Please wait a minute...
工程设计学报  2025, Vol. 32 Issue (6): 759-768    DOI: 10.3785/j.issn.1006-754X.2025.05.144
机械设计理论与方法     
基于CNN-LSTM-Attention模型的湿喷台车泵送系统堵管故障预测方法
王开松1(),魏一鸣2,唐威3,郭旭华1,李朝阳3,邹俊3
1.安徽理工大学 机电工程学院,安徽 淮南 232001
2.安徽理工大学 煤炭无人化开采数智技术全国重点实验室,安徽 淮南 232001
3.浙江大学 流体动力基础件与机电系统全国重点实验室,浙江 杭州 310058
Fault prediction method of pipeline blockage in wet spray trolley pumping system based on CNN-LSTM-Attention model
Kaisong WANG1(),Yiming WEI2,Wei TANG3,Xuhua GUO1,Zhaoyang LI3,Jun ZOU3
1.School of Mechatronics Engineering, Anhui University of Science and Technology, Huainan 232001, China
2.State Key Laboratory of Digital and Intelligent Technology for Unmanned Coal Mining, Anhui University of Science and Technology, Huainan 232001, China
3.State Key Laboratory of Fundamental Components of Fluid Power and Mechatronic Systems, Zhejiang University, Hangzhou 310058, China
 全文: PDF(4612 KB)   HTML
摘要:

在隧道初期支护中,湿喷台车泵送系统易堵管而引发非计划停机、施工延误等问题,因此亟须提升设备故障预测与运维能力。针对湿喷台车泵送系统堵管故障预测方法中存在的噪声干扰大、长时间序列数据的复杂特征难以充分捕捉等问题,提出了一种基于CNN-LSTM-Attention模型的泵送系统堵管故障预测模型。该模型以泵送压力为预测对象,通过四分位法剔除异常值并结合卡尔曼滤波进行数据平滑处理,以确保强噪声环境下输入数据的稳定性;通过CNN(convolutional neural network,卷积神经网络)提取泵送压力数据的局部时空特征,结合LSTM(long short-term memory,长短期记忆)网络捕捉泵送过程的长序列动态特性,并引入Attention(注意力)机制自适应加权波动压力的关键节点,以实现泵送压力趋势的高精度预测。实验结果表明,所提出模型的预测效果显著优于CNN、LSTM及CNN-LSTM等传统模型。在模型预测结果的基础上,构建了湿喷台车泵送系统健康状态评价体系,开发了健康状态预测平台,有效支持了施工现场的决策。

关键词: 泵送系统故障预测卷积神经网络长短期记忆网络注意力机制    
Abstract:

In the primary support stage of tunnel construction. The wet spray trolley pumping system is prone to pipeline blockage, which can lead to unplanned downtimes, construction delays and other issues. Therefore, it is urgent to enhance the capabilities of equipment failure prediction and operation maintenance. To address challenges including strong noise interference and insufficient complex feature extraction from long-term sequential data in fault prediction method of pipeline blockage, a pumping system pipeline blockage fault prediction model based on the CNN-LSTM-Attention model was proposed. Pumping pressure data were took as the prediction target and processed using interquartile range for outlier removal and Kalman filtering for data smoothing, ensuring the stability of input data under high-noise conditions. The model employed CNN (convolutional neural network) to extract local spatiotemporal features from pumping pressure data, integrated LSTM (long short-term memory) network to capture the long-term dynamic characteristics of pumping processes, and incorporated the Attention mechanism to adaptively weight the critical nodes of the fluctuating pressure, achieving high-precision pressure trend prediction. The experimental results demonstrated that the prediction performance of the proposed model was significantly superior to that of traditional models such as CNN, LSTM, and CNN-LSTM. Based on the model prediction results, a health status evaluation system for wet spray trolley pumping system was established, and its health status prediction platform was developed, effectively supporting the decision-making at the construction site.

