Please wait a minute...
Journal of ZheJiang University (Engineering Science)  2025, Vol. 59 Issue (11): 2300-2308    DOI: 10.3785/j.issn.1008-973X.2025.11.009
    
Mechanical and electrochemical characteristic of LiFePO4 battery under multi-temperature and electric field condition
Hongru ZHU(),Ziqiang CHEN*(),Ping YI
State Key Laboratory of Ocean Engineering, Shanghai Jiao Tong University, Shanghai 200240, China
Download: HTML     PDF(1740KB) HTML
Export: BibTeX | EndNote (RIS)      

Abstract  

The mechanical and electrochemical characteristics of LiFePO4 battery under different temperature and electric field were analyzed in order to introduce the in-situ surface expansion force as an additional input variable for the estimation of state of charge (SOC) and thus improve the estimation accuracy. A multi-physics signal acquisition platform was designed and constructed. Open-circuit voltage (OCV) tests, hybrid pulse power characterization (HPPC) tests, and in-situ surface expansion force measurements were conducted at different temperature. The mechanical and electrochemical characteristics of battery and its multi-physics responses under various operating conditions were analyzed. Results show that the in-situ surface expansion force first increases, then decreases, and then increases again as SOC rises, and it is more sensitive to SOC than OCV. The extrema of the expansion force curves are slightly affected by temperature, showing small delays with increasing temperature. They are strongly affected by current, occurring earlier and gradually disappearing as the current increases. The internal resistance decreases significantly with increasing temperature. The OCV curves exhibit high consistency across different temperature. The experimental results demonstrate that the expansion force signal has potential in SOC estimation and provide theoretical foundation and data support for SOC estimation methods based on expansion force signals.



Key wordsLiFePO4 battery      mechanical signal      surface in-situ expansion force      state of charge (SOC)     
Received: 30 October 2024      Published: 30 October 2025
CLC:  TM 912  
Corresponding Authors: Ziqiang CHEN     E-mail: agoniii@sjtu.edu.cn;chenziqiang@sjtu.edu.cn
Cite this article:

Hongru ZHU,Ziqiang CHEN,Ping YI. Mechanical and electrochemical characteristic of LiFePO4 battery under multi-temperature and electric field condition. Journal of ZheJiang University (Engineering Science), 2025, 59(11): 2300-2308.

URL:

https://www.zjujournals.com/eng/10.3785/j.issn.1008-973X.2025.11.009     OR     https://www.zjujournals.com/eng/Y2025/V59/I11/2300


多温区电场条件下磷酸铁锂电池机电特性

为了引入电池表面原位膨胀力拓展电池荷电状态(SOC)估计的输入数据维度从而提高估计精度,开展磷酸铁锂电池在不同温度和电场下的机械特性与电化学特性研究,包括设计并搭建电池多物理场信号采集台架,开展不同温度下的开路电压(OCV)测试、混合功率脉冲测试(HPPC)、表面原位膨胀力测试,分析电池的机械与电化学特性及其在不同工况下的多物理场行为. 结果表明,电池表面原位膨胀力随着SOC增加先增大后减小再增大,较开路电压对SOC的灵敏度更高. 膨胀力曲线的极值点位置受温度的影响较小,随温度升高有微小延后;受电流的影响较大,随电流增大明显提前并逐渐消失. 电池内阻随温度升高而明显下降,开路电压曲线在不同温度下具有较高的一致性. 实验研究展示了膨胀力信号在电池SOC估计应用中的潜力,为基于膨胀力信号的电池SOC估计提供理论基础和数据支持.


