辊轧机传动系统齿轮修形优化
杨辛未,关骏男,刘辉,周嘉东
Optimization of gear modification for transmission systems of rolling mills
Xinwei YANG,Junnan GUAN,Hui LIU,Jiadong ZHOU
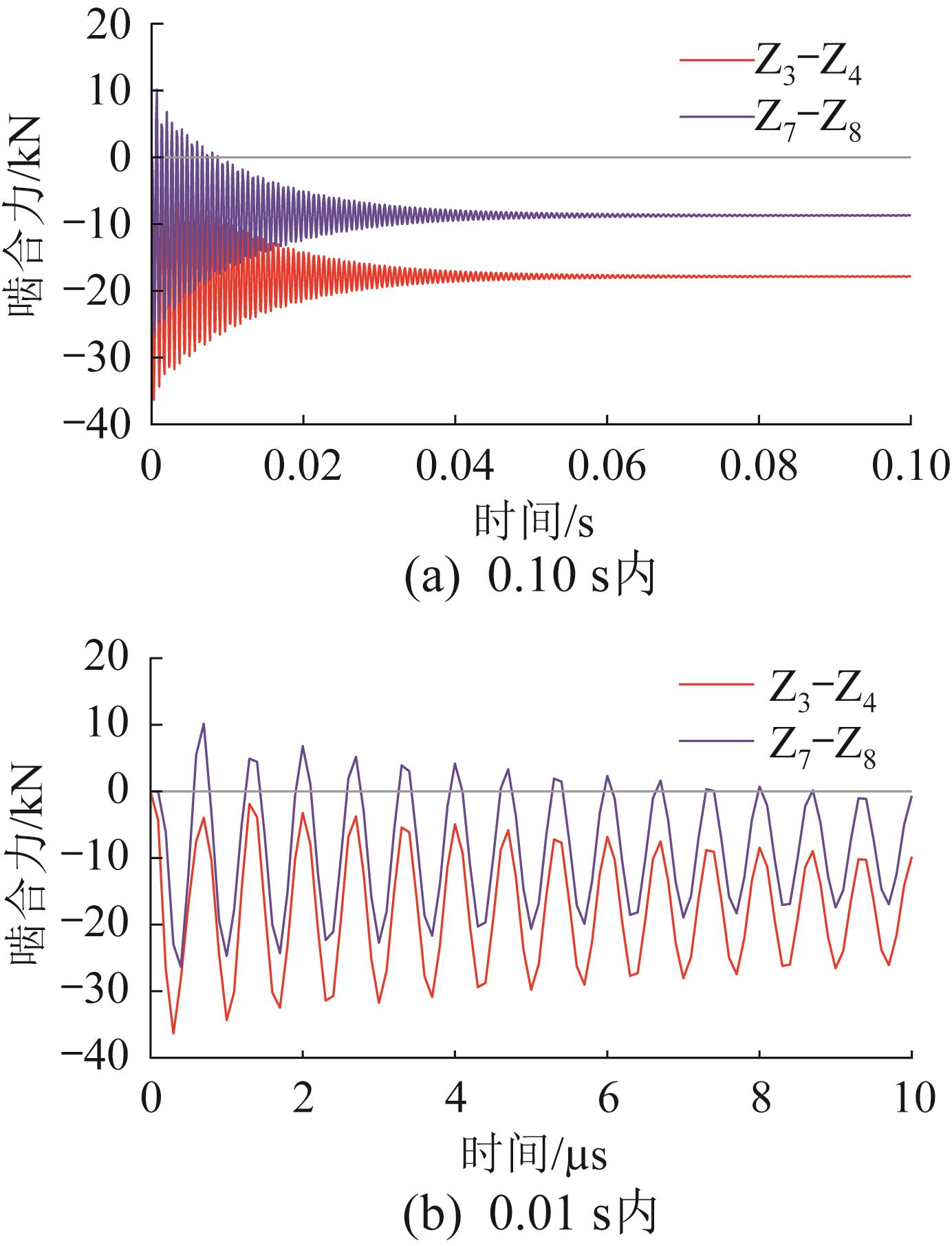
图6
齿轮副
Z
3
-
Z
4
与
Z
7
-
Z
8
的啮合力
Fig.6
Meshing forces of gear pairs Z
3
-Z
4
and Z
7
-Z
8