Please wait a minute...
Journal of ZheJiang University (Engineering Science)  2025, Vol. 59 Issue (12): 2459-2471    DOI: 10.3785/j.issn.1008-973X.2025.12.001
    
Improving ToF accuracy of echo signals using improved Kalman filtering
Yuhao CHEN(),Jin WU*(),Yifeng LI,Xiaoxia LU,Yiyuan WANG
College of Civil Aviation, Nanjing University of Aeronautics and Astronautics, Nanjing 211106, China
Download: HTML     PDF(5683KB) HTML
Export: BibTeX | EndNote (RIS)      

Abstract  

The ultrasonic echo signals from pavement coverings (water/ice/snow) typically exhibited low signal-to-noise ratio (SNR), making it challenging to accurately extract the onset point and thus affecting the time-of-flight (ToF) estimation precision. To address this issue, a total variation and Bayesian-based adaptive Kalman filtering (TV-BAKF) method was proposed. The method employed total variation analysis to assess noise distribution within a sliding window, deriving a differential factor that reflected both noise levels and signal characteristics. Combined with Bayesian estimation, it dynamically adjusted the process noise covariance and measurement noise covariance. Simulation tests were conducted and comparative analysis was performed with other filtering methods (improved wavelet transform, improved Savitzky-Golay (S-G) filter, Adaptive Unscented Kalman Filter (AUKF), and Variational Bayesian Adaptive Kalman Filter (VBAKF)), and the results showed that the TV-BAKF method maintained signal smoothness while achieving 0.915 rad phase fidelity and 0.917 amplitude fidelity, respectively, with favorable noise removal performance and a mean square error below 0.342. Testing on five types of coverings (water, ice, slush, wet snow, and dry snow) showed average depth detection errors below 0.55 mm for ice, water, and slush and no more than 0.96 mm for wet snow and dry snow, confirming its high-precision ToF estimation capability for low-SNR conditions .



Key wordswater/ice/snow depth      ultrasonic echo signal      adaptive Kalman filtering      total variation method      Bayesian estimation     
Received: 21 May 2025      Published: 25 November 2025
CLC:  TB 551  
Fund:  机场跑道表面冰/雪/水自动化检测评估技术(SA152);2025年江苏省研究生科研与实践创新计划资助项目(KYCX25_0616).
Corresponding Authors: Jin WU     E-mail: 992535572@qq.com;wujin@nuaa.edu.cn
Cite this article:

Yuhao CHEN,Jin WU,Yifeng LI,Xiaoxia LU,Yiyuan WANG. Improving ToF accuracy of echo signals using improved Kalman filtering. Journal of ZheJiang University (Engineering Science), 2025, 59(12): 2459-2471.

URL:

https://www.zjujournals.com/eng/10.3785/j.issn.1008-973X.2025.12.001     OR     https://www.zjujournals.com/eng/Y2025/V59/I12/2459


利用改进卡尔曼滤波提高回波信号ToF精度

道面覆盖物(水/冰/雪)的超声波回波信号信噪比(SNR)较低,导致起振点难以准确提取,影响渡越时间(ToF)的估计精度. 为此,提出基于总变差和贝叶斯估计的自适应卡尔曼滤波方法(TV-BAKF). 该方法利用总变差法分析滑动窗口内的噪声分布,获取反映信号噪声水平和特征的差分因子,并结合贝叶斯估计动态调整过程噪声协方差和测量噪声协方差. 进行仿真测试,并与其他滤波方法(改进小波变换、改进Savitzky-Golay(S-G)滤波、自适应无迹卡尔曼滤波(AUKF)、变分贝叶斯自适应卡尔曼滤波 (VBAKF))的效果进行对比. 结果表明,TV-BAKF在兼顾滤波后信号平滑度的同时,相位和幅值保真度分别达0.915 rad和0.917,且噪声滤除效果较好,均方误差低于0.342. 对5类覆盖物(水、冰、雪浆、湿雪和干雪)的测试表明,TV-BAKF对冰、水和雪浆的深度检测的平均误差小于0.55 mm,对湿雪和干雪的平均误差不超过0.96 mm,验证了其在低信噪比条件下ToF估计的高精度特性.