关键词: 磷酸铁锂电池,  机械信号,  表面原位膨胀力,  荷电状态(SOC) 
Vnom/VQnom/(A·h)(IrateC?1)/h?1Vchgmax/VVdismin/V
3.223?0.5~23.652.5
Tab.1 Basic parameter of battery used for mechanical and electrochemical characterization experiment under multiple temperature
Fig.1 Battery surface expansion force acquisition fixture
Fig.2 Repeatability test of expansion force measurement
Fig.3 Experimental setup for mechanical and electrochemical characterization of battery under multiple temperature
Fig.4 Resistance curve of lithium iron phosphate (LiFePO4) battery
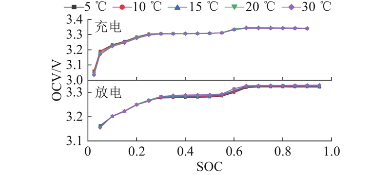
Fig.5 OCV curve of LFP battery
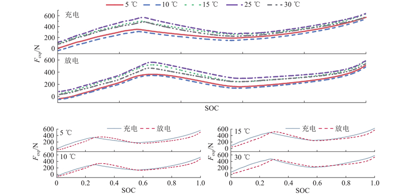
Fig.6 Expansion force curve of LFP battery
Fig.7 Expansion force curve of LFP battery during charging and discharging at different current
Fig.8 Expansion force recovery of LFP battery during rest period at different SOC
Fig.9 Expansion force change rate of LFP battery during rest period at different SOC
Fig.10 Stable expansion force curve of LFP battery
Fig.11 Resistance curve of LFP battery at different temperature
Fig.12 OCV curve of LFP battery at different temperature
Fig.13 Expansion force curve of LFP battery during charging and discharging at different temperature
Fig.14 Stable expansion force curve of LFP battery at different temperature
[1]   卢地华, 周胜增, 陈自强 适用于无人水下潜航器电池管理系统的SOC-SOH联合估计[J]. 浙江大学学报: 工学版, 2024, 58 (5): 1080- 1090
LU Dihua, ZHOU Shengzeng, CHEN Ziqiang Joint SOC-SOH estimation for UUV battery management system[J]. Journal of Zhejiang University: Engineering Science, 2024, 58 (5): 1080- 1090
[2]   GAO Y Z, ZHU C, ZHANG X, et al Implementation and evaluation of a practical electrochemical-thermal model of lithium-ion batteries for EV battery management system[J]. Energy (Oxford), 2021, 221: 119688
doi: 10.1016/j.energy.2020.119688
[3]   柳新, 陈自强 基于PNGV模型的锂离子电池荷电状态估计[J]. 装备环境工程, 2023, 20 (11): 81- 90
LIU Xin, CHEN Ziqiang State of charge estimation of lithium-ion batteries based on PNGV model[J]. Equipment Environmental Engineering, 2023, 20 (11): 81- 90
[4]   雷克兵, 陈自强 基于改进多新息扩展卡尔曼滤波的电池SOC估计[J]. 浙江大学学报: 工学版, 2021, 55 (10): 1978- 1985
LEI Kebing, CHEN Ziqiang Estimation of state of charge of battery based on improved multi-innovation extended Kalman filter[J]. Journal of Zhejiang University: Engineering Science, 2021, 55 (10): 1978- 1985
[5]   陈琦龙, 孙建国, 陈凯, 等 纯电动汽车电池管理系统国内外研究现状和发展趋势[J]. 现代车用动力, 2022, (1): 1- 6
CHEN Qilong, SUN Jianguo, CHEN Kai, et al Research status and development trend of battery management system for pure electric vehicle home and abroad[J]. Modern Vehicle Power, 2022, (1): 1- 6
doi: 10.3969/j.issn.1671-5446.2022.01.001
[6]   夏权, 任羿, 孙博, 等 动态工况下锂电池组多物理场仿真与退化分析[J]. 装备环境工程, 2023, 20 (6): 108- 116
XIA Quan, REN Yi, SUN Bo, et al Multi-physical simulation and degradation analysis of lithium-ion battery pack under dynamic conditions[J]. Equipment Environmental Engineering, 2023, 20 (6): 108- 116
[7]   ZHANG C, LI K, DENG J, et al Improved real-time state-of-charge estimation of LiFePO4 battery based on a novel thermoelectric model[J]. IEEE Transactions on Industrial Electronics, 2017, 64 (1): 654- 663
doi: 10.1109/TIE.2016.2610398
[8]   LI Y, WEI Z, XIONG B, et al Adaptive ensemble-based electrochemical-thermal degradation state estimation of lithium-ion batteries[J]. IEEE Transactions on Industrial Electronics, 2022, 69 (7): 6984- 6996
doi: 10.1109/TIE.2021.3095815
[9]   陈龙, 夏权, 任羿, 等 多物理场耦合下锂离子电池组可靠性研究现状与展望[J]. 储能科学与技术, 2022, 11 (7): 2316- 2323
CHEN Long, XIA Quan, REN Yi, et al Research prospect on reliability of Li-ion battery packs under coupling of multiple physical fields[J]. Energy Storage Science and Technology, 2022, 11 (7): 2316- 2323
