基于CNN-LSTM-Attention模型的湿喷台车泵送系统堵管故障预测方法 |
| 王开松,魏一鸣,唐威,郭旭华,李朝阳,邹俊 |
|
Fault prediction method of pipeline blockage in wet spray trolley pumping system based on CNN-LSTM-Attention model |
| Kaisong WANG,Yiming WEI,Wei TANG,Xuhua GUO,Zhaoyang LI,Jun ZOU |
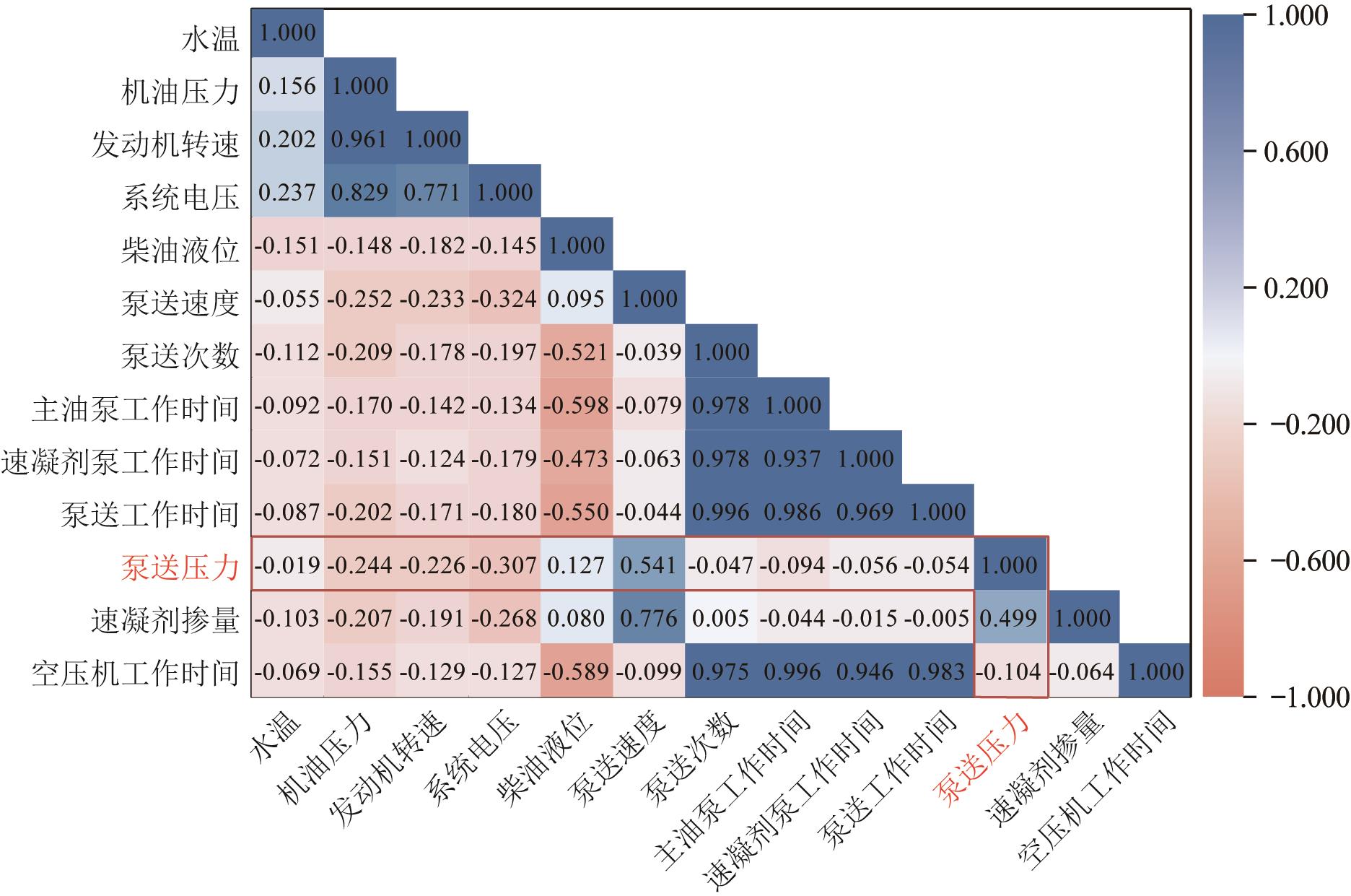
| 图4 泵送系统参数相关性计算结果 |
| Fig.4 Calculation results of parameter correlation for pumping system |
|