辊轧机传动系统齿轮修形优化
杨辛未,关骏男,刘辉,周嘉东
Optimization of gear modification for transmission systems of rolling mills
Xinwei YANG,Junnan GUAN,Hui LIU,Jiadong ZHOU
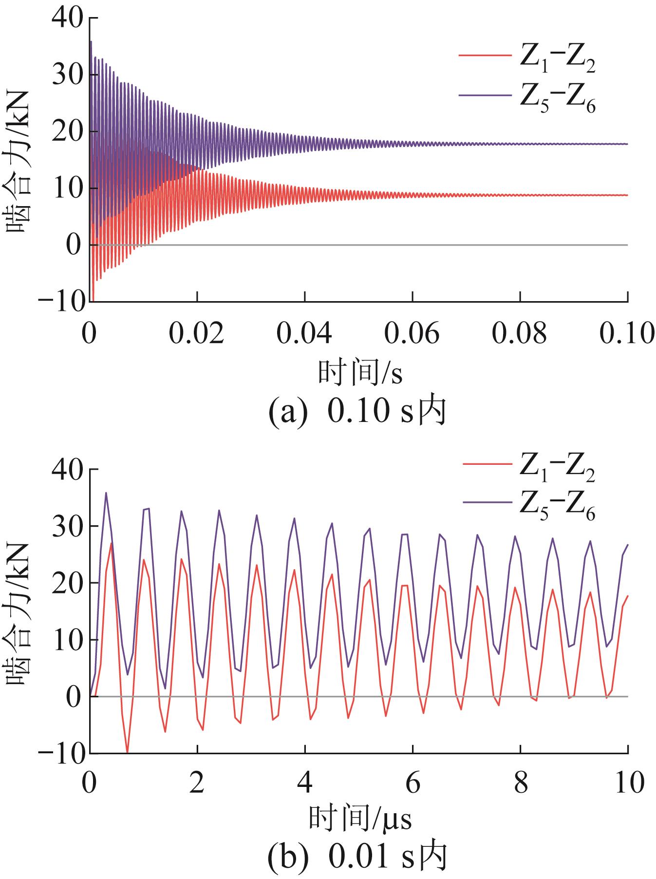
图4
齿轮副
Z
1
-
Z
2
与
Z
5
-
Z
6
的啮合力
Fig.4
Meshing forces of gear pairs Z
1
-Z
2
and Z
5
-Z
6