罗茨泵极限真空度及其预抽时间预测模型研究
李玉龙,宋陆昊,刘天涯,宋安然
Research on prediction models for limiting vacuum degree and its pre-pumping time of Roots pump
Yulong LI,Luhao SONG,Tianya LIU,Anran SONG
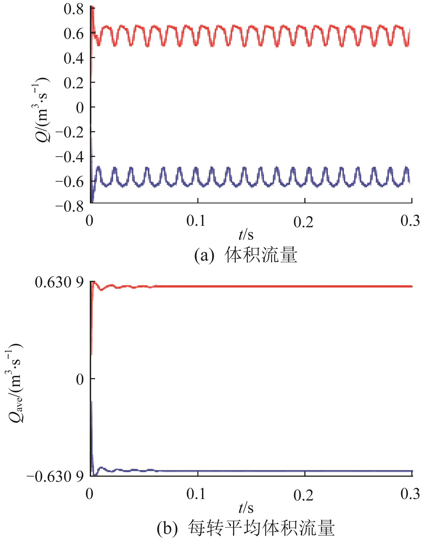
图6
项目
I
仿真结果
Fig.6
Simulation results of project I