Please wait a minute...
Chinese Journal of Engineering Design  2026, Vol. 33 Issue (1): 106-116    DOI: 10.3785/j.issn.1006-754X.2026.05.181
Optimization Design     
Multi-objective optimization design for BFRP/Al hybrid crashworthy device using MOPSO
Youtong LI1(),Qinyi LI1,Qianjie LIU2(),Yiqing CHEN1,Chunlin ZHANG1,3,Hao LI1
1.School of Intelligent Manufacturing and Automotive Engineering, Guang'an Vocational & Technical College, Guang'an 638000, China
2.School of Mechatronics and Vehicle Engineering, East China Jiaotong University, Nanchang 330013, China
3.College of Mechanical and Vehicle Engineering, Chongqing University, Chongqing 400030, China
Download: HTML     PDF(5304KB)
Export: BibTeX | EndNote (RIS)      

Abstract  

Basalt fiber-reinforced polymer (BFRP) has excellent mechanical properties and melt-recyclability, with broad application prospects in automotive lightweight field. For the aluminum crashworthy device of a certain vehicle, a multi-objective optimization design of BFRP/Al hybrid crashworthy device is carried out. Firstly, mechanical tests were conducted on BFRP laminates, and a finite element model of the crashworthy device was established using HyperMesh software. Subsequently, training samples for the surrogate model were generated via Latin hypercube sampling. Key design parameters were identified through sensitivity analysis, and the prediction accuracy of the surrogate model for response indicators was enhanced by a space-filling sampling method based on the weighted Euclidean distance. Finally, with the objectives of minimizing peak load, total mass and maximum crossbeam displacement of the crashworthy device, the MOPSO (multi-objective particle swarm optimization) algorithm was employed to obtain the Pareto frontier, and the optimal design parameter combination was determined based on the entropy weight-TOPSIS (technique for order preference by similarity to an ideal solution) method. The results demonstrated that the optimized crashworthy device achieved reductions of 36.15% in peak load and 12.23% in total mass, exhibiting significantly improved crashworthiness while meeting the lightweight target. The proposed method can provide a systematic solution for the lightweight design of BFRP/Al hybrid crashworthy devices.



Key wordsbasalt fiber-reinforced polymer (BFRP)      hybrid crashworthy device      sensitivity analysis      multi-objective particle swarm optimization (MOPSO)      crashworthiness     
Received: 14 August 2025      Published: 01 March 2026
CLC:  U 465.6  
Corresponding Authors: Qianjie LIU     E-mail: 859135985@qq.com;734831871@qq.com
Cite this article:

Youtong LI,Qinyi LI,Qianjie LIU,Yiqing CHEN,Chunlin ZHANG,Hao LI. Multi-objective optimization design for BFRP/Al hybrid crashworthy device using MOPSO. Chinese Journal of Engineering Design, 2026, 33(1): 106-116.

URL:

https://www.zjujournals.com/gcsjxb/10.3785/j.issn.1006-754X.2026.05.181     OR     https://www.zjujournals.com/gcsjxb/Y2026/V33/I1/106


基于MOPSOBFRP/铝混合防撞装置多目标优化设计

玄武岩纤维增强复合材料(basalt fiber-reinforced polymer, BFRP)具有优异的力学性能和可熔融再生特性,在汽车轻量化领域的应用前景广阔。针对某车型的铝制防撞装置,开展BFRP/铝混合防撞装置的多目标优化设计。首先,对BFRP层合板开展力学性能测试,并利用HyperMesh软件建立防撞装置有限元模型;其次,采用拉丁超立方抽样生成代理模型的训练样本,结合敏感度分析识别关键设计参数,并通过基于加权欧式距离的空间填充采样法来提升代理模型对响应指标的预测精度;最后,以防撞装置峰值载荷、总质量及横梁最大位移最小为优化目标,运用MOPSO(multi-objective particle swarm optimization,多目标粒子群优化)算法求解Pareto前沿,并基于熵权- TOPSIS(technique for order preference by similarity to an ideal solution,逼近理想解排序法)确定最优设计参数组合。结果显示:优化后防撞装置的峰值载荷降低了36.15%,总质量减小了12.23%,显著提升了耐撞性能并实现了轻量化目标。所提出的方法可为BFRP/铝混合防撞装置的轻量化设计提供一套系统性的解决方案。