关键词: 水/冰/雪深度,  超声波回波信号,  自适应卡尔曼滤波,  总变差法,  贝叶斯估计 
Fig.1 Effects of different QR value combinations on filtering results (amplitude, SNR, and phase delay)
Fig.2 Framwork of TV-BAKF algorithm
Fig.3 Modeling of ultrasonic narrow band echo signals across varying SNR values
Fig.4 Low-temperature laboratory, covering material samples, and experimental setup images
Fig.5 Transaction model selection workflow
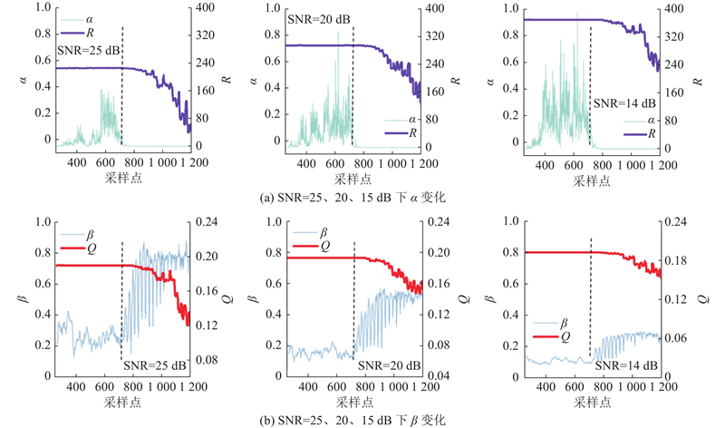
Fig.6 Variations of Kalman filter key parameters under three signal-to-noise ratios
Fig.7 Forgetting factor value α and β under three SNR values
Fig.8 P and K values and filtering performance under four Q and R initial parameter combinations
Fig.9 Lissajous diagrams of different Kalman filter methods with various Q and R combination
SNR/dBMSE$ {J_{{\text{smooth}}}} $$ {J_{{\text{phase}}}} $/rad$ {J_{{\text{amp}}}} $
改进小波变换250.0134.340.0650.975
200.0788.420.0840.943
140.51318.270.1080.922
改进S-G滤波250.0256.240.0620.946
200.16813.160.1040.914
140.82122.030.1710.881
UAKF250.0223.190.0820.928
200.1028.130.1510.877
140.69817.240.2450.823
VBAKF250.0152.140.0520.938
200.0925.320.2340.897
140.44615.880.2080.843
TV-BAKF250.0152.770.0420.984
200.0636.530.0940.947
140.34217.320.1450.917
Tab.1 Evaluation of filtering performance via five filtering methods
Fig.10 Sesearch process on SNR and waveform characteristics of different coverings (water, ice, slush, wet snow, dry snow and mixed covering)
Fig.11 Estimation results of waveform onset point by three filtering methods
Fig.12 Scatter plots of depth calculation error versus SNR for five coverings using five filtering methods
Fig.13 Violin plots of depth errors for five surface coverings under five filtering methods
[1]   KLEIN-PASTE A, BUGGE H J, HUSEBY A B A decision support model to assess the braking performance on snow and ice contaminated runways[J]. Cold Regions Science and Technology, 2015, 117: 43- 51
doi: 10.1016/j.coldregions.2015.06.002
[2]   JIANG B, WANG H An integrated analytical model for friction characteristics of aircraft tire on wet runway pavement[J]. Tribology International, 2023, 185: 108501
doi: 10.1016/j.triboint.2023.108501
[3]   ZHU X, YANG Y, ZHAO H, et al Effects of surface texture deterioration and wet surface conditions on asphalt runway skid resistance[J]. Tribology International, 2021, 153: 106589
doi: 10.1016/j.triboint.2020.106589
[4]   GUDRA T, NAJWER L Ultrasonic investigation of snow and ice parameters[J]. Acta Physica Polonica A, 2011, 120 (4): 625- 629
doi: 10.12693/APhysPolA.120.625
[5]   BYSTROV A, HOARE E, TRAN T Y, et al Road surface classification using automotive ultrasonic sensor[J]. Procedia Engineering, 2016, 168: 19- 22
doi: 10.1016/j.proeng.2016.11.119
[6]   RYAN W A, DOESKEN N J, FASSNACHT S R Evaluation of ultrasonic snow depth sensors for U. S. snow measurements[J]. Journal of Atmospheric and Oceanic Technology, 2008, 25 (5): 667
doi: 10.1175/2007JTECHA947.1
[7]   HERMAN K, GUDRA T, OPIELIŃSKI K, et al A study of a parametric method for the snow reflection coefficient estimation using air-coupled ultrasonic waves[J]. Sensors, 2020, 20 (15): 4267
