阴燃治理含油污泥反应特性的实验及模拟分析
Experimental and simulation analysis on reaction characteristic of smoldering treatment of oily sludge
通讯作者:
收稿日期: 2025-04-4
| 基金资助: |
|
Received: 2025-04-4
| Fund supported: | 浙江省自然科学基金资助项目(LY23E060002). |
作者简介 About authors
张烨(1998—),男,硕士生,从事固体废弃物处置的研究.orcid.org/0009-0002-7499-4944.E-mail:
针对现有含油污泥处置技术存在的成本高、难以兼顾无害化和资源化的问题,采用阴燃法处置含油污泥,探究处置效果以及在不同达西空气流速、热值条件下的阴燃特性差异,建立一维的含油污泥阴燃数值模型. 结果表明,阴燃处理后污泥中的污染物去除率大于99.7%,油回收率可达57.8%. 明确了污泥阴燃的平均峰值温度和传播速度与水的质量分数、达西空气流速、孔隙率的关系. 对比阴燃前、后的物质种类和质量分数变化并结合分子动力学模拟,发现阴燃过程的反应不仅涉及长链石油烃的裂化和短链石油烃的氧化,还包含石油烃的挥发、环化和芳构化、异构化等. 数值模拟结果表明,利用该模型,能够较好地模拟含油污泥阴燃过程的温度和速度,平均误差约为11%. 当达西空气流速和热值改变时,模拟结果与实验结果的阴燃速率变化趋势一致,模拟结果与实验结果在不同条件下符合较好.
关键词:
Smoldering treatment was applied to oily sludge to evaluate the disposal effectiveness and analyze the difference in smoldering characteristic under different Darcy air flow rate and heating value aiming at the problem of the high cost and the difficulty of simultaneously achieving harmlessness and resource recovery of existing oily sludge treatment technology. A one-dimensional numerical model of oily sludge smoldering was established. Results showed that the pollutant removal rate in the sludge exceeded 99.7% and the oil recovery rate reached 57.8% after smoldering treatment. The relationship of the average peak temperature and propagation velocity with the mass fraction of water, Darcy air flow rate, and porosity was analyzed. The types and mass fractions of substances before and after smoldering were compared by combining with molecular dynamics simulations. The reactions involved in the smoldering process include not only the cracking of long-chain petroleum hydrocarbons and the oxidation of short-chain hydrocarbons, but also volatilization, cyclization and aromatization, and isomerization of petroleum hydrocarbons. The numerical simulation results showed that the model could reasonably simulate the temperature and propagation velocity during oily sludge smoldering, with an average error of about 11%. The simulated trends in smoldering rate accorded with the experimental results when the Darcy air flow rate and heating value varied, and good agreement was obtained under different conditions.
Keywords:
本文引用格式
张烨, 籍龙杰, 李鸿炫, 刘鹏, 李书鹏, 冯时, 王进卿, 徐旭, 詹明秀.
ZHANG Ye, JI Longjie, LI Hongxuan, LIU Peng, LI Shupeng, FENG Shi, WANG Jinqing, XU Xu, ZHAN Mingxiu.
阴燃是缓慢、低温、无焰的燃烧形式,常发生于比表面积较大的多孔有机固体[8]. 在适当条件下,阴燃燃烧可以自我维持[9]. Zhao等[10]验证了阴燃处置含油污泥的可行性,明确回收油可资源化利用,探讨水的质量分数和物料配比对阴燃性能的影响. 杨高玄等[11-12]研究含油率、水的质量分数及介质粒径等参数对含油污泥阴燃的影响和石油烃降解效率. Gan等[13-14]探究水的质量分数、介质粒径、空气流速等对含油污泥阴燃的影响,分析回收油的成分. 雷大鹏等[15]的中试研究表明,阴燃处置后含油污泥中总石油烃的去除率可以大于98%. 目前,含油污泥阴燃的研究主要侧重污染物去除效果、影响因素以及热解过程元素迁移转化特性等[16],较少涉及含油污泥阴燃过程的反应机制和污染物降解路径. 此外,含油污泥阴燃的数值模拟工作开展较少,阴燃速率的预测结果存在较大的误差[14]. 开展含油污泥阴燃过程的反应机制、污染物迁移路径和含油污泥阴燃预测模型研究,可为其无害化、资源化处置提供理论支撑.