关键词: 玄武岩纤维增强复合材料,  混合防撞装置,  敏感度分析,  多目标粒子群优化,  耐撞性 
Fig.1 Test samples and testing equipment
Fig.2 Tensile and compressive stress-strain curves of 1# test sample
参数BFRP6082-T6铝合金
弹性模量/MPa

横向:13 100

纵向:13 800

70 000
压缩模量/MPa

横向:12 500

纵向:12 100

剪切模量/MPa13 400
剪切强度/MPa298
屈服强度/MPa278
泊松比0.580.33
密度/(g/cm3)1.9352.700
Table 1 Material properties of BFRP and aluminum alloy
Fig.3 Schematic of cross-section of key components in crashworthy device and its finite element model
序号设计变量响应指标
x1/mmx2/mmx3/mmδ/mmP/kNM/kg
11.461.931.8137.1338.674.88
21.872.141.6035.4341.195.14
31.952.402.2230.4547.416.12
42.122.351.0545.9339.825.01
51.331.622.5037.5837.895.08
62.081.780.9846.4930.864.29
71.541.981.1263.1733.264.34
82.031.210.85119.9317.993.41
91.171.101.9548.2129.793.91
102.161.882.0234.6541.645.23
301.211.720.78126.3839.793.59
Table 2 Experimental design scheme and solution results
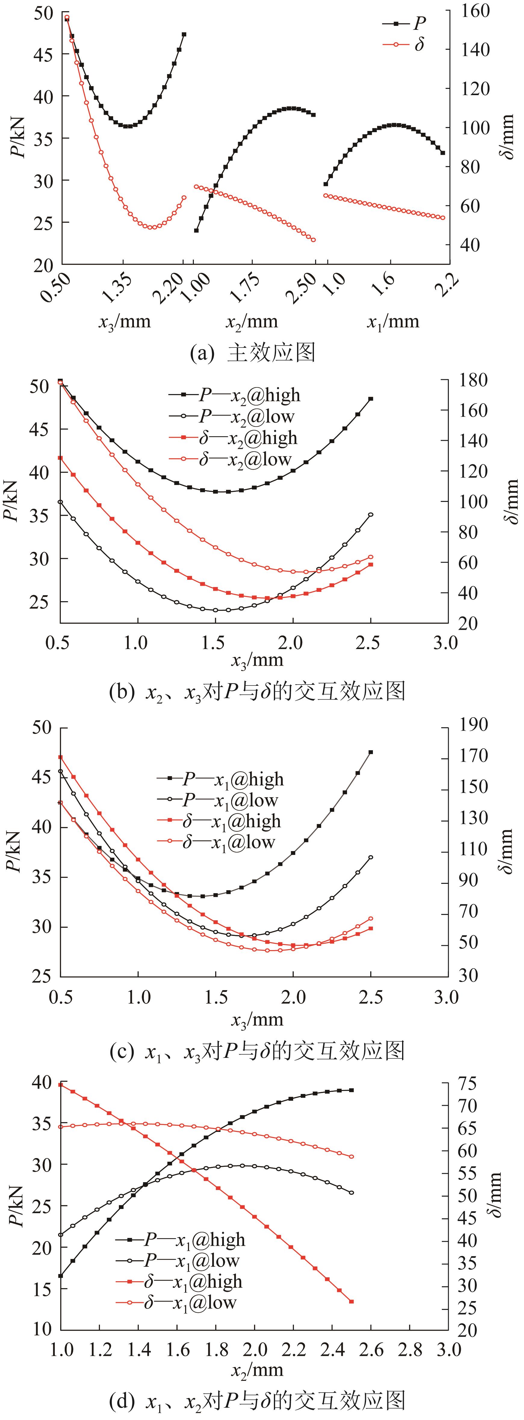
Fig.4 Main effects and interaction effects of design variables
Fig.5 Sensitivity analysis result of design variables
Fig.6 Optimization curve of spread coefficient
响应指标MBE/%MAE/%RMSE/%R2
训练集测试集训练集测试集训练集测试集训练集测试集
峰值载荷0.663.027.177.869.4511.690.9120.869
总质量0.05-1.100.691.180.831.550.9980.980
横梁最大位移0.208.168.4924.0110.9235.310.9790.896
Table 3 Error analysis result of surrogate model
设计变量权重/%
x111.97
x277.63
x310.40
Table 4 Weight corresponding to each design variable
Fig.7 Spatial distribution of new sampling points and initial sampling points
序号设计变量响应指标欧式距离dw /mm
x1/mmx2/mmx3/mmδ/mmP/kNM/kg
11.132.381.3942.2632.794.571.73
22.102.192.2931.2746.845.881.78
31.822.242.4130.6946.986.082.11
41.212.291.0845.2331.784.212.05
51.300.602.32109.9640.334.212.06
251.702.461.1740.6432.794.662.21
Table 5 New sampling points and solution results
响应指标MBE/%MAE/%RMSE/%R2
峰值载荷4.3018.307.400.948
总质量2.305.903.100.988
横梁最大位移3.9010.505.600.967
Table 6 Error analysis results of surrogate model after supplementary sampling
Fig.8 Fitting accuracy verification result of surrogate model
Fig.9 Multi-objective optimization process based on MOPSO
Fig.10 Pareto frontier for multi-objective optimization of crashworthy device
响应指标信息熵差异系数权重
峰值载荷P0.988 30.011 70.199 7
总质量M0.989 40.010 60.180 8
横梁最大位移δ0.963 70.036 30.619 5
Table 7 Entropy values and weights of response indicators
序号