[10]   SUN H G, WANG X H, TOSSAN B, et al Three-dimensional thermal modeling of a lithium-ion battery pack[J]. Journal of Power Sources, 2012, 206: 349- 356
doi: 10.1016/j.jpowsour.2012.01.081
[11]   顾延光. 基于电化学-力耦合模型的锂离子电池扩散应力及残余应力的研究分析 [D]. 镇江: 江苏大学, 2021.
GU Yanguang. Diffusion stress and residual stress analysis of Li-ion battery based on electrochemical-stress coupling mode [D]. Zhenjiang: Jiangsu University, 2021.
[12]   王旸, 岳钒, 黄晓东 全固态锂离子电池的多物理场建模与仿真技术研究[J]. 电子器件, 2021, 44 (1): 1- 6
WANG Yang, YUE Fan, HUANG Xiaodong Research on multiphysics modeling and simulation technology of all-solid-state Lithium ion battery[J]. Chinese Journal of Electron Devices, 2021, 44 (1): 1- 6
doi: 10.3969/j.issn.1005-9490.2021.01.001
[13]   马德正, 李培超, 岳飞龙, 等 锂离子电池电化学-热-力耦合数值模拟及分析[J]. 农业装备与车辆工程, 2021, 59 (11): 43- 47
MA Dezheng, LI Peichao, YUE Feilong, et al Numerical simulation and analysis of electrochemical-thermal-mechanical coupling for lithium ion battery[J]. Agricultural Equipment and Vehicle Engineering, 2021, 59 (11): 43- 47
doi: 10.3969/j.issn.1673-3142.2021.11.010
[14]   FIGUEROA-SANTOS M A, SIEGEL J B, STEFANOPOULOU A G Leveraging cell expansion sensing in state of charge estimation: practical considerations[J]. Energies (Basel), 2020, 13 (10): 2653
doi: 10.3390/en13102653
[15]   LIN C J, MAO J B, ZHANG X T, et al A study of expansion force propagation characteristics and early warning feasibility for the thermal diffusion process of lithium-ion battery modules[J]. Journal of Energy Storage, 2024, 98 (PA): 113076
[16]   LI K J, CHEN L, HAN X B, et al Early warning for thermal runaway in lithium-ion batteries during various charging rates: Insights from expansion force analysis[J]. Journal of Cleaner Production, 2024, 457: 142422
doi: 10.1016/j.jclepro.2024.142422
[17]   CHUANG Q, YAN H T, YANG J, et al Study on the characteristics of thermal runaway expansion force of LiNi0.5Co0.2Mn0.3O2/graphite lithium-ion batteries with different SOCs[J]. Electrochimica Acta, 2024, 495: 144448
doi: 10.1016/j.electacta.2024.144448
[18]   ZHAO J Y, HU Z Y, WANG H, et al A multi-scale SOC estimation method for lithium-ion batteries incorporating expansion force[J]. Journal of Energy Storage, 2024, 82: 110481
doi: 10.1016/j.est.2024.110481
[19]   JIANG Y H, XU J, LIU M M, et al An electromechanical coupling model-based state of charge estimation method for lithium-ion pouch battery modules[J]. Energy (Oxford), 2022, 259: 125019
doi: 10.1016/j.energy.2022.125019
[20]   刘萍, 曲新波, 李加林 大容量磷酸铁锂动力电池膨胀力研究[J]. 电源技术, 2021, 45 (6): 709- 710
LIU Ping, QU Xinbo, LI Jialin Research of swelling force of high capacity LFP cell[J]. Chinese Journal of Power Sources, 2021, 45 (6): 709- 710
[21]   LI W, WU X, WANG K, et al Insights into the swelling force in commercial LiFePO4 prismatic cell[J]. Journal of Power Sources, 2024, 622: 235330
doi: 10.1016/j.jpowsour.2024.235330
[22]   LI Y K, CHUANG W, SHENG Y M, et al Swelling force in lithium-ion power batteries[J]. Industrial and Engineering Chemistry Research, 2020, 59 (27): 12313- 12318
doi: 10.1021/acs.iecr.0c01035
[23]   DEES W D, RODRIGUES F T M, KALAGA K, et al Apparent increasing lithium diffusion coefficient with applied current in graphite[J]. Journal of the Electrochemical Society, 2020, 167 (12): 120528
doi: 10.1149/1945-7111/abaf9f
[1] GUAN Cheng, WANG Xiang-wei, WANG Dong-yun. State of charge estimation strategy of NiMH battery for
hybrid hydraulic excavator
[J]. Journal of ZheJiang University (Engineering Science), 2010, 44(12): 2370-2375.