Please wait a minute...
Journal of ZheJiang University (Engineering Science)  2026, Vol. 60 Issue (4): 876-886    DOI: 10.3785/j.issn.1008-973X.2026.04.019
    
Prediction of lane-changing behavior integrating multi-vehicle style perception and interaction features
Zeyi HAN(),Wenxuan WANG*(),Yuanqing WANG
School of Transportation Engineering, Chang’an University, Xi’an 710064, China
Download: HTML     PDF(3155KB) HTML
Export: BibTeX | EndNote (RIS)      

Abstract  

A comprehensive lane-change prediction method integrating driving style recognition, vehicle characteristics, interaction features, traffic flow characteristics, and truck ratio was proposed, in order to address the limitations of existing lane-change prediction models in modeling the multi-vehicle driving styles of lane-changing and surrounding vehicles and their interaction features, as well as their insufficient consideration of the influencing factors of lane-changing behavior. Based on the HighD dataset, basic and interaction features of lane-changing and surrounding vehicles were extracted, and statistical indicators under different time windows were calculated. Principal component analysis and K-means clustering were employed to quantify multi-vehicle driving styles during lane-changing. Subsequently, Long Short-Term Memory (LSTM) networks and double-layer Convolutional Neural Networks (2-CNN) were used to compare predictive performance across time windows. Results showed that incorporating multi-vehicle driving styles and interaction features improved accuracy by 5.64%, with the LSTM achieving a maximum F1-score of 99.26% under a 2.0-second window. Furthermore, the combined contribution of vehicle length, truck ratio, traffic density, and the interaction-aware driving style features of lane-changing vehicles reached 11.08%. Overall, the proposed method enhanced the accuracy of lane-change behavior prediction and the interpretability of influencing factors, providing insights for autonomous driving and traffic management.



Key wordsprediction of lane-changing behavior      LSTM model      HighD data      vehicle interaction characteristics      traffic flow characteristics      driving style     
Received: 23 April 2025      Published: 19 March 2026
CLC:  U 491.2  
Fund:  国家自然科学基金资助项目(52362050);陕西省重点研发计划资助项目(2024GX-ZDCYL-02-14,2025SF-GJHX2-13);陕西省自然科学基金青年科学基金资助项目(2025JC-YBQN-519);陕西省秦创原引用高层次创新创业人才项目(QCYRCXM-2023-110);中国博士后科学基金资助项目(2024M752739);长安大学青年学者学科交叉团队建设项目(300104240924);陕西省三秦英才引进计划-优秀青年工程技术人才项目.
Corresponding Authors: Wenxuan WANG     E-mail: 2025034008@chd.edu.cn;wangwenxuan123@chd.edu.cn
Cite this article:

Zeyi HAN,Wenxuan WANG,Yuanqing WANG. Prediction of lane-changing behavior integrating multi-vehicle style perception and interaction features. Journal of ZheJiang University (Engineering Science), 2026, 60(4): 876-886.

URL:

https://www.zjujournals.com/eng/10.3785/j.issn.1008-973X.2026.04.019     OR     https://www.zjujournals.com/eng/Y2026/V60/I4/876


融合多车风格感知与交互特征的换道行为预测

现有换道预测模型未能有效建模换道车辆与周围车辆的多车驾驶风格及车辆交互特征,且对换道行为影响因素考虑不足. 为此,提出综合驾驶风格识别、车辆特征、交互特征、交通流特征、货车比例的换道行为预测方法. 基于HighD数据集,提取换道车辆及周围车辆的基础特征和交互特征,并计算不同窗口时间下的统计学指标,通过主成分分析与K-means聚类量化换道多车驾驶风格. 使用长短时记忆网络模型和双层卷积神经网络模型对不同时间窗口下的预测性能进行比较. 结果显示,多车驾驶风格及车辆交互特征建模使预测精度提升了5.64%;长短时记忆模型在2.0 s时间窗口下的F1值最高,为99.26%;车辆长度、货车比例、交通流密度与考虑车辆交互特征的换道车辆驾驶风格的联合特征贡献率达11.08%. 结果表明,所提出的换道行为预测方法能有效提升预测的准确性,并增强对换道行为影响因素的可解释性,为自动驾驶与交通管理提供参考.