Pareto前沿

P/kN, M/kg, δ/mm)

正向理想解距离负向理想解距离相对贴近度
1(27.46,3.79,45.96)0.164 30.562 60.773 9
2(26.97,3.70,47.32)0.163 30.544 20.769 2
3(26.76,3.74,47.39)0.166 00.543 10.765 9
4(26.97,3.88,56.25)0.172 20.558 20.764 3
178(27.73,3.97,44.86)0.646 90.180 90.218 5
Table 8 Ranking of relative closeness of Pareto frontier
Fig.11 Comparison between Pareto frontier solution and simulation results of response indicators
Fig.12 Comparison of total energy absorption curves of crashworthy devices before and after optimization
Fig.13 Stress distribution cloud map of crashworthy device after optimization (t=0.095 s)
Fig.14 Comparison of crash performance of crashworthy devices before and after optimization
对比项

峰值载荷/

kN

总质量/kg

横梁最大

位移/mm

变化率/%-36.15-12.2324.87
优化前44.874.2838.39
优化后28.653.7647.94
Table 9 Comparison of response indicators of crashworthy devices before and after optimization
 
[[1]]   熊其平, 钟建辉, 占红星, 等. 轻量化材料在汽车制造中的应用[J]. 汽车测试报告, 2024(17): 62-64.
XIONG Q P, ZHONG J H, ZHAN H X, et al. Application of lightweight materials in automobile manufacturing[J]. Car Test Report, 2024(17): 62-64.
[[2]]   刘嘉麒. 玄武岩纤维材料[M]. 北京: 化学工业出版社, 2021: 1-5. doi:10.22443/rms.emc2020.685
LIU J Q. Basaltic fiber materials[M]. Beijing: Chemical Industry Press, 2021: 1-5.
doi: 10.22443/rms.emc2020.685
[[3]]   张建伟, 佘希林, 刘嘉麒, 等. 连续玄武岩纤维新材料的制备、性能及应用[J]. 材料导报, 2023, 37(11): 238-244.
ZHANG J W, SHE X L, LIU J Q, et al. Preparation, properties and application of novel continuous basalt fibers[J]. Materials Reports, 2023, 37(11): 238-244.
[[4]]   袁铁军, 孙强, 吕红明, 等. 复合材料在汽车防撞梁上的应用研究进展[J]. 工程塑料应用, 2024, 52(4): 169-174.
YUAN T J, SUN Q, LÜ H M, et al. Research progress on application of composite materials in automotive crash beams[J]. Engineering Plastics Application, 2024, 52(4): 169-174.
[[5]]   DIXIT Y, DHALIWAL G S, NEWAZ G, et al. Comparative investigation for the performance of steel and carbon fiber composite front bumper crush-can (FBCC) structures in quarter-point impact crash tests[J]. Journal of Dynamic Behavior of Materials, 2020, 6(1): 96-111.
[[6]]   肖罡, 郭鹏程, 项忠珂, 等. 汽车铝合金前防撞梁截面的有限空间优化设计[J]. 塑性工程学报, 2023, 30(8): 146-155.
XIAO G, GUO P C, XIANG Z K, et al. Finite space optimization design of vehicle aluminum alloy front anti-collision beam section[J]. Journal of Plasticity Engineering, 2023, 30(8): 146-155.
[[7]]   张涛. 碳纤维增强复合材料汽车保险杠轻量化设计[D]. 青岛: 青岛大学, 2021.
ZHANG T. Lightweight design of carbon fiber reinforced composite automobile bumpers[D]. Qingdao: Qingdao University, 2021.
