基于CNN-LSTM-Attention模型的湿喷台车泵送系统堵管故障预测方法
1.
2.
3.
Fault prediction method of pipeline blockage in wet spray trolley pumping system based on CNN-LSTM-Attention model
1.
2.
3.
收稿日期: 2025-05-29 修回日期: 2025-08-13
| 基金资助: |
|
Received: 2025-05-29 Revised: 2025-08-13
作者简介 About authors
王开松(1969—),男,教授,博士,从事机械结构设计与分析等研究,E-mail:
关键词:
Keywords:
本文引用格式
王开松, 魏一鸣, 唐威, 郭旭华, 李朝阳, 邹俊.
WANG Kaisong, WEI Yiming, TANG Wei, GUO Xuhua, LI Zhaoyang, ZOU Jun.
早期的设备故障诊断主要依赖主观判断和固定阈值报警[6],只能在故障发生后触发警报,无法识别压力信号缓变中的早期征兆。目前,泵送系统故障预测方法可分为基于信号处理和基于深度学习两类,其中振动信号因其与机械故障的伴随特性而受到广泛研究。Shi等[7]提出了一种结合两阶段多传感器信息的融合方法,有效实现了液压阀故障的检测和分类;Tang等[8]提出了一种基于虚拟样机模型和轴向振动信号分析的故障诊断方法,有效解决了变负载液压泵信号干扰的难题;刘禹等[9]采用元迁移学习与滤波器组诊断方法,实现了柱塞泵多类型故障识别。然而,湿喷台车作业环境的强振动、多粉尘及频繁的工况切换导致传感器数据易受噪声干扰,且现有方法过度依赖先前经验和知识,以致传统的信号处理方案在精度和鲁棒性方面存在不足。
湿喷台车泵送压力受噪声干扰极大,且堵管故障产生的异常压力信号难以与常规噪声有效区分,若处理不当,极易导致预测数据失真;同时,传统的深度学习方法难以充分捕捉长时间序列数据之间的复杂关系及内在联系。针对上述问题,本研究提出混合模型解决方案:首先,采用四分位法和卡尔曼滤波(Kalman filter)进行数据预处理,在保留数据变化趋势及其异常特征的同时分离噪声;其次,构建CNN-LSTM-Attention模型,通过CNN提取压力信号时空特征,通过LSTM捕捉时序依赖关系,通过Attention(注意力)机制自适应加权关键时序特征;最后,建立湿喷台车泵送系统健康状态评价体系,并开发健康状态预测平台,以实现堵管故障的提前预警,提高施工效率。
1 工程概况及数据选择
1.1 工程概况
本研究依托某铁路隧道建设工程展开。隧道总长约为42 000 m,平均海拔约为3 500 m,采用钻爆法施工。高原施工环境具有高寒、缺氧及高地应力等复杂特征。施工段的岩体以花岗岩及片麻岩为主,岩体强度较高,需采取预防性加固措施来保障工程安全。湿喷台车施工现场如图1所示。
图1
采用HPS3016型湿喷台车,如图2所示。其主要由泵送系统、底盘系统、电控系统和臂架系统等构成。泵送系统为核心部分,其通过液压泵驱动油缸输送混凝土。
图2
1.2 泵送系统故障类型
图3
图3
泵送系统常见堵管故障类型
Fig.3
Common types of pipeline blockage fault in pumping system
堵管故障发生后,通常通过反泵(吸料与反抽转换)方式降低混凝土输送管道的压力,待管路疏通后重新启动泵送动力装置进行正向作业。一旦泵送系统出现堵管,处理时间通常需要20~30 min,严重时可能需要1~2 h甚至更久,直接影响了混凝土输送效率。因此,深入分析堵管原因,优化操作工艺以减小堵管概率,是保障泵送作业安全高效进行的重要措施。
1.3 数据采集与参数选择
通过传感器按秒采集泵送系统的运行参数,包括状态参数和工作参数,共计39个参数,形成数据流并通过网络实时传输至存储终端,年累积数据量超过千万条。现以日为单位,采集泵送系统的运行参数数据,并以CSV文件格式存储。该数据集以时间戳为索引,数据集包括时间、泵送运行参数、计量泵运行参数、泵送压力、泵送速度、速凝剂掺量、柴油液位和水温等数据。
基于泵送系统堵管故障预测有效性、简洁性和易操作性的原则,泵送压力被确认为堵管故障预测的核心参数,这主要基于以下5个方面的考虑:
1)泵送压力与管道内混凝土流动阻力呈正相关。如混凝土流动阻力增大,则直接导致泵送压力升高,当压力值超过预设临界值时即触发预警机制。该线性关系为堵管故障早期识别提供了可靠依据。
2)泵送压力的时序特征可实现动态监测与预测。通过分析压力曲线,可以实现对堵管故障的精准预判。