本研究旨在探究含油污泥处置的效果,探讨达西空气流速、热值、物料配比等关键参数对阴燃特性的影响,分析阴燃前、后物料的无害化和资源化程度,阐明含油污泥的阴燃反应机制. 构建优化的含油污泥阴燃数值模型,为阴燃温度和速率的精准预测提供理论依据.
1. 材料与方法
1.1. 实验原料
以某落地含油污泥为研究对象,利用元素分析仪和工业分析仪分析样品的成分,如表1所示. 含油污泥中固定碳的质量分数较小,占比为0.59%;灰分的质量分数较高,占比为55.48%;水分和挥发分的质量分数相近,质量占比分别为20.43%和23.50%;含油污泥中碳元素的质量分数为12.74%,与石油烃的主要成分特征相符[17-18]. 利用氧弹热量仪测定含油污泥的高位热值为11 178 kJ/kg. 利用气相色谱仪测定原始含油污泥中的石油烃组分,其烃类组成以正构烷烃为主,碳数主要分布在C17~C25. 其中二十烷(C20H42)的质量分数最高,达到15.73%;其次为十七烷(C17H36,8.12%)和二十二烷(C22H46,6.32%),同时检测到十八烷(5.60%)、二十四烷(5.65%)组分,如表2所示.
表 1 落地含油污泥的工业分析和元素分析
Tab.1
| 成分 | 元素分析 wad / % | 工业分析 wad / % | ||||||||
| C | H | O1) | N | S | 水分 | 灰分 | 挥发分 | 固定碳 | ||
| 注:1)由差减法测出. | ||||||||||
| 含油污泥 | 12.74 | 1.64 | 8.88 | 0.31 | 0.52 | 20.43 | 55.48 | 23.50 | 0.59 | |
表 2 原始含油污泥的石油烃种类及质量分数
Tab.2
| 成分 | wB / % | 成分 | wB / % | 成分 | wB / % | 成分 | wB / % | |||
| 2-丁烯 | 4.44 | 十六烷 | 3.36 | 1-十二烯 | 0.54 | 二十三烷 | 5.52 | |||
| 1-戊烯 | 1.42 | 2,6,10,14-四甲基十六烷 | 4.46 | 2,7,10-三甲基十二烷 | 0.45 | 二十四烷 | 5.65 | |||
| 1-己烯 | 1.00 | 十七烷 | 8.12 | 1-十三烯 | 0.61 | 二十五烷 | 5.36 | |||
| 1-庚烯 | 0.54 | 1-十七烯 | 0.87 | 十四烷 | 0.80 | 二十六烷 | 5.00 | |||
| 1-辛烯 | 0.44 | 十八烷 | 5.60 | 2,6,10-三甲基十五烷 | 1.52 | 二十八烷 | 4.07 | |||
| 1-壬烯 | 0.48 | 十九烷 | 5.06 | 十五烷 | 2.56 | 二十九烷 | 2.89 | |||
| 1-癸烯 | 0.65 | 二十烷 | 15.73 | 1-十五烯 | 1.00 | 四十四烷 | 4.36 | |||
| 1-十一烯 | 0.60 | 二十二烷 | 6.32 | 3-十六碳烯 | 0.55 | — | — |
1.2. 实验装置
阴燃实验装置如图1所示,由通气装置、加热装置、阴燃反应室、尾气冷凝和净化装置组成.
图 1
通气装置在反应器底部,进风口与空气压缩机管路连接,气流通过带有气孔的圆板进入阴燃反应室,确保反应气流的均匀性. 加热装置用于底部物料的初步加热和点火. 阴燃反应室用于装填含油污泥,在侧面每隔3 cm共布置9个K型热电偶TC1~TC9. 尾气从阴燃反应室排出后进入冷凝和净化装置,尾气先冷凝再回收. 通过硅胶吸收水分,用活性炭吸附异味,用碱性溶液吸收SO2和H2S酸性气体,排放到大气中[19].
