基于轴向磁耦合的变刚度关节设计与实验验证 |
| 汪峻加,谢霆聪,徐锦涛,黄龙 |
|
Design and experimental verification of variable stiffness joint based on axial magnetic coupling |
| Junjia WANG,Tingcong XIE,Jintao XU,Long HUANG |
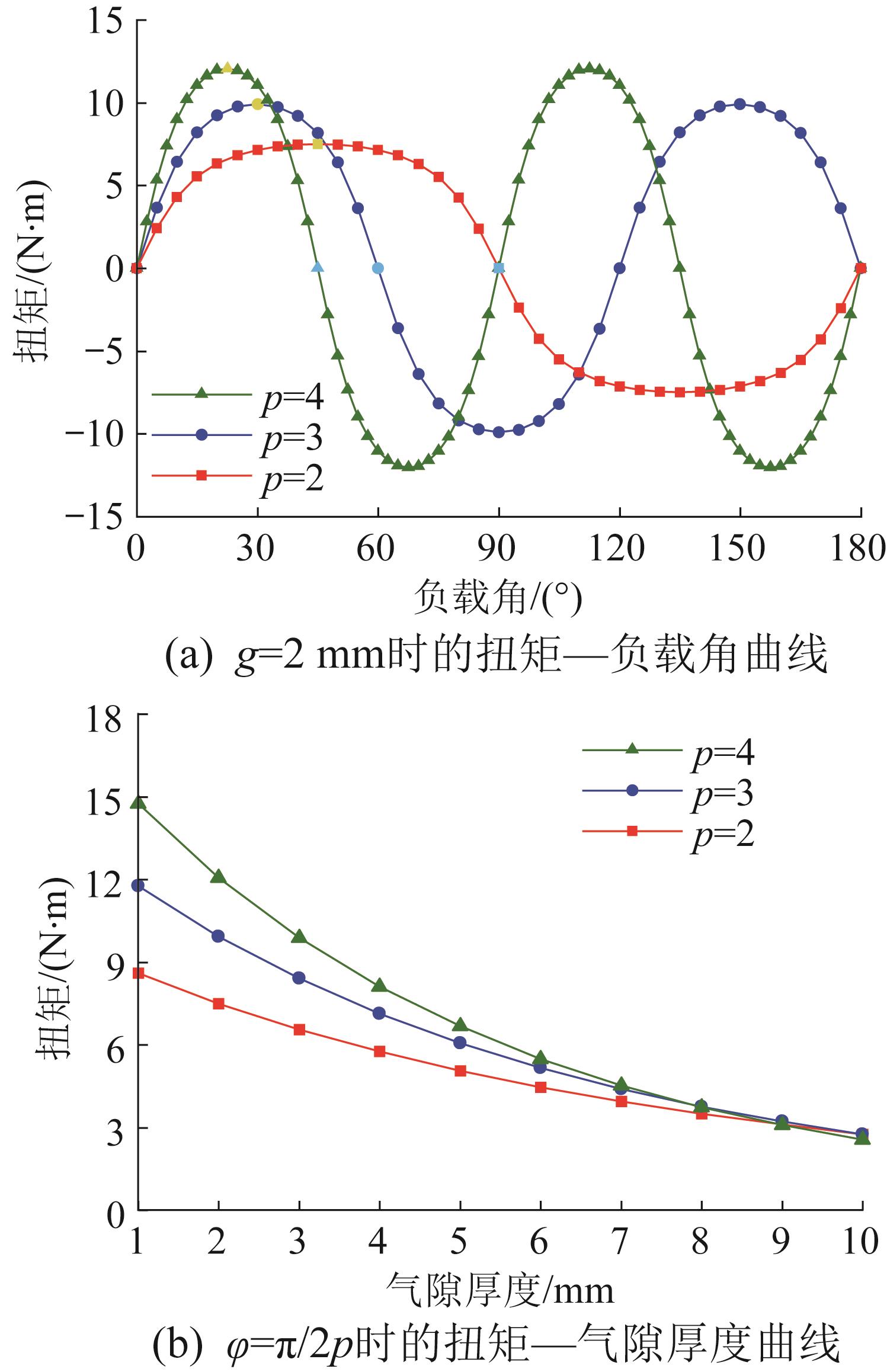
| 图7 不同磁极对数下的扭矩响应曲线 |
| Fig.7 Torque response curves under different numbers of magnetic pole pairs |
|