3)利用现有泵送系统普遍配备的压力传感模块,即可建立压力监测模型,较为经济、实用。
4)相比泵送流量、电流等其他运行参数,泵送压力对管道堵塞的敏感度表现明显,因此降低了故障判别难度。
5)可以通过定义泵送压力阈值、监测压力变化趋势或引入多参数关联分析等手段,提升预测结果的准确性。
2 数据预处理
基于上述分析,将泵送压力作为神经网络的预测目标,并结合其他多个关键特征参数,可以实现泵送系统堵管故障的预测。在实际采集的千万条原始数据中,存在无效值多、异常波动频繁、噪声干扰严重、数据规模庞大等问题,同时包含了大量与泵送压力无关的参数,会显著降低模型训练效率和预测精度。所以,需要对数据集进行预处理,具体包括数据降维、异常值处理、数据滤波等3个步骤。
2.1 数据降维
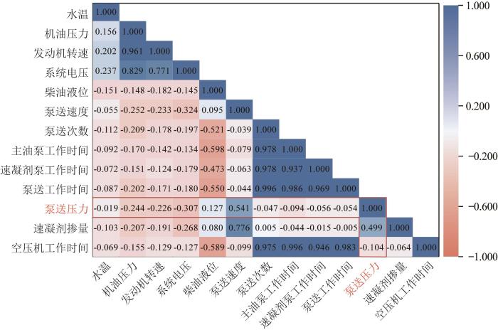
在数据预测中,若输入的特征值与预测目标的相关度过低,不仅会增加模型冗余,还会降低预测精度。因此,采用皮尔逊(Pearson)相关系数法分析参数间的关联性[16],并基于分析结果筛选出高相关性的特征值。皮尔逊相关系数法是通过计算2个变量间的协方差与标准差乘积之比,来衡量其线性相关程度。具体计算公式为:
式中:
相关系数的绝对值用于衡量变量间的线性相关程度,其分级标准如下:绝对值为[0.8, 1.0]时呈极强相关,为[0.6, 0.8) 时呈强相关,为[0.4, 0.6) 时呈中等相关,为[0.2, 0.4) 时呈弱相关,为[0, 0.2) 时呈极弱相关。
根据泵送系统实际运行情况,剔除无意义参数后,再将其余参数进行相关性计算,计算结果如图4所示。
图4
图4
泵送系统参数相关性计算结果
Fig.4
Calculation results of parameter correlation for pumping system
表1 降维后的原始数据集示例
Table 1
| 时间 | 泵送压力/MPa | 泵送速度/(m³/h) | 速凝剂掺量/(kg/h) |
|---|---|---|---|
| 2024-10-10 05:18:01 | 8.5 | 25.1 | 81.6 |
| 2024-10-10 05:18:02 | 10.0 | 25.1 | 80.7 |
| 2024-10-10 05:18:03 | 10.2 | 25.1 | 80.3 |
| 2024-10-10 05:18:04 | 5.1 | 26.3 | 81.6 |
| 2024-10-10 05:18:05 | 9.5 | 26.3 | 81.6 |
| … | … | … | … |
2.2 异常值处理
在原始数据采集过程中,因湿喷台车工况复杂(如产生机械抖动)及存在信号测量误差(如传感器测量误差、信号波动等),可能产生与系统真实工况无关的突变异常值,从而降低预测模型的精度与可靠性,因此需要通过异常值处理和数据滤波等方式提升数据的可用性。
首先去除湿喷台车未工作时的待机数据,再对过滤后数据中的异常值进行处理。常用方法是四分位法[17],通过计算上下四分位数和四分位距来识别并剔除超出合理数值范围的异常值。其计算方法如下:
式中:
当泵送系统发生堵管故障时,泵送压力、泵送速度和速凝剂掺量显著偏离标准范围,这些异常数据需在数据预处理阶段提前识别与隔离。根据现场操作经验可知:堵管时的典型特征为泵送速度为0且泵送压力超过25 MPa,并持续超过5 s;正常作业时泵送压力始终低于25 MPa(通常维持在2~14 MPa)且泵送速度大于0。基于此规律,构建如下工况判别依据,来区分正常泵送数据与堵管故障数据。
1)设泵送压力函数为p(t),泵送速度函数为v(t),泵送压力阈值pt=23 MPa(保留一定余量);
2)设泵送速度为0的时间总区间为{M1, M2, …, Mn },其中Mj (j=1, 2, …, n)为泵送速度为0的时间区间;
3)若∃[t1, t2] ⊆ Mj,当以下3个条件同时成立时,判定Mj 为堵管故障区间:①对∀t ∈[t1, t2],v(t)=0;②对∀t ∈[t1, t2],p(t)≥pt;③t2-t1≥5 s。
区分正常泵送数据和堵管故障数据后的数据样例如图5(a)所示。
图5
接下来采用四分位法对正常泵送数据进行异常值处理。处理时,把最大估计值与最小估计值作为上、下限,将超过上、下限的数据视为异常值,并将其用滑窗内的中值替代。处理后的数据样例如图5(b)所示。
2.3 数据滤波
对数据进行异常值处理后,需对其进行滤波,来进一步提升数据质量。卡尔曼滤波是一种基于数学模型的最优递归估计算法[18],其基于包含噪声的观测数据动态估计系统的真实状态,尤其擅长估计动态系统的实时状态。