doi: 10.3390/s20154267
[8]   ZHANG M, LI M, ZHANG J, et al Onset detection of ultrasonic signals for the testing of concrete foundation piles by coupled continuous wavelet transform and machine learning algorithms[J]. Advanced Engineering Informatics, 2020, 43: 101034
doi: 10.1016/j.aei.2020.101034
[9]   LIU C W, FANG Z H, HU L, et al A method to avoid the cycle-skip phenomenon in time-of-flight determination for ultrasonic flow measurement[J]. Journal of Zhejiang University: Science A, 2021, 22 (9): 695- 706
doi: 10.1631/jzus.A2000284
[10]   SUÑOL F, OCHOA D A, GARCIA J E High-precision time-of-flight determination algorithm for ultrasonic flow measurement[J]. IEEE Transactions on Instrumentation and Measurement, 2018, 68 (8): 2724- 2732
[11]   XIONG J, MAO P, LI X Enhancing ultrasonic time-of-flight estimation using adaptive differential evolution and levenberg–marquardt algorithm[J]. IEEE Sensors Journal, 2023, 24 (2): 1224- 1232
[12]   ZHANG Y, LI Z Improving the accuracy of time-difference measurement by reducing the impact of baseline shift[J]. IEEE Transactions on Instrumentation and Measurement, 2015, 64 (11): 3013- 3020
doi: 10.1109/TIM.2015.2437635
[13]   AKHLAGHI S, ZHOU N, HUANG Z. Adaptive adjustment of noise covariance in Kalman filter for dynamic state estimation [C]// IEEE Power and Energy Society General Meeting. Chicago: IEEE, 2017: 1–5.
[14]   WANG Q, LIU Z, WU Z, et al Drift suppression method based on signal stability detection and adaptive Kalman filter for NMR sensor[J]. Digital Signal Processing, 2025, 156: 104812
doi: 10.1016/j.dsp.2024.104812
[15]   WU Q, MA Y, LI D, et al Denoising algorithm of ground-airborne time-domain electromagnetic method based on Variational Bayesian-based adaptive Kalman filter (VBAKF)[J]. Journal of Applied Geophysics, 2022, 202: 104674
doi: 10.1016/j.jappgeo.2022.104674
[16]   SUI Q, WANG Y, CHEN Z, et al Deep koopman Kalman filter for nonlinear model-free industrial process data denoising and its soft sensing application[J]. IEEE Sensors Journal, 2024, 24 (20): 32846- 32857
doi: 10.1109/JSEN.2024.3453326
[17]   PANDA K G, AGRAWAL D, NSHIMIYIMANA A, et al Effects of environment on accuracy of ultrasonic sensor operates in millimetre range[J]. Perspectives in Science, 2016, 8: 574- 576
doi: 10.1016/j.pisc.2016.06.024
[18]   SAHOO G R, FREED J H, SRIVASTAVA M Optimal wavelet selection for signal denoising[J]. IEEE Access, 2024, 12: 45369- 45380
doi: 10.1109/ACCESS.2024.3377664
[19]   HE J, SONG C, LUO Q, et al EWT-ASG: empirical wavelet transform with adaptive savitzky–golay filtering for TDLAS[J]. IEEE Photonics Journal, 2020, 12 (3): 7800712
[1] QI Ping, LI Long shu, LI Xue jun. Cloud resource scheduling algorithm with failure recovery mechanism[J]. Journal of ZheJiang University (Engineering Science), 2015, 49(12): 2305-2315.
[2] ZHANG Qing-qing, XU Yue-ping, ZHANG Xu-jie, XU Xiao. Uncertainty analysis of water quality modeling and
risk-based decision-making based on DRAM
[J]. Journal of ZheJiang University (Engineering Science), 2012, 46(12): 2231-2236.