1.3. 实验方法
称取实验所需的含油污泥和石英砂,混合均匀后填入阴燃反应室,连接各部分装置后,打开电阻加热器持续加热. 待TC1测量值达到200 ℃后打开通气装置,调节流量计向阴燃反应室供气. 继续观察TC1所测的温度,在TC1温度到达峰值并持续下降5 min后,关闭加热装置,收集所需样品待测. 使用Agilent 5977气相色谱质谱联用仪,参照HJ 1021-2019《土壤和沉积物石油烃(C10~C40)的测定气相色谱法》测试分析具体成分[20].
1.4. 数值模型
式中:R为反应速率,A为指前因子,E为活化能,Rg为通用气体常数,Ts为固体热力学温度,Ys为固体质量分数,
式中:
氧气的运输方程为
式中:Dg为氧气的扩散系数,
式中:
模型的初始条件如下:初始时刻t0反应器内的含油污泥质量分数为1,反应器内各处温度为室温,压力为大气压. 在底部入口边界x = 0 m处,氧气质量分数恒定为23%,在t1时刻前,不通入空气,t1时刻后,开始通入空气;在t2时刻前,入口边界处持续加热,t2时刻后停止加热. 出口处的空气压力恒定为大气压.
1.5. 分子动力学计算方法
图 2
2. 结果与讨论
2.1. 含油污泥治理的效果
含油污泥阴燃后的固体残渣占产物的60%,主要为含油污泥阴燃后剩余的灰分. 液体产物包含油分和水分,分别占6.5%和17.05%,源于含油污泥中的水分和有机物反应后的产物,其余16.45%为反应生成的不凝性气体,如CO、CO2.
含油污泥的主要污染物为石油烃[28],以阴燃前、后含油污泥中石油烃总质量的变化作为无害化程度评估依据. 原始含油污泥中的石油烃质量分数为11.25%,固体残渣的石油烃质量分数为0.01%~0.13%,均低于0.3%,实现了无害化处理. 根据尾气冷凝液中回收油的质量与原始油质量分数,计算得到油回收率为36%~57.8%,资源化效果良好. 热解技术需要外部持续加热注入能量,阴燃依靠燃料的自身反应放出热量,维持反应进行,部分油分在阴燃过程中消耗,导致无法回收更多的油分.
2.2. 含油污泥阴燃特性的影响因素
2.2.1. 水的质量分数
从图3可知,在达西空气流速为3 cm/s,热值为
图 3
图 3 阴燃点火时间随水质量分数的变化曲线
Fig.3 Curve of ignition time of smoldering with moisture mass fraction
图 4
图 4 平均峰值温度和阴燃速率随水质量分数的变化曲线
Fig.4 Variation curve of average peak temperature and propagation speed of smoldering with moisture mass fraction
2.2.2. 达西空气流速
不同达西空气流速下的阴燃峰值温度和阴燃速率如图5所示. 在水质量分数为20%,热值为11 178 kJ/kg的条件下,达西空气流速增加,平均阴燃峰值温度和阴燃速率与达西空气流速呈现出明显的线性关系.
图 5
图 5 平均峰值温度和阴燃速度随达西空气流速的变化曲线
Fig.5 Curve of average peak smoldering temperature and smoldering speed with Darcy air velocity variation
当达西空气流速从1 cm/s增加到5 cm/s时,平均阴燃峰值温度由630 K提升至825 K,阴燃速率从2.8 mm/min增长至3.8 mm/min. 这种正相关关系表明流速参数对反应动力学具有显著的调控作用. 达西空气流速的增加不仅通过增强氧气扩散系数加速了挥发分与固定碳的氧化反应,而且改变了多孔介质内的温度场分布特征. 高温反应区厚度随着流速的增大而扩展,这显著提高了反应前沿与未反应区域间的热量传递效率.
2.2.3. 含油污泥热值
热值直观反映了燃料燃烧时的放热能力,由于阴燃在点火后仅依靠燃料自身的反应放热维持阴燃推进,在阴燃的自维持研究中该指标有重要作用. 在水质量分数为20%,达西空气流速为3 cm/s的条件下,不同热值q的含油污泥阴燃平均峰值温度如图6所示. 随着热值的升高,平均峰值温度随之升高.