[[8]]   CHEN J X, TUO W Y, WAN C F, et al. Shear test method for and mechanical characteristics of short basalt fiber reinforced polymer composite materials[J]. Journal of Applied Polymer Science, 2018, 135(16): 46078.
[[9]]   孙胜江, 朱长华, 梅葵花. 玄武岩纤维复合材料梁-柱式护栏防撞性能[J]. 振动与冲击, 2019, 38(21): 265-270.
SUN S J, ZHU C H, MEI K H. Anti-collision performance of basalt fiber composite beam-column guardrails[J]. Journal of Vibration and Shock, 2019, 38(21): 265-270.
[[10]]   徐森. 玄武岩纤维前防撞梁结构优化设计[D]. 长春: 吉林大学, 2022.
XU S. Structural optimization design of basalt fiber front crash beam[D]. Changchun: Jilin University, 2022.
[[11]]   崔晓凡. 车用玄武岩-碳纤维混杂复合材料结构优化与性能研究[D]. 长春: 吉林大学, 2023.
CUI X F. Structural optimization and performance study of basalt/carbon fiber hybrid composites for vehicles[D]. Changchun: Jilin University, 2023.
[[12]]   陈静, 崔晓凡, 郑晋军, 等. 基于加点多目标粒子群算法的碳纤维防撞梁优化设计[J]. 湖南大学学报(自然科学版), 2022, 49(8): 21-28. doi:10.5755/j02.eie.31232
CHEN J, CUI X F, ZHENG J J, et al. Optimization design of carbon fiber anti-collision beam based on multi-objective particle swarm with additional points[J]. Journal of Hunan University (Natural Sciences), 2022, 49(8): 21-28.
doi: 10.5755/j02.eie.31232
[[13]]   彭煜轩, 周先军. 碳纤维复合材料保险杠碰撞性能研究[J]. 机电工程技术, 2024, 53(12): 192-197.
PENG Y X, ZHOU X J. Research on collision performance of carbon fiber composite bumper[J]. Mechanical & Electrical Engineering Technology, 2024, 53(12): 192-197.
[[14]]   ZHANG F, WU M Y, HOU X T, et al. Post-buckling reliability analysis of stiffened composite panels based on adaptive iterative sampling[J]. Engineering with Computers, 2022, 38(): 2651-2661.
[[15]]   ZHANG L G, LU Z Z, WANG P. Efficient structural reliability analysis method based on advanced Kriging model[J]. Applied Mathematical Modelling, 2015, 39(2): 781-793.
[[16]]   WANG D F, XIE C, WANG S. An adaptive RBF neural network-based multi-objective optimization method for lightweight and crashworthiness design of cab floor rails using fuzzy subtractive clustering algorithm[J]. Structural and Multidisciplinary Optimization, 2021, 63(2): 915-928.
[[17]]   HE C H, ZENG H, HUANG J Q, et al. Structure aware single-stage 3D object detection from point cloud[C]//2020 IEEE/CVF Conference on Computer Vision and Pattern Recognition. Seattle, WA, Jun. 13-19, 2020.
[[18]]   张铃欣. 汽车车轮区域流动不稳定性及其气动外形优化减阻方法研究[D]. 镇江: 江苏大学, 2023.