泵送系统的运行参数经卡尔曼滤波处理后的数据样例如图5(c)所示。可以看出,滤波后数据曲线更为平滑,在保留原始有效信息的基础上,剔除了噪声信号。
3 基于CNN-LSTM-Attention模型的泵送系统堵管故障预测模型的构建
基于深度学习技术,利用经过预处理的数据集训练模型,来预测未来一定时间内泵送压力的变化趋势,构建泵送系统堵管故障预测模型,进而实现泵送系统堵管故障预测。
3.1 CNN-LSTM-Attention模型
在泵送系统工作过程中,泵送压力既具有高度随机性,又呈现一定的规律性。然而,传统方法难以充分捕捉长时间序列数据之间的复杂关系及内在联系,因此设计了一个融合CNN、LSTM和Attention模型优势的预测模型,以实现对泵送压力未来变化趋势的准确预测。
1)CNN模型。
图6
CNN模型的核心思想是卷积特征映射,如
式中:
2)LSTM模型。
图7
LSTM模型的主要计算公式如下:
式中:
3)Attention机制。
图8
注意力机制通过学习输入向量[ k1, k2, ⋯, km ],生成表征各中间状态重要性的注意力权重系数[α1, α2, ⋯, αm ],最终对各中间状态进行加权求和,得到输出序列 S。
注意力机制的计算公式如下:
式中:
4)CNN-LSTM-Attention模型结构。
在CNN-LSTM-Attention模型中,CNN的多尺度输入模式可有效提取短序列中的多层次特征;LSTM基于前端CNN提取的细粒度特征,进一步提取输入数据的粗粒度特征,并对其多尺度特征进行精细化处理;Attention机制采用比CNN更大的输入窗口进行特征投影,以捕获前后输入信息的全局关联。该架构不仅能提升预测模型挖掘局部序列特征的能力,还能增大重要时间特征和高相关性数据特征在模型中的权重。最终构建的CNN-LSTM-Attention模型兼具特征高效提取与长期时序记忆的功能。
CNN-LSTM-Attention模型的结构如图9所示。该模型架构主要包含输入层、CNN层(含卷积层与池化层)、LSTM层、Attention层和输出层。经预处理后的数据通过输入层输入模型;CNN层首先通过卷积操作提取数据的局部空间特征,并通过池化操作对特征进行降维,在保留关键信息的同时抑制噪声干扰;经CNN层处理后的特征映射被送入LSTM层,以捕获时序数据中的长短期依赖关系;随后,时序特征被输入Attention层,基于权重分配机制对特征向量进行动态加权:通过为不同特征分配差异化权重,生成优化的权重矩阵,实现重要信息的动态聚焦;最终,经全连接处理,由输出层输出预测结果。
图9
3.2 泵送系统堵管故障预测模型的验证
将泵送系统传感器采集的数据进行预处理后,共得到25万条有效数据,按3∶1∶1的比例划分为训练集、验证集和测试集。CNN层配置如下:卷积核大小为2,池化窗口尺寸为2,激活函数为ReLU;LSTM模型采用两层堆叠结构,每层含64个神经元,激活函数为tanh,并设置Dropout=0.2来防止过拟合;Attention机制的嵌入维度为20,注意力头数为4。训练时采用均方误差评价模型。模型优化器采用Adam,学习率设为0.001,batch_size设为128。
本研究将均方根误差ERMS、平均绝对误差EMA和决定系数R2作为模型的评价指标。ERMS和EMA越小,R2越接近1,表示模型越准确。
在测试集中,CNN-LSTM-Attention模型不同预测长度下的预测性能如表2所示。当预测长度为12时,ERMS=1.49,EMA=0.58,R2=0.946。测试集中包含13个堵管区间,模型能精准识别这13个堵管区间,堵管故障识别准确率达100%。
表2 CNN-LSTM-Attention模型在不同预测长度下的预测性能
Table 2
| 预测长度 | ERMS | EMA | R2 |
|---|---|---|---|
| 12 | 1.49 | 0.58 | 0.946 |
| 24 | 1.89 | 0.81 | 0.912 |
| 36 | 2.02 | 0.94 | 0.905 |
| 48 | 2.24 | 1.11 | 0.878 |
当预测长度为12时,CNN-LSTM-Attention模型预测值与真实值的对比如图10所示。
图10
图10
CNN-LSTM-Attention模型预测值与真实值的对比
Fig.10
Comparison of actual and predicted values for CNN-LSTM-Attention model