图 6
图 6 阴燃平均峰值温度与热值的关系曲线
Fig.6 Curve of relationship between smoldering average peak temperature and calorific value
热值低于2 235 kJ/kg的含油污泥均不能完全阴燃,以上述含油污泥为例,点火后仅有TC1和TC2的峰值温度超过400 ℃,其余测点温度均低于200 ℃且在点火的30 min后开始下降,阴燃逐渐熄灭. 这是由于该工况下含油污泥的热值较低,反应放热量持续小于系统的热损失,系统温度持续下降,进一步导致反应强度减弱,阴燃过程最终停止. 其余热值更高的含油污泥在点火后阴燃稳定,可以在反应器内传播完全,这些点火后可完全阴燃的污泥平均峰值温度与热值之间的关系为
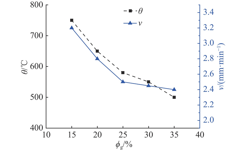
2.2.4. 孔隙率对阴燃特性的影响
改变含油污泥与石英砂的质量比以改变孔隙率,如图7所示为不同孔隙率下的阴燃特性差异图. 可以看出,阴燃平均峰值温度随着孔隙率的减小而升高. 这是因为低孔隙率意味着单位体积内的含油污泥更多,可燃物质量分数更高,放热量更大. 阴燃速率随着孔隙率的增大而增大,但孔隙率为25%和35%时的阴燃速率仅差0.13 mm/min,说明石英砂对含油污泥的传热和透气性能的改善作用较明显. 当孔隙率≤20%时,含油污泥占据主体,此时含油污泥几乎完全包裹石英砂,对阴燃速率的影响起主导作用,石英砂的作用较小.
图 7
图 7 阴燃平均峰值温度和传播速度随孔隙率的变化曲线
Fig.7 Curve of average peak temperature and propagation speed of smoldering with porosity variation
2.3. 含油污泥阴燃的污染物降解路径分析
含油污泥阴燃是动态过程,在不同区域可能同时存在多个过程. 例如在阴燃反应区,是富氧的,会发生氧化反应,在阴燃反应区前部,氧气量较少,可能会发生热解. 随着反应的推进,发生热解的区域在一段时间后可能会发生氧化. 除了热解和氧化,还可能有物质在反应区挥发而后在未反应区冷凝,或通入的空气带走部分未发生进一步反应的有机物. 为了深入探究阴燃过程,以原始含油污泥及阴燃产物成分和分子动力学模拟结果为依据,推断含油污泥阴燃过程的反应类型和污染物的降解路径,如图8所示.
图 8
图 8 含油污泥阴燃过程可能的污染物降解路径示意图
Fig.8 Schematic diagram of possible pollutant degradation pathway during smoldering process of oily sludge
表 3 含油污泥阴燃尾气冷凝液主要物质的质量分数
Tab.3
| 成分 | wB/% | 成分 | wB/% | |
| 丙烷 | 1.50 | 十三烷 | 3.21 | |
| 辛烷 | 2.45 | 1-十三烯 | 0.19 | |
| 壬烷 | 7.20 | 十四烷 | 1.66 | |
| 癸烷 | 10.43 | 十五烷 | 0.55 | |
| 十一烷 | 11.21 | 2,6-二甲基十一烷 | 1.34 | |
| 4-甲基癸烷 | 3.56 | 邻二甲苯 | 2.28 | |
| 十二烷 | 6.50 | — | — |
碳数分布变化揭示显著的裂化现象:原始物料中C1~C15组分占比为15.6%,经阴燃处理后尾气中占比升至78.44%;C16+组分占比从84.4%降至21.55%. 这种碳数分布逆转(尾气冷凝液呈C11中心对称分布,原始物料以C20为主)表明,长链烷烃发生选择性裂解. 实验检测到以丙烷为主的新生短链烃证实了该推断,推测C20烷烃在本实验工况下优先裂解至C11附近即发生迁移终止.