关键词: 换道行为预测,  LSTM模型,  HighD数据,  车辆交互特征,  交通流特征,  驾驶风格 
Fig.1 LSTM neural network transfer diagram
Fig.2 2-CNN neural network transfer diagram
Fig.3 Schematic diagram for determining starting point of lane-changing behavior
实际行为识别结果
真实行为其他行为
真实行为TP(真正例)FN(假负例)
其他行为FP(假正例)TN(真负例)
Tab.1 Confusion matrix classification
Fig.4 Position relationship between target vehicle and surrounding vehicles
T/sAcc/%P/%R/%F1/%
LSTM2-CNNLSTM2-CNNLSTM2-CNNLSTM2-CNN
1.098.8199.2198.2199.5096.0796.7197.1398.09
1.598.9299.0697.1597.1597.8598.5897.5097.86
2.098.6098.6496.6996.1796.1796.9396.4296.55
2.598.6298.4096.4697.5495.8893.4796.1695.46
3.098.2698.6294.3395.3194.3395.7094.3295.50
3.598.1198.5293.6694.9892.9194.5393.2894.75
4.098.5598.4793.6895.0695.9893.8294.8294.43
4.598.1098.4296.6398.2288.8889.8392.5893.84
5.098.4598.9194.0997.5091.6192.3792.8294.86
Tab.2 Prediction results of LSTM and 2-CNN models without considering driving style
Fig.5 Spearman correlation analysis heatmap of 24 characteristic variables
Fig.6 Clustering results of driving styles in different time windows
T/s轮廓系数Calinski-Harabasz值Davies-Bouldin值
1.00.5402 249.7090.861
1.50.5442 273.5680.851
2.00.5912 659.6160.781
2.50.5962 696.0600.786
3.00.5952 672.8580.793
3.50.5912 605.5920.814
4.00.5882 538.2920.817
4.50.5842 488.8840.837
5.00.5802 444.6020.852
Tab.3 Evaluation indicators for effectiveness of driving style clustering under different window times
Fig.7 F-values and P-values of feature variables tested by ANOVA under 2.0-second window time
超参数描述取值
activation激活函数relu
alphaL2正则化参数0.01
batch_size每次更新模型权重时所使用的样本数16
hidden_layer_sizes隐藏层的结构配置(100, 50)
learning_rate_init初始学习率0.001
Tab.4 Optimal hyperparameter setting for LSTM model considering driving style
超参数描述取值
filters卷积核数量32
kernel_size卷积核大小5
dense_units全连接层中神经元数量64
learning_rate学习率0.001
Tab.5 Optimal hyperparameter setting for 2-CNN model considering driving style
T/sAcc/%P/%R/%F1/%
LSTM2-CNNLSTM2-CNNLSTM2-CNNLSTM2-CNN
1.099.0397.7295.9596.3397.8389.2796.8892.68
1.599.3698.3598.7597.2897.5996.4298.1796.85
2.099.7498.2798.9697.1499.5795.8499.2696.48
2.599.7398.9598.9096.4699.5796.5099.2396.48
3.099.5498.0398.5894.3798.8395.1198.7194.74
3.599.5697.5999.7892.7797.3491.1198.5491.93
4.099.5297.4798.1193.7397.5087.3197.8090.40
4.599.3797.5099.0495.2595.2682.6097.1188.34
5.098.5998.1192.2594.3591.2387.2491.7290.64
Tab.6 Prediction results of LSTM and 2-CNN models considering driving style
Fig.8 Comparison of F1-score performance of LSTM and 2-CNN models with driving style versus without driving style
模型t-statisticp-value
LSTM?2.49940.0237
2-CNN2.20570.0424
Tab.7 T-test results of LSTM and 2-CNN models
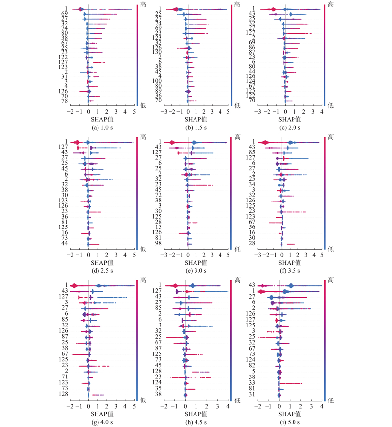
Fig.9 Relationship between SHAP value and individual feature variable at different window times
No.T/s
1.01.52.02.53.03.54.04.55.0
121
1221119
123137121518
124161814
1251817151314138
1261891513181296
127126234327