CNN-LSTM-Attention模型的收敛曲线(即Loss-Epoch(损失—周期)曲线)如图11所示。由图可知,模型在训练初期Loss值较高,随着训练的进行,Loss值迅速下降并接近于0,表明模型快速学习了数据中的主要特征,完成了对输入数据的有效拟合,同时没有出现梯度消失或梯度爆炸的问题,这说明了模型架构的合理性及学习结果的可靠性。
图11
图11
CNN-LSTM-Attention模型收敛曲线
Fig.11
Convergence curve of CNN-LSTM-Attention model
为了验证CNN-LSTM-Attention模型的预测性能,分别建立CNN、LSTM、CNN-LSTM模型,在相同数据集和参数条件下进行对比实验。不同模型对泵送压力的预测表现如图12所示。由图可知,CNN-LSTM-Attention模型在各项指标上均优于其他模型,其预测误差最小,预测效果最好。
图12
图12
不同模型对泵送压力的预测表现
Fig.12
Predicted performance of different models on pumping pressure
为了验证CNN-LSTM-Attention模型的泛化能力,采用另一隧道湿喷台车泵送系统的数据,用已训练好的模型进行预测,结果如图13所示。通过计算可得ERMS=1.63,EMA=0.61,R2=0.942,表明模型具有良好的泛化性能。
图13
图13
CNN-LSTM-Attention模型泛化性实验结果
Fig.13
Generalization experiment result of CNN-LSTM-Attention model
4 泵送系统健康状态预测平台的搭建
结合泵送系统健康状态评价体系,对泵送系统的健康状态进行评价,搭建泵送系统健康状态预测平台。泵送系统健康状态预测方案如图14所示。
图14
4.1 泵送系统健康状态评价体系构建
通过分析堵管数据,结合工程经验与专家经验,构建泵送系统健康状态判别函数,形成综合性健康状态评价体系。针对堵管这个典型故障,设定18 MPa(泵送压力预测值阈值)和25 MPa(泵送压力实时值阈值)为双参数诊断标准,同步融合泵送压力预测值、泵送压力实时值和泵送速度实时值,构建系统健康状态评价体系,实现系统健康状态评估与故障预测,并基于评估结果生成是否“反泵”的操作建议。
泵送系统健康状态评价体系如下:
式中:
当实时泵送压力持续高于25 MPa的时间在5 s以上,或实时泵送速度持续为0的时间在5 s以上,或泵送压力预测值持续高于18 MPa的时间在5 s以上时,系统将被判定存在堵管故障。只要这3项中的任意一项满足异常条件,即
图15
图15
泵送系统健康状态评价流程图
Fig.15
Flowchart of health status evaluation for pumping system
4.2 泵送系统健康状态预测平台界面
根据CNN-LSTM-Attention模型和泵送系统健康状态评价体系,搭建了泵送系统健康状态预测平台。平台界面如图16所示。
图16
图16
泵送系统健康状态预测平台界面
Fig.16
Health status prediction platform interface for pumping system
平台界面包含以下功能:1)在“控制面板”中显示目前湿喷台车的预测状态和预测模式(支持点击切换)。2)在“控制面板”中显示目前泵送系统的健康状态是良好还是较差。若较差,则提醒注意反泵。3)在“图表显示”中显示泵送系统泵送压力预测值与实际值的对比折线图,其中绿色折线表示预测值,蓝色折线表示当前值;4)在“图表显示”中设有“当前泵送速度值”和“当前速凝剂掺量值”可点击模块,点击后可分别显示泵送速度、速凝剂掺量的折线图;5)在“图表显示”中显示泵送压力当前预测值、泵送工作时间、速凝剂泵工作时间、液压油温度等参数;6)在界面右侧实时显示泵送压力预测值、泵送压力当前值、速凝剂掺量当前值和泵送速度当前值。
5 结 论
针对隧道初期支护中湿喷台车泵送系统易发生堵管的问题,提出了一种基于CNN-LSTM-Attention的故障预测模型,完成了从数据预处理到模型验证再到平台构建的全流程分析。
1)通过数据降维、异常值处理、卡尔曼滤波平滑处理,有效剔除了噪声信号,提升了模型输入数据的稳定性和可靠性,为后续故障预测奠定了坚实的基础。
2)实验证明,CNN-LSTM-Attention模型能够兼顾局部时空特征提取与长序列依赖关系捕捉,通过Attention机制自适应加权关键时序特征,相较于传统CNN、LSTM及CNN-LSTM模型,预测效果得到了显著提升。
3)在模型预测结果的基础上,构建了泵送系统健康状态评价体系,开发了泵送系统健康状态预测平台。其能够实时展示泵送压力预测值和当前值的对比折线图,提供了一键预警及可视化参数分析,有效支持了施工现场的决策。