组分结构分析显示异构化特征:尾气中检出2-甲基壬烷、3,4-二甲基庚烷及其支链异构体以及邻/对二甲苯和芳构异构体. 对比原始物料以直链烷烃为主的特征,推断高温条件(300~500 ℃)促使分子结构重排. 这类转化仅改变分子结构而未改变相对分子质量.
尾气中的环状化合物包括环烷烃(如乙基环己烷)、单环芳烃(甲苯、二甲苯)及多环芳烃(茚、萘),生成过程符合自由基反应路径:长链裂解产生的·C2H3自由基在高于500 ℃的高温区发生环化缩合,形成热力学更稳定的环状结构,该过程与文献[30]的多环芳烃生成机理一致.
质量平衡计算显示,42.2%~64%的石油烃经完全氧化生成CO2/H2O. 残渣油分检测与冷凝液完全回收的实验结果证实,氧化是阴燃过程的主要转化途径. 氧化反应贯穿于阴燃的各个阶段,与挥发、裂化过程形成竞争关系[21].
图 9
图 9 不同温度下含碳组分质量分数以及4 000 K温度下H2数量和产物总数等温模拟变化的统计
Fig.9 Statistics of carbon-containing mass fraction at different temperature and isothermal evolution of number of H2 and total amount of product at 4 000 K
在3 000 K条件下(见图9(a)),体系在70 ps时发生初始分解,120ps时C16+与C5~C15的质量分数达到平衡. 此后C5~C15成为主导产物(>50%),显著高于C1~C4(约20%)及C16+(终值>30%). 该温度特征表明:分解反应不彻底,残留C16+组分;中长链产物(C5~C15)具有较高的热稳定性,抑制了进一步裂解为C1~C4小分子.
当温度升至3 500 K(见图9(b))时,分解起始时间提前至25 ps,C16+在80 ps后迅速耗尽(终值≈0). 在75、90、130 ps等时间节点出现C1~C4质量分数超过C5~C15的现象,表明高温显著促进C—C键断裂,但动态平衡下中长链产物保持相对优势.
4 000 K条件下的演化(见图9(c))呈现加速特征:C16+在70 ps后完全消失,C5~C15与C1~C4在75 ps后趋近平衡(质量分数均为40%). 该温度下系统产生大量的以甲烷、乙烯为主的小分子产物,其高反应活性暗示在氧化环境中可能引发CO2的快速生成. 温度从3 500 K升至4 000 K对产物分布的影响弱化,提示该温区可能接近热解反应的特征温度.
分析4 000 K体系(见图9(d))可知,产物总数随反应时间单调递增至稳定值,证实裂解反应主导于交联过程,同时H2生成量持续增长. 结合产物分布特征,表明自由基浓度的上升促进了环烃/芳烃的生成. 此反应路径可能显著提升体系在氧化条件下的H2O生成倾向.
2.4. 阴燃模拟结果
2.4.1. 达西空气流速为2 cm/s的模拟结果
当达西空气流速为2 cm/s时,含油污泥的阴燃模拟结果与实验结果的对比如图10所示. 其中,实线表示实验中记录的温度曲线,虚线表示相同工况下模拟结果的温度曲线,颜色相同的线条表示反应器内同一位置的温度曲线.
图 10
图 10 含油污泥阴燃模拟与实验结果的对比
Fig.10 Comparison between simulation and experimental result of oily sludge smoldering
对比模拟结果和实验结果可知,模拟结果基本复现了实验中的升温过程,峰值温度和阴燃速率与实验结果相近,符合较好,其中阴燃速率的结果相较于已有的含油污泥阴燃模型更优[14],误差更小.
模拟结果的峰值温度大多略高于实验结果,可能的原因是模型中仅考虑了一步简单氧化反应. 由于含油污泥阴燃过程的反应复杂,除了氧化放热,还有热解及水分蒸发的吸热过程,此类过程会降低平均峰值温度. 文献中简化为一步氧化反应的活性炭阴燃模拟温度与实验符合程度高[24],其原因是颗粒活性炭90%以上为固定碳,与纯碳发生的氧化反应更接近.
