度/(Pa·s)1.853×10?5
介质初始密度/(kg·m-3)1.293
介质初始体积弹性模量/Pa1.4×105
转速/(rad·s-1)104.72
进口压力/Pa101 325
出口压力/Pa101 325
转动数量/次300
每叶迭代数量/次500
表3  仿真中介质参数和边界参数设置
图5  仿真模型
项目进口边界面设置仿真结果仿真目的
进口体积流量和每转平均体积流量验证Qξ
壁面无端漏极限真空度验证Q1Q2
壁面有端漏极限真空度验证Q3T0
表4  仿真项目
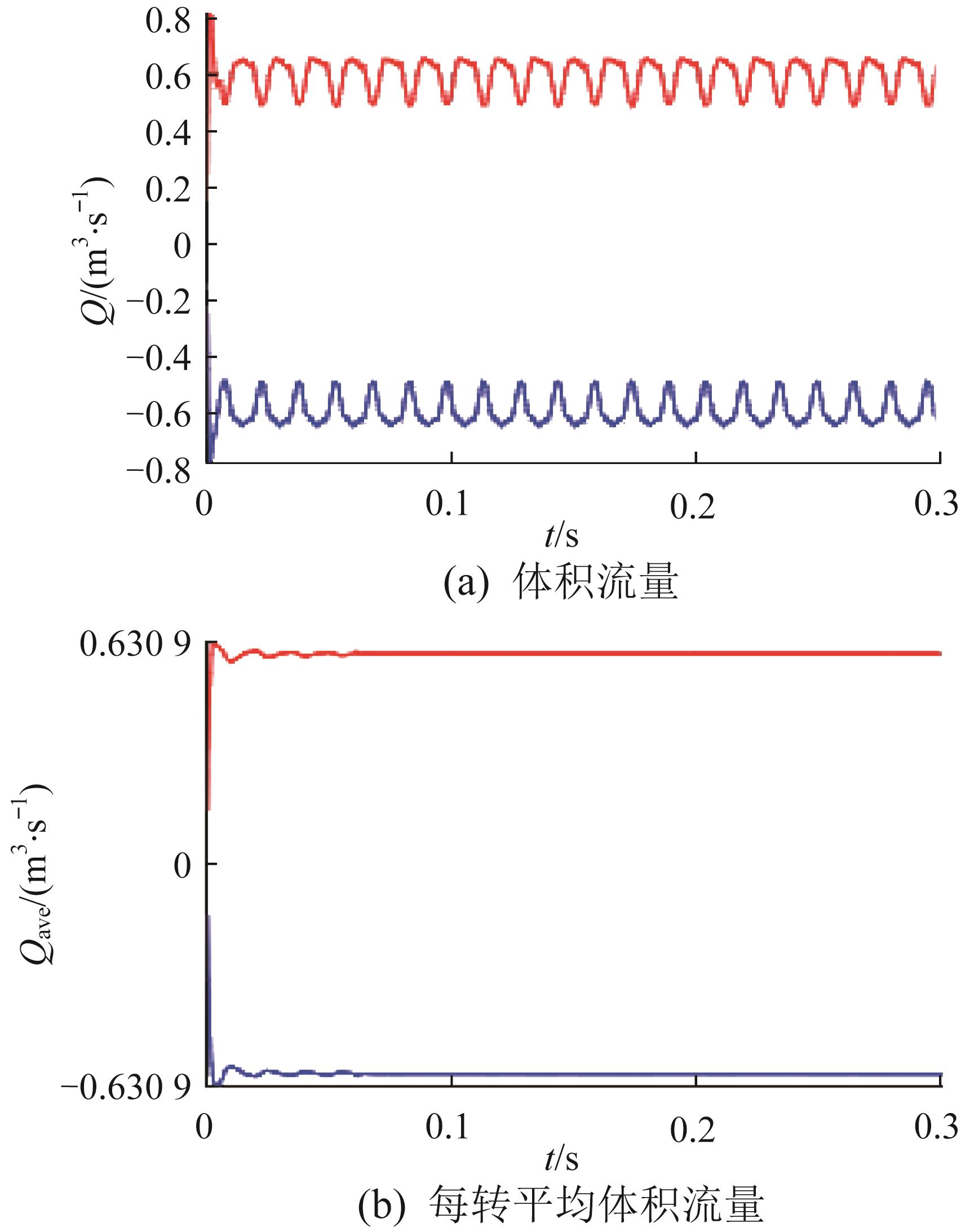
图6  项目 I仿真结果
参数理论值仿真值相对误差/%
Qmax/(m3·s-1)0.653 50.649 50.61
Qmin/(m3·s-1)0.502 70.494 11.71
Qave/(m3·s-1)0.603 20.598 70.75
ξ0.250 00.259 63.84
表5  项目I中仿真值与理论值的相对误差
图7  项目II和项目III仿真结果
变量理论值仿真值相对误差/%
pmin/kPa (Ⅱ)14.06413.44.72
pmin/kPa (Ⅲ)16.53317.24.03
T0/s (Ⅲ)0.1600.1571.88
表6  项目I和项目III中仿真值与理论值的相对误差
  
[1] RAYKOV A, BURMISTROV A, SALIKEEV S, et al. Working process of Roots vacuum pumps[J]. Vakuum in Forschung und Praxis, 2021, 33(3): 29-33.
[2] 许海虹. RH用机械真空泵抽气过程影响因素研究[J]. 真空科学与技术学报, 2019, 39(3): 214-225.
XU H H. Design of fume extraction unit for RH vacuum refining furnace: a simulation study[J]. Chinese Journal of Vacuum Science and Technology, 2019, 39(3): 214-225.
[3] 高源, 林梦竹. 氢气循环泵的转子动力学特性分析[J]. 同济大学学报(自然科学版), 2025, 53(1): 107-114.
GAO Y, LIN M Z. Dynamic characteristics analysis of rotors in hydrogen circulation pump[J]. Journal of Tongji University (Natural Science), 2025, 53(1): 107-114.