Key words: pumping system    fault prediction    convolutional neural network    long short-term memory network    attention mechanism
收稿日期: 2025-05-29 出版日期: 2025-12-30
CLC:  TP 277  
基金资助: 国家重点研发计划资助项目(2021YFB3301600)
作者简介: 王开松(1969—),男,教授,博士,从事机械结构设计与分析等研究,E-mail: 6668978wks@163.com
服务  
把本文推荐给朋友
加入引用管理器
E-mail Alert
RSS
作者相关文章  
王开松
魏一鸣
唐威
郭旭华
李朝阳
邹俊

引用本文:

王开松,魏一鸣,唐威,郭旭华,李朝阳,邹俊. 基于CNN-LSTM-Attention模型的湿喷台车泵送系统堵管故障预测方法[J]. 工程设计学报, 2025, 32(6): 759-768.

Kaisong WANG,Yiming WEI,Wei TANG,Xuhua GUO,Zhaoyang LI,Jun ZOU. Fault prediction method of pipeline blockage in wet spray trolley pumping system based on CNN-LSTM-Attention model[J]. Chinese Journal of Engineering Design, 2025, 32(6): 759-768.

链接本文:

https://www.zjujournals.com/gcsjxb/CN/10.3785/j.issn.1006-754X.2025.05.144        https://www.zjujournals.com/gcsjxb/CN/Y2025/V32/I6/759

