Please wait a minute...
浙江大学学报(工学版)  2025, Vol. 59 Issue (11): 2430-2438    DOI: 10.3785/j.issn.1008-973X.2025.11.022
航空航天工程     
面向不完备信息的无人机空战态势评估方法
王昱(),李硕,张展,孟光磊
沈阳航空航天大学 自动化学院,辽宁 沈阳 110136
Method for UAV air combat situation assessment under incomplete information
Yu WANG(),Shuo LI,Zhan ZHANG,Guanglei MENG
School of Automation, Shenyang Aerospace University, Shenyang 110136, China
 全文: PDF(1465 KB)   HTML
摘要:

针对传统态势评估方法因模型和推理机制固定,在信息不完备时难以持续提供有效结果的问题,提出基于证据修正机制的多模式变权时空融合证据网络方法. 按照信息的时间关联程度划分证据类型,构建模块化证据网络推理模型. 基于证据信息的类型和不完备程度,结合时序性信息预测技术,提出多模式证据修正方法. 考虑修正证据可靠度差异同时基于变权原理,提出网络节点权值的自适应生成方法. 通过设计折扣率随时间递减的三步时空融合机制,强化非突变型证据的时间关联,提升连续性态势评估的准确性. 分别通过两规模下4种信息不完备程度的无人机空战仿真实验,验证方法的有效性.

关键词: 态势评估不完备信息证据修正权值调整时空融合    
Abstract:

A multi-mode variable-weight spatiotemporal fusion evidential network method based on an evidence correction mechanism was proposed in order to address the issue that traditional situation assessment methods struggled to continuously provide effective results when information was incomplete due to their fixed models and reasoning mechanisms. Evidence types were classified according to the degree of temporal correlation of information, and a modular evidential network reasoning model was constructed. A multi-mode evidence correction method was proposed combined with temporal information prediction technology based on the type and incompleteness degree of evidence information. An adaptive generation method for network node weights was proposed considering the differences in the reliability of corrected evidence and based on the variable weight principle. The temporal correlation of non-mutant evidence was strengthened, and the accuracy of continuous situation assessment was improved by designing a three-step spatiotemporal fusion mechanism with a time-decreasing discount rate. The effectiveness of the proposed method was verified through UAV air combat simulation experiments under two scales with four levels of information incompleteness.

Key words: situation assessment    incomplete information    evidence correction    weight adjustment    spatio-temporal fusion
收稿日期: 2024-10-23 出版日期: 2025-10-30
:  TP 391  
基金资助: 国家自然科学基金资助项目(61906125,62373261);辽宁省高校基本科研业务费资助项目(LJ232410143020,LJ212410143047).
作者简介: 王昱(1980—),女,副教授,博士,从事空战机器推理、智能决策的研究. orcid.org/0000-0002-8262-9317. E-mail:wangyu@sau.edu.cn
服务  
把本文推荐给朋友
加入引用管理器
E-mail Alert
作者相关文章  
王昱
李硕
张展
孟光磊

引用本文:

王昱,李硕,张展,孟光磊. 面向不完备信息的无人机空战态势评估方法[J]. 浙江大学学报(工学版), 2025, 59(11): 2430-2438.

Yu WANG,Shuo LI,Zhan ZHANG,Guanglei MENG. Method for UAV air combat situation assessment under incomplete information. Journal of ZheJiang University (Engineering Science), 2025, 59(11): 2430-2438.

链接本文:

https://www.zjujournals.com/eng/CN/10.3785/j.issn.1008-973X.2025.11.022        https://www.zjujournals.com/eng/CN/Y2025/V59/I11/2430

图 1  MVWSF-EN空战态势评估流程
图 2  态势评估的模块化模型
证据节点变量说明识别框架等级说明
S态势等级0_低;—
HI作战意图0_低;—
C作战能力0_低;—
G几何优势0_弱;—
FCR火控雷达{0,1}0_关;1_开
NF非友方平台{0,1}0_错;1_对
IFF敌友识别{0,1}0_敌;1_友
WER武器攻击范围{0,1,2,3}0_弱;3_强
I处理危机能力{0,1,2,3}0_弱;3_强
ADA角度距离优势0_低;—
VA速度优势{0,1,2,3,4}0_弱;4_强
AA角度优势{0,1,2,3}0_弱;3_强
DA距离优势{0,1,2,3,4}0_弱;4_强
HA高度优势{0,1,2,3}0_弱;3_强
表 1  节点变量的说明
信度节点融合规则
m9NF、IFF(IFF=1)$ \Rightarrow $(NF