[4] 刘振超, 何雪明, 黄海楠. NURBS曲线在罗茨泵转子型线设计中的应用[J]. 食品与机械, 2019, 35(7): 110-116.
LIU Z C, HE X M, HUANG H N. Application of NURBS curve in rotor profile design of Roots pump[J]. Food & Machinery, 2019, 35(7): 110-116.
[5] 胡冰. 真空磁控溅射镀膜设备中罗茨泵的保养与维护[J]. 玻璃, 2019, 46(8): 42-46.
HU B. Maintenance of Roots pump in vacuum magnetron sputtering coating equipment[J]. Glass, 2019, 46(8): 42-46.
[6] 肖荣和, 李玉龙. 基于罗茨泵平均理论流量的转子容积利用系数反求法[J]. 机械传动, 2022, 46(6): 73-77.
XIAO R H, LI Y L. Inverse method on volume utilization factors of rotor based on average theoretical flow of Roots pump[J]. Journal of Mechanical Transmission, 2022, 46(6): 73-77.
[7] 王建森, 李文宣, 司国雷, 等. 航空燃油斜齿轮泵瞬时几何流量的计算方法[J]. 浙江大学学报(工学版), 2025, 59(5): 1040-1050.
WANG J S, LI W X, SI G L, et al. Calculation method for instantaneous geometric flow rate of aviation fuel helical gear pump[J]. Journal of Zhejiang University (Engineering Science), 2025, 59(5): 1040-1050.
[8] 李玉龙, 臧勇, 赵岩, 等. 转子泵容积利用系数的通用计算模型[J]. 排灌机械工程学报, 2021, 39(2): 116-121.
LI Y L, ZANG Y, ZHAO Y, et al. General calculation model of effective volume utilization coefficient for rotor pumps[J]. Journal of Drainage and Irrigation Machinery Engineering, 2021, 39(2): 116-121.