图1  湿喷台车施工现场
图2  HPS3016型湿喷台车
图3  泵送系统常见堵管故障类型
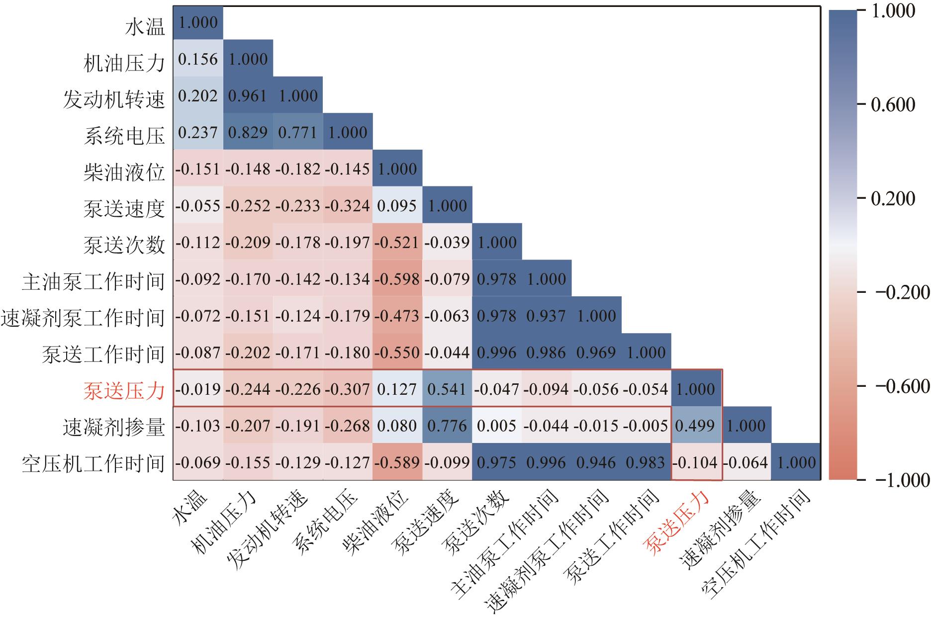
图4  泵送系统参数相关性计算结果
时间泵送压力/MPa泵送速度/(m3/h)速凝剂掺量/(kg/h)
2024-10-10 05:18:018.525.181.6
2024-10-10 05:18:0210.025.180.7
2024-10-10 05:18:0310.225.180.3
2024-10-10 05:18:045.126.381.6
2024-10-10 05:18:059.526.381.6
表1  降维后的原始数据集示例
图5  数据预处理样例
图6  CNN结构
图7  LSTM单元体结构
图8  Attention机制结构
图9  CNN-LSTM-Attention模型结构
预测长度ERMSEMAR2
121.490.580.946
241.890.810.912
362.020.940.905
482.241.110.878
表2  CNN-LSTM-Attention模型在不同预测长度下的预测性能
图10  CNN-LSTM-Attention模型预测值与真实值的对比
图11  CNN-LSTM-Attention模型收敛曲线
图12  不同模型对泵送压力的预测表现
图13  CNN-LSTM-Attention模型泛化性实验结果
图14  泵送系统健康状态预测方案
图15  泵送系统健康状态评价流程图
图16  泵送系统健康状态预测平台界面
[1] 邢宝全. 混凝土喷射台车在京沈客专隧道施工中的应用[J]. 科技资讯, 2024, 22(1): 126-129.
XING B Q. Application of concrete spraying trolleys in the construction of Beijing-Shenyang passenger high-speed railway tunnels[J]. Science & Technology Information, 2024, 22(1): 126-129.
[2] 刘飞香. 钻爆法隧道施工装备技术进展与展望[J]. 现代隧道技术, 2024, 61(2): 190-202.
LIU F X. Technological advancements and prospects of drill and blast tunnel construction equipment[J]. Modern Tunnelling Technology, 2024, 61(2): 190-202.
[3] 李捷. 混凝土湿喷台车的生产应用现状及技术创新发展方向[J]. 工程机械, 2022, 53(2): 100-104, 12.
LI J. Practical application status and technological innovation development direction of concrete wet-spraying trolley[J]. Construction Machinery and Equipment, 2022, 53(2): 100-104, 12.
[4] 丁洋洋. 隧道混凝土湿喷机配套施工工艺[J]. 工程建设与设计, 2023(6): 111-113.
DING Y Y. Construction technology of wet spray machine for tunnel concrete[J]. Construction & Design for Engineering, 2023(6): 111-113.
[5] 冯东亮, 林涛. 湿喷机在隧道施工中的应用[J]. 中小企业管理与科技, 2020(11): 158-159.
FENG D L, LIN T. Application of wet spraying machine in tunnel engineering[J]. Management & Technology of SME, 2020(11): 158-159.
[6] 陈伟珂, 张铮燕, 龙昭琴. 基于尖点突变模型的地铁深基坑土压力预警阈值研究[J]. 中国安全科学学报, 2012, 22(4): 157-161.
CHEN W K, ZHANG Z Y, LONG Z Q. Research on earth pressure warning threshold of subway deep excavation based on cusp catastrophe model[J]. China Safety Science Journal, 2012, 22(4): 157-161.
[7] SHI J C, YI J Y, REN Y, et al. Fault diagnosis in a hydraulic directional valve using a two-stage multi-sensor information fusion[J]. Measurement, 2021, 179: 109460.
[8] TANG H B, FU Z, HUANG Y. A fault diagnosis method for loose slipper failure of piston pump in construction machinery under changing load[J]. Applied Acoustics, 2021, 172: 107634.
[9] 刘禹, 戴永寿, 李立刚. 基于小样本音频信号的柱塞泵故障诊断[J]. 噪声与振动控制, 2023, 43(5): 142-147, 273.
LIU Y, DAI Y S, LI L G. Fault diagnosis of plunger pumps based on audio signal of small samples[J]. Noise and Vibration Control, 2023, 43(5): 142-147, 273.