参考文献
混凝土喷射台车在京沈客专隧道施工中的应用
[J].
Application of concrete spraying trolleys in the construction of Beijing-Shenyang passenger high-speed railway tunnels
[J].
钻爆法隧道施工装备技术进展与展望
[J].
Technological advancements and prospects of drill and blast tunnel construction equipment
[J].
混凝土湿喷台车的生产应用现状及技术创新发展方向
[J].
Practical application status and technological innovation development direction of concrete wet-spraying trolley
[J].
隧道混凝土湿喷机配套施工工艺
[J].
Construction technology of wet spray machine for tunnel concrete
[J].
湿喷机在隧道施工中的应用
[J].
Application of wet spraying machine in tunnel engineering
[J].
基于尖点突变模型的地铁深基坑土压力预警阈值研究
[J].
Research on earth pressure warning threshold of subway deep excavation based on cusp catastrophe model
[J].
Fault diagnosis in a hydraulic directional valve using a two-stage multi-sensor information fusion
[J].
A fault diagnosis method for loose slipper failure of piston pump in construction machinery under changing load
[J].
基于小样本音频信号的柱塞泵故障诊断
[J].
Fault diagnosis of plunger pumps based on audio signal of small samples
[J].
Hydraulic pump fault diagnosis method based on EWT decomposition denoising and deep learning on cloud platform
[J].
基于LSTM和CNN的高速柱塞泵故障诊断
[J].
Cavitation fault diagnosis method for high-speed plunger pumps based on LSTM and CNN
[J].DOI:10.7527/S1000-6893.2020.23876 [本文引用: 1]
An adaptive deep learning model towards fault diagnosis of hydraulic piston pump using pressure signal
[J].
基于TFG-SVD-1DCNN的液压优先阀智能故障诊断方法
[J].
Intelligent fault diagnosis method of hydraulic priority valve based on TFG-SVD-1DCNN
[J].
湿喷台车的施工应用与常见问题处理方法
[J].
Construction application of wet jet trolley and solutions to common problems
[J].
浅谈混凝土湿喷机泵送系统问题及改进方案
[J].
Talking about the problems of pumping system of concrete wet sprayer and the improvement scheme
[J].
Quartiles in elementary statistics
[J].
A review on Kalman filter models
[J].
The CNN paradigm
[J].
Long short-term memory
[J].
Attention is all you need
[J].
/
| 〈 |
|
〉 |