[9] 李玉龙, 孙付春, 刘萍. 泵用凸转子的轮廓设计方法[M].上海: 上海交通大学出版社, 2022.
LI Y L, SUN F C, LIU P. Profile design method of convex rotor for pumps[M]. Shanghai: Shanghai Jiaotong University Press, 2022.
[10] 陈云鹏, 张中波, 陈亭西. 齿轮泵内部间隙泄漏的研究综述[J]. 液压气动与密封, 2024, 44(5): 49-57.
CHEN Y P, ZHANG Z B, CHEN T X. Review on internal clearance leakage of gear pump[J]. Hydraulics Pneumatics & Seals, 2024, 44(5): 49-57.
[11] BURMISTROV A, RAYKOV A, ISAEV A, et al. Efficiency improvement of Roots vacuum pump working process[J]. Vakuum in Forschung und Praxis, 2022, 34(3): 32-37.
[12] 陈长琦, 王旭迪. 罗茨泵径向间隙泄漏量的研究与建模[J]. 流体机械, 2002, 30(11): 29-31.
CHEN C Q, WANG X D. Research and modeling of the leakage through the radial clearance of the Roots vacuum pump[J]. Fluid Machinery, 2002, 30(11): 29-31.
[13] 李琴, 王慧, 黄志强, 等. 输油转子泵啮合间隙与转子叶数对泵性能影响规律研究[J]. 过程工程学报, 2022, 22(12): 1666-1675.
LI Q, WANG H, HUANG Z Q, et al. Research on influence of meshing clearance and number of rotor blades on pump performance[J]. The Chinese Journal of Process Engineering, 2022, 22(12): 1666-1675.
[14] 饶罗, 钟易成. 轴向间隙对摆线转子泵性能影响的数值模拟研究[J]. 机械制造与自动化, 2021, 50(5): 110-112.
RAO L, ZHONG Y C. Axial clearance effects on performance of gerotor pump using numerial simulation[J]. Machine Building & Automation, 2021, 50(5): 110-112.
[15] 李玉龙, 孙付春. 泵用齿轮副困油卸荷的H型侧隙结构研究[J]. 工程设计学报, 2019, 26(1): 15-19, 28.
LI Y L, SUN F C. Research on H-shaped backlash structure on gear pairs for relief of trapped-oil in pumps[J]. Chinese Journal of Engineering Design, 2019, 26(1): 15-19, 28.
[16] 邢文帅, 张帆, 赵菲菲, 等. 内回流槽结构对罗茨泵内部流动特性的影响[J]. 排灌机械工程学报, 2024, 42(5): 448-455.
XING W S, ZHANG F, ZHAO F F, et al. Influence of inner reflux groove structure on flow characteristics of Roots pump[J]. Journal of Drainage and Irrigation Machinery Engineering, 2024, 42(5): 448-455.
[17] 杜浩强, 张永强, 顾广溪, 等. 齿轮泵泄漏计算、卸荷槽优化和性能测试的实验研究[J]. 机电工程, 2024, 41(10): 1914-1922.
DU H Q, ZHANG Y Q, GU G X, et al. Experimentel study on leakage calculation, unloading groove optimization and performance test of gear pump[J]. Journal of Mechanical & Electrical Engineering, 2024, 41(10): 1914-1922.
[18] 魏列江, 刘榕民, 强彦, 等. 基于CFD的齿轮泵实际最优端面间隙确定方法[J]. 液压与气动, 2022, 46(10): 115-121.
WEI L J, LIU R M, QIANG Y, et al. Determination method of actual optimal end clearance of gear pump based on CFD[J]. Chinese Hydraulics & Pneumatics, 2022, 46(10): 115-121.
[19] RAYKOV A, SALIKEEV S, BURMISTROV A, et al. Roots multi-lobe vacuum pumps with external compression[J]. Vakuum in Forschung und Praxis, 2024, 36(3): 39-42.
