变刚度变阻尼磁流变阻尼器的优化设计及性能分析 |
| 刘东,胡国良,张佳伟,喻理梵 |
|
Optimization design and performance analysis of variable stiffness and variable damping magnetorheological damper |
| Dong LIU,Guoliang HU,Jiawei ZHANG,Lifan YU |
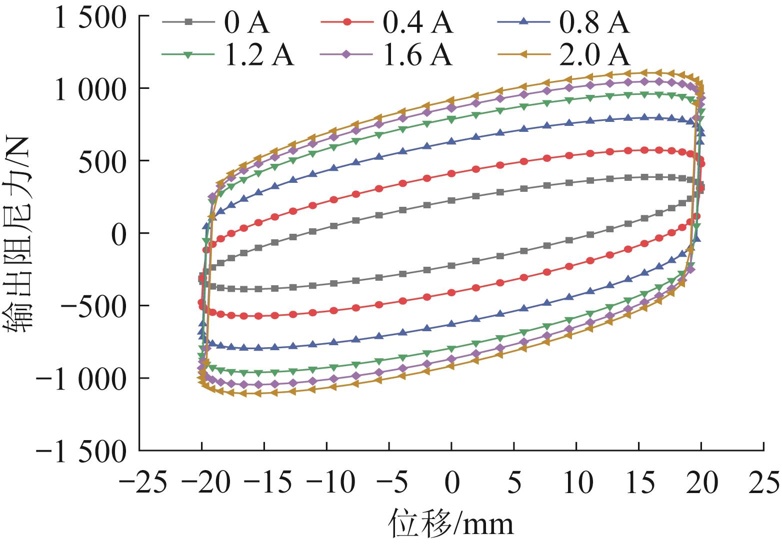
| 图6 不同电流下的输出阻尼力—位移曲线 |
| Fig.6 Output damping force-displacement curves under different currents |
|