1282016
129
13010
Tab.8 Influence ranking of vehicle length, traffic flow, and driving style features among top 20 high contribution features in each window period
RankNo.$\overline{\rm{SHAP}} $Co/%RankNo.$\overline{\rm{SHAP}} $Co/%
111.27919.3811230.1592.41
2430.94114.261260.1592.41
3250.6249.4613800.1432.17
4320.3835.8214440.1412.14
5270.3104.70151260.1221.86
61270.2874.36161240.1191.81
720.2363.5917670.0921.39
8690.2213.36181250.0731.11
9860.1792.72191220.0721.10
10870.1692.5620700.0661.00
Tab.9 Top 20 features with highest contribution values under 2.0-second window time
[1]   NHTSA. Traffic safety facts 2020: a compilation of motor vehicle crash data from the fatality analysis reporting system and the general estimates system [R]. Washington, DC: National Highway Traffic Safety Administration, 2022.
[2]   ZHANG Y, ZOU Y, XIE Y, et al Identifying dynamic interaction patterns in mandatory and discretionary lane changes using graph structure[J]. Computer-Aided Civil and Infrastructure Engineering, 2024, 39 (5): 638- 655
doi: 10.1111/mice.13099
[3]   ZHANG C, WANG W, CHEN Z, et al Shareable driving style learning and analysis with a hierarchical latent model[J]. IEEE Transactions on Intelligent Transportation Systems, 2024, 25 (9): 11471- 11484
doi: 10.1109/TITS.2024.3374771
[4]   WANG Y, QU W, GE Y, et al Effect of personality traits on driving style: psychometric adaption of the multidimensional driving style inventory in a Chinese sample[J]. PLoS One, 2018, 13 (9): e0202126
doi: 10.1371/journal.pone.0202126
[5]   ADAVIKOTTU A, VELAGA N R Modeling the impact of driving aggression on lane change performance measures: steering compensatory behavior, lane change execution duration and crash probability[J]. Transportation Research Part F: Traffic Psychology and Behaviour, 2024, 103: 526- 553
doi: 10.1016/j.trf.2024.05.001
[6]   MOZAFFARI S, ARNOLD E, DIANATI M, et al Early lane change prediction for automated driving systems using multi-task attention-based convolutional neural networks[J]. IEEE Transactions on Intelligent Vehicles, 2022, 7 (3): 758- 770
doi: 10.1109/TIV.2022.3161785
[7]   XU T, ZHANG Z, WU X, et al Recognition of lane-changing behaviour with machine learning methods at freeway off-ramps[J]. Physica A: Statistical Mechanics and Its Applications, 2021, 567: 125691
doi: 10.1016/j.physa.2020.125691
[8]   KHELFA B, BA I, TORDEUX A Predicting highway lane-changing maneuvers: a benchmark analysis of machine and ensemble learning algorithms[J]. Physica A: Statistical Mechanics and Its Applications, 2023, 612: 128471
doi: 10.1016/j.physa.2023.128471
[9]   XUE Q, XING Y, LU J An integrated lane change prediction model incorporating traffic context based on trajectory data[J]. Transportation Research Part C: Emerging Technologies, 2022, 141: 103738
doi: 10.1016/j.trc.2022.103738