[20] 田野. 溅射离子泵阴极板溅射过程的模拟分析[D]. 沈阳: 东北大学, 2019.
TIAN Y. Simulation analysis of sputter ion pump cathode plate's sputtering process[D]. Shenyang: Northeastern University, 2019.
[21] 张世伟, 高雷鸣, 李润达, 等. 罗茨真空机组预抽阶段的抽气特性比较研究[J]. 真空, 2022, 59(1): 1-6.
ZHANG S W, GAO L M, LI R D, et al. Comparative study on pumping characteristics of the Roots vacuum unit in start-up process[J]. Vacuum, 2022, 59(1): 1-6.
[22] 张志宇. 航空燃油凸轮泵内部流动特性研究[D]. 兰州: 兰州理工大学, 2023.
ZHANG Z Y. Study on internal flow characteristics in aviation fuel cam pump[D]. Lanzhou: Lanzhou University of Technology, 2023.
[23] 焦撼宇, 韩建超, 杨东升, 等. 罗茨式氢气循环泵型线优化分析研究[J]. 载人航天, 2022, 28(3): 358-364.
JIAO H Y, HAN J C, YANG D S, et al. Analysis of profile optimization of Roots hydrogen circulating pump[J]. Manned Spaceflight, 2022, 28(3): 358-364.
[24] 秦佳, 李伟, 季磊磊, 等. 轴向间隙对罗茨式氢气循环泵性能的影响[J]. 中南大学学报(自然科学版), 2025, 56(3): 1174-1183.
QIN J, LI W, JI L L, et al. Effect of axial clearance on performance of Roots-type hydrogen pump[J]. Journal of Central South University (Science and Technology), 2025, 56(3): 1174-1183.
[25] 李玉龙, 刘萍, 李秀荣, 等. 泵用转子上限形状系数的统一计算模型[J]. 流体机械, 2020, 48(11): 32-36.
LI Y L, LIU P, LI X R, et al. A unified calculation model of maximum shape factor of rotor for pumps[J]. Fluid Machinery, 2020, 48(11): 32-36.
[26] 宋陆昊, 宋安然, 李玉龙. 外啮合齿轮泵困油压力的函数创建及其波动峰值控制研究[J/OL]. 机电工程, 2025: 1-11. (2025-06-09)[2025-07-01]. .
SONG L H, SONG A R, LI Y L. Study on function creation and fluctuation peak control of trapped oil pressure of external gear pump[J/OL]. China Industrial Economics, 2025: 1-11. (2025-06-09)[2025-07-01]. .
[27] 翟云飞, 张世伟, 韩峰, 等. 三叶转子罗茨真空泵内气体过程的热力学计算[J]. 真空, 2019, 56(3): 10-15.
ZHAI Y F, ZHANG S W, HAN F, et al. Thermodynamic calculation for pumping process in the trilobal Roots vacuum pump[J]. Vacuum, 2019, 56(3): 10-15.
[28] 达道安. 真空设计手册[M]. 3版. 北京: 国防工业出版社, 2006.
DA D A, QIU J W. Vacuum design manual[M]. 3th ed. Beijing: National Defense Industry Press, 2004.
[29] 黄志强, 刘伯韬, 王美玲, 等. 散热流道对转子泵密封性能影响的仿真及试验研究[J]. 润滑与密封, 2025, 50(3): 58-67.
HUANG Z Q, LIU B T, WANG M L, et al. Simulation and experimental study on the influence of heat dissipation channel on the sealing performance of rotor pump[J]. Lubrication Engineering, 2025, 50(3): 58-67.
[1] 徐修文,任燕,鲁立中,阮健. 流体脉宽调制双向变量机构流量特性研究[J]. 工程设计学报, 2024, 31(6): 766-775.
[2] 赵明, 周洪, 陈鹰. 表示气动元件流量特性若干参数间的关系[J]. 工程设计学报, 2002, 9(4): 222-224.