[10] JIANG W L, LI Z B, ZHANG S, et al. Hydraulic pump fault diagnosis method based on EWT decomposition denoising and deep learning on cloud platform[J]. Shock and Vibration, 2021, 2021: 6674351.
[11] 魏晓良, 潮群, 陶建峰, 等. 基于LSTM和CNN的高速柱塞泵故障诊断[J]. 航空学报, 2021, 42(3): 423876. doi:10.7527/S1000-6893.2020.23876
WEI X L, CHAO Q, TAO J F, et al. Cavitation fault diagnosis method for high-speed plunger pumps based on LSTM and CNN[J]. Acta Aeronautica et Astronautica Sinica, 2021, 42(3): 423876.
doi: 10.7527/S1000-6893.2020.23876
[12] TANG S N, ZHU Y, YUAN S Q. An adaptive deep learning model towards fault diagnosis of hydraulic piston pump using pressure signal[J]. Engineering Failure Analysis, 2022, 138: 106300.
[13] 何瑶, 熊晓燕, 王伟杰, 等. 基于TFG-SVD-1DCNN的液压优先阀智能故障诊断方法[J]. 机电工程, 2025, 42(7): 1287-1293.
HE Y, XIONG X Y, WANG W J, et al. Intelligent fault diagnosis method of hydraulic priority valve based on TFG-SVD-1DCNN[J]. Journal of Mechanical & Electrical Engineering, 2025, 42(7): 1287-1293.
[14] 孙伟. 湿喷台车的施工应用与常见问题处理方法[J]. 石材, 2023(7): 21-23.
SUN W. Construction application of wet jet trolley and solutions to common problems[J]. Stone, 2023(7): 21-23.
[15] 刘计武. 浅谈混凝土湿喷机泵送系统问题及改进方案[J]. 建设机械技术与管理, 2019, 32(11): 63-65.
LIU J W. Talking about the problems of pumping system of concrete wet sprayer and the improvement scheme[J]. Construction Machinery Technology & Management, 2019, 32(11): 63-65.
[16] COHEN I, HUANG Y T, CHEN J D, et al. Noise reduction in speech processing[M]. Berlin: Springer, 2009: 15-20.
[17] LANGFORD E. Quartiles in elementary statistics[J]. Journal of Statistics Education, 2006, 14(3): 1-20.
[18] KHODARAHMI M, MAIHAMI V. A review on Kalman filter models[J]. Archives of Computational Methods in Engineering, 2023, 30(1): 727-747.
[19] CHUA L O, ROSKA T. The CNN paradigm[J]. IEEE Transactions on Circuits and Systems I: Fundamental Theory and Applications, 1993, 40(3): 147-156.
[20] HOCHREITER S, SCHMIDHUBER J. Long short-term memory[J]. Neural Computation, 1997, 9(8): 1735-1780.
[1] 曾妮,马宗方,宋琳,段明. 3D打印混凝土界面孔隙智能检测方法研究[J]. 工程设计学报, 2025, 32(1): 11-22.
[2] 金晶,王京,周奕辰,潘文明. 电力数据驱动的电池剩余寿命预测研究[J]. 工程设计学报, 2024, 31(6): 757-765.
[3] 谢苗,孟庆爽,李博,卢进南,李玉岐,杨志勇. 融合短时傅里叶变换和卷积神经网络的托辊故障诊断方法[J]. 工程设计学报, 2024, 31(5): 565-574.
[4] 沈剑雄,刘迎圆,王乐勤. 基于深度学习的翼型参数化建模方法[J]. 工程设计学报, 2024, 31(3): 292-300.
[5] 叶子汉,王中华,姜潮,吕新,张哲. 基于多判别器辅助分类器生成对抗网络的故障诊断方法研究[J]. 工程设计学报, 2024, 31(2): 137-150.
[6] 卢进南, 单德兴. 基于语义分割的火车车厢位置检测研究[J]. 工程设计学报, 2020, 27(5): 568-576.
[7] 李 俊,王贤琳. 基于分解法建模的泵送系统可靠性和可用性评估[J]. 工程设计学报, 2015, 22(1): 18-25.
[8] 许葆华, 李洪儒. 某型导弹发射装置液压元件故障的预测[J]. 工程设计学报, 2007, 14(6): 449-452.