[10]   GONAH N, SALAMA H, ALI M, et al An evaluation of the impact of truck-lane restriction strategies on traffic operation characteristics[J]. Innovative Infrastructure Solutions, 2025, 10 (4): 130
doi: 10.1007/s41062-025-01928-9
[11]   ROH C G, JEON H, SON B Do heavy vehicles always have a negative effect on traffic flow?[J]. Applied Sciences, 2021, 11 (12): 5520
doi: 10.3390/app11125520
[12]   KESTING A, TREIBER M, HELBING D General lane-changing model MOBIL for car-following models[J]. Transportation Research Record: Journal of the Transportation Research Board, 2007, 1999 (1): 86- 94
doi: 10.3141/1999-10
[13]   TOLEDO T, KOUTSOPOULOS H N, BEN-AKIVA M E Modeling integrated lane-changing behavior[J]. Transportation Research Record: Journal of the Transportation Research Board, 2003, 1857 (1): 30- 38
doi: 10.3141/1857-04
[14]   LI C, CHEN H, XIONG Y, et al Analysis of Chinese typical lane change behavior in car–truck heterogeneous traffic flow from UAV view[J]. Electronics, 2022, 11 (9): 1398
doi: 10.3390/electronics11091398
[15]   JIA Y, ZHANG Z, LI X, et al Driving style tendency quantification method based on short-term lane change feature extraction[J]. Sustainability, 2025, 17 (8): 3563
doi: 10.3390/su17083563
[16]   ZHANG Y, CHEN Y, GU X, et al A proactive crash risk prediction framework for lane-changing behavior incorporating individual driving styles[J]. Accident Analysis and Prevention, 2023, 188: 107072
[17]   GAO K, LI X, HU L, et al Instantaneous lane-changing type aware lane change prediction based on LSTM in mixed traffic scenario[J]. Journal of Circuits, Systems and Computers, 2022, 31 (10): 2250180
doi: 10.1142/S0218126622501808
[18]   CHEN S, PIAO L, ZANG X, et al Analyzing differences of highway lane-changing behavior using vehicle trajectory data[J]. Physica A: Statistical Mechanics and Its Applications, 2023, 624: 128980
doi: 10.1016/j.physa.2023.128980
[19]   KRAJEWSKI R, BOCK J, KLOEKER L, et al. The highD dataset: a drone dataset of naturalistic vehicle trajectories on German highways for validation of highly automated driving systems [C]// International Conference on Intelligent Transportation Systems. Maui: IEEE, 2018: 2118–2125.
[20]   ARBELAITZ O, GURRUTXAGA I, MUGUERZA J, et al An extensive comparative study of cluster validity indices[J]. Pattern Recognition, 2013, 46 (1): 243- 256
doi: 10.1016/j.patcog.2012.07.021
[21]   BERGSTRA J, BENGIO Y Random search for hyper-parameter optimization[J]. Journal of Machine Learning Research, 2012, 13: 281- 305
[1] Shu WANG,Haichuan ZHANG,Cangyan GUO,Xuan ZHAO,Huixin GUO. Vehicle’s four-wheel steering and direct yaw moment control considering driving styles[J]. Journal of ZheJiang University (Engineering Science), 2025, 59(9): 1942-1953.
[2] Pan LI,Bing ZHOU,Tian CHAI,Yuan DENG,Qianxi PAN,Xiaojian WU. Vehicle obstacle avoidance control system considering driving style[J]. Journal of ZheJiang University (Engineering Science), 2024, 58(7): 1377-1386.