为了量化模拟结果与实验结果的误差,确定数值模型的可靠性,以相同的权重从平均峰值温度、平均阴燃速率、温度-时间曲线、温度-距离曲线4个方面计算模拟结果与实验的误差,计算公式如下:
式中:Texp为实验平均峰值温度,Tnum为数值模拟平均峰值温度,vexp为实验平均阴燃速率,vnum为数值模拟平均阴燃速率,NRMSDT(t)为温度–时间曲线的归一化均方根偏差,NRMSDT(x)为温度–空间曲线的归一化均方根偏差. 平均归一化均方根偏差使用文献[23]的方法计算,得到平均误差约为11%.
2.4.2. 达西空气流速对模拟结果的影响
当其他条件不变,达西空气流速改变时,阴燃平均峰值温度和阴燃传播速率的模拟结果与实验结果的对比如图11所示.
图 11
图 11 达西空气流速改变时平均峰值温度和阴燃速率模拟结果和实验结果的差异
Fig.11 Difference of simulation and experimental result in average peak temperature and smoldering rate with variation of Darcy air velocity
随着达西空气流速的增加,阴燃平均峰值温度和阴燃传播速率的模拟结果随达西空气流速的变化趋势和实验结果是一致的,平均峰值温度的模拟结果的误差小于10%. 阴燃速率的模拟结果随着达西空气流速的增大而近似线性增加,但实验结果对该条件的变化更敏感,当达西空气流速增大时,实验中的阴燃速率变化更大. 其原因是模拟中的化学反应简化较多,而实际上非常复杂,在平均峰值温度较高的情况下,模拟反应速率与实际反应速率的差距较大,阴燃速率的差异稍大.
2.4.3. 热值对模拟结果的影响
如图12所示为热值改变时阴燃平均峰值温度的模拟结果与实验结果的差异. 可以看出,阴燃平均峰值温度和阴燃传播速率的模拟结果与实验结果在污泥热值改变时均符合较好.
图 12
图 12 不同热值的平均峰值温度和阴燃速率模拟值和实验值的差异
Fig.12 Difference of simulation and experimental result in average peak temperature and smoldering rate of different calorific value
对于较低的热值,如2 235 kJ/kg的污泥,利用该模型可以模拟点火后不能完全传播的现象,表明该模型对预测污泥能否阴燃有一定的作用.
3. 结 论
(1)阴燃后的含油污泥中石油烃质量分数低于0.3%,污染物去除率大于99.7%,无害化程度高,油回收率可达57.8%,资源化程度良好. 水的质量分数对点火时间的影响较大. 达西空气流速的提高对阴燃平均峰值温度的影响显著. 含油污泥热值对阴燃点火的影响较小,对阴燃能否传播完全的影响较大.
(2)对比阴燃前、后产物种类和质量分数变化并结合分子动力学模拟可见,含油污泥阴燃过程发生的反应众多并且产物复杂. 主要涉及的反应有长链石油烃的裂化和短链石油烃的氧化,还包含石油烃的挥发、环化和芳构化过程,并给出可能的反应路径.
(3)建立的含油污泥阴燃数值模型模拟结果与实验结果较接近,模型的平均误差约为11%. 当达西空气流速和含油污泥热值改变时,模拟结果的阴燃平均峰值温度和阴燃传播速率变化趋势与实验结果一致,结果符合较好. 含油污泥的阴燃传播速率对达西空气流速的敏感性较高,当达西空气流速增大时,模拟结果的误差稍大.
