基于物理信息神经网络的桥式起重机疲劳寿命预测方法
董青,党泽伟,徐格宁
Fatigue life prediction method for bridge crane based on physical-informed neural network
Qing DONG,Zewei DANG,Gening XU
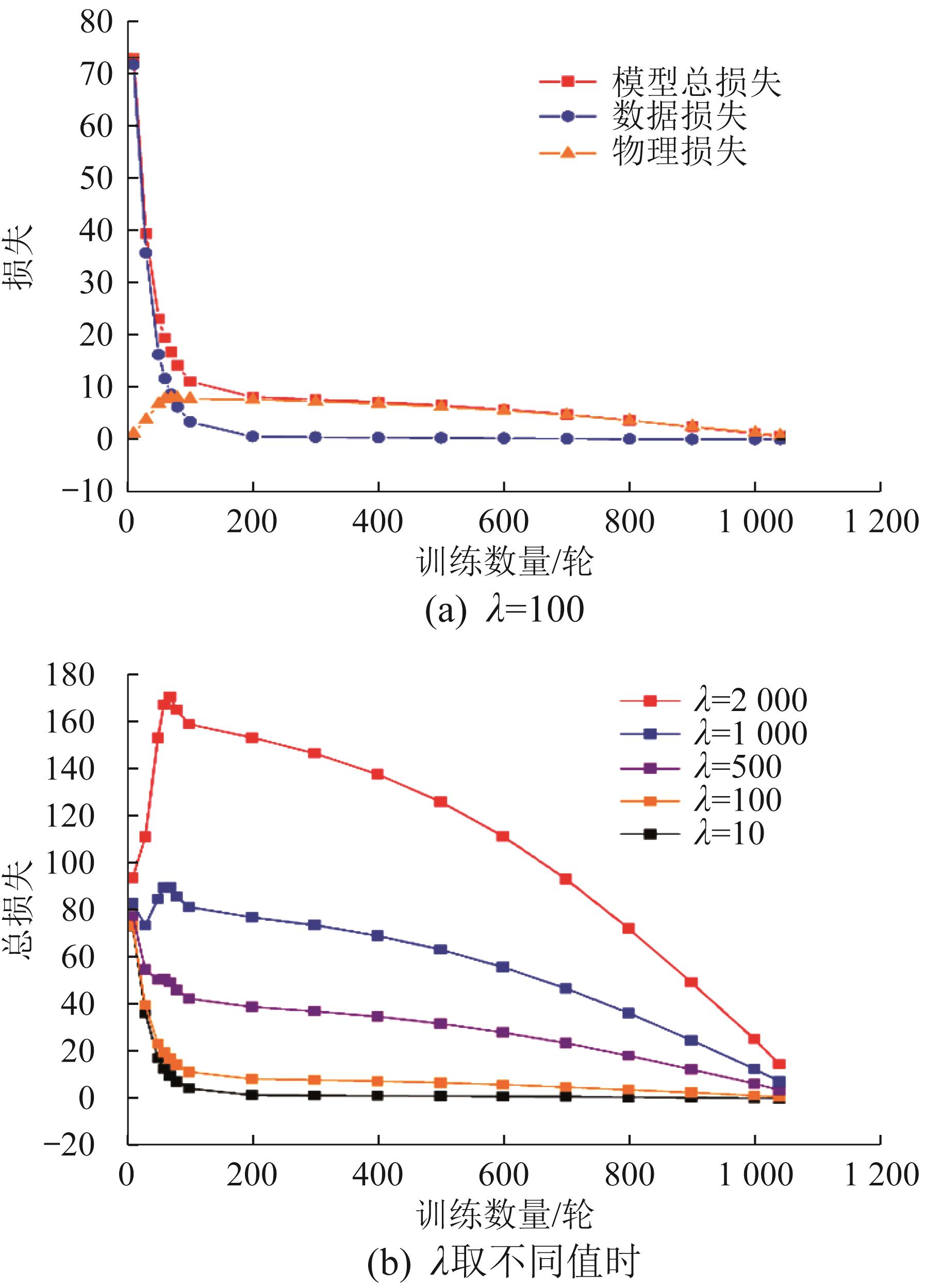
图15
PINN
损失
Fig.15
Loss of PINN