ZHANG L X. Investigation of automotive wheel flow nstabilities and aerodynamic shape optimization for drag reduction[D]. Zhenjiang: Jiangsu University, 2023.
[[19]]   王学武, 闵永, 顾幸生. 基于密度聚类的多目标粒子群优化算法[J]. 华东理工大学学报(自然科学版), 2019, 45(3): 449-457.
WANG X W, MIN Y, GU X S. Multi-objective particle swarm optimization algorithm based on density clustering[J]. Journal of East China University of Science and Technology, 2019, 45(3): 449-457.
[[20]]   PHROMPHAN P, SUVISUTHIKASAME J, KAEWMONGKOL M, et al. A new Latin hypercube sampling with maximum diversity factor for reliability-based design optimization of HLM[J]. Symmetry, 2024, 16(7): 901.
[[21]]   王晓钰. 不同长度特长隧道光环境对驾驶员心生理负荷的影响研究[D]. 重庆: 重庆交通大学, 2024.
WANG X Y. Study on the relationship between traffic safety and biomass index at the entrance of highway tunnel[D]. Chongqing: Chongqing Jiaotong University, 2024.
[1] Zhengyan MA, Heng OUYANG, Zhijie HAO, Shuo GAO, Baohui LIU. Uncertainty analysis method for mechanical system based on multi-cluster ellipsoidal model[J]. Chinese Journal of Engineering Design, 2025, 32(2): 141-150.
[2] Ze-jun WEN,Xiang-heng MENG,Zhao XIAO,Fan ZHANG. Sensitivity analysis of airfoil aerodynamic characteristics based on NT-net method and Morris method[J]. Chinese Journal of Engineering Design, 2022, 29(4): 438-445.
[3] TAO Xiao-dong, GUO An-fu, LI Hui, HAN Wei, LI Wan-cai, LI Tao. Performance analysis and optimization of disc ditcher based on sensitivity analysis[J]. Chinese Journal of Engineering Design, 2022, 29(1): 59-65.
[4] TAO Xiao-hui, LI Guo-long, XU Kai, LI Chuan-zhen. Sensitivity analysis of geometric error of worm wheel gear grinding machine[J]. Chinese Journal of Engineering Design, 2020, 27(1): 111-120.
[5] DU Yi-Xian, WANG Wei, LI Ran, FU Jun-Jian. Research on sensitivity filtering method for structural topology optimization[J]. Chinese Journal of Engineering Design, 2012, 19(1): 20-24.
[6] QIAN Xue-Yi, WU Shuang. Multi-objective optimization of the non-symmetrical gear agglutinate strength based on elastohydrodynamic lubrication theory[J]. Chinese Journal of Engineering Design, 2010, 17(6): 426-429.
[7] HE Xiang-Dong, ZHANG Yi-Min, WEN Bang-Chun. Stable reliability-based sensitivity design of compressive bar[J]. Chinese Journal of Engineering Design, 2006, 13(5): 295-297.
[8] LIAO Xing-Tao, ZHANG Wei-Gang, LI Qing, ZHONG Zhi-Hua. Application research of response surface methodology in thin-walled structural optimization design in crashworthiness[J]. Chinese Journal of Engineering Design, 2006, 13(5): 298-302.