参考文献
含油污泥处置技术的新发展及其应用现状
[J].DOI:10.13578/j.cnki.issn.1671-1556.2018.03.017 [本文引用: 1]
A review of the technological solutions for the treatment of oily sludges from petroleum refineries
[J].DOI:10.1177/0734242X12448517 [本文引用: 1]
Recent development in the treatment of oily sludge from petroleum industry: a review
[J].DOI:10.1016/j.jhazmat.2013.07.069 [本文引用: 1]
Development and application of disposal techniques on oil sludge
[J].DOI:10.13578/j.cnki.issn.1671-1556.2018.03.017 [本文引用: 1]
Thin-film cracking of acid tars
[J].DOI:10.1134/S0965544112040135 [本文引用: 1]
阴燃技术在土壤修复中应用的中试
[J].DOI:10.3969/j.issn.1003-6490.2019.10.027 [本文引用: 1]
Pilot test of smoldering technology applied in soil remediation
[J].DOI:10.3969/j.issn.1003-6490.2019.10.027 [本文引用: 1]
采用异位阴燃修复技术处理含油固废中试实验
[J].DOI:10.12030/j.cjee.202108168 [本文引用: 1]
Pilot studies on treatment of oily solid waste with ex situ smoldering remediation technology
[J].DOI:10.12030/j.cjee.202108168 [本文引用: 1]
含油污泥阴燃处理技术研究与进展
[J].DOI:10.11949/0438-1157.20191085 [本文引用: 1]
Research and progress of smoldering combustion technology for oily sludge
[J].DOI:10.11949/0438-1157.20191085 [本文引用: 1]
STARx Hottpad for smoldering treatment of waste oil sludge: proof of concept and sensitivity to key design parameters
[J].
Method of smoldering combustion for refinery oil sludge treatment
[J].DOI:10.1016/j.jhazmat.2020.124995 [本文引用: 1]
阴燃处理华北油田含油污泥的研究
[J].DOI:10.3969/j.issn.1671-3206.2022.02.005 [本文引用: 1]
Study on the treatment of oily sludge in North China oilfield by smoldering
[J].DOI:10.3969/j.issn.1671-3206.2022.02.005 [本文引用: 1]
Experimental investigation on smoldering combustion for oil sludge treatment: influence of key parameters and product analysis
[J].DOI:10.1016/j.fuel.2022.123354 [本文引用: 1]
工程化阴燃技术治理含油污泥工程示范
[J].DOI:10.13205/j.hjgc.202210020 [本文引用: 1]
A demonstration project of oil sludge treatment with engineered smoldering technology
[J].DOI:10.13205/j.hjgc.202210020 [本文引用: 1]
Characterization of oily sludge from a Tehran oil refinery
[J].DOI:10.1177/0734242X09345794 [本文引用: 1]
Element speciation analysis of petroleum and related materials
[J].DOI:10.1039/b817888g [本文引用: 1]
Alkaline absorbents for SO2 and SO3 removal: a comprehensive review
[J].DOI:10.1016/j.jenvman.2024.121532 [本文引用: 1]
An accelerated solvent extraction and gas chromatography-flame ionization detector method to rapidly determining and assessing total petroleum hydrocarbon contamination in soil from Fushan oilfield, China
[J].DOI:10.1007/s11356-020-09418-4 [本文引用: 1]
Experimental investigation on the destruction rates of organic waste with high moisture content by means of self-sustained smoldering combustion
[J].DOI:10.1016/j.proci.2016.07.052 [本文引用: 3]
Determination of the interfacial heat transfer coefficient between forced air and sand at Reynold’s numbers relevant to smouldering combustion
[J].DOI:10.1016/j.ijheatmasstransfer.2017.06.020 [本文引用: 3]
Understanding pressure changes in smouldering thermal porous media reactors
[J].DOI:10.1016/j.cej.2021.128642 [本文引用: 3]
Processes defining smouldering combustion: integrated review and synthesis
[J].DOI:10.1016/j.pecs.2020.100869 [本文引用: 1]
ReaxFF molecular dynamics simulations of thermal reactivity of various fuels in pyrolysis and combustion
[J].
Atomic-scale insight into the pyrolysis of polycarbonate by ReaxFF-based reactive molecular dynamics simulation
[J].DOI:10.1016/j.fuel.2020.119484 [本文引用: 1]
Oil sludge treatment processes
[J].DOI:10.1007/s10553-015-0632-7 [本文引用: 1]
Smouldering combustion as a treatment technology for faeces: exploring the parameter space
[J].DOI:10.1016/j.fuel.2015.01.055 [本文引用: 1]
Atmospheric polycyclic aromatic hydrocarbons: source attribution, emission factors and regulation
[J].DOI:10.1016/j.atmosenv.2007.12.010 [本文引用: 1]
/
| 〈 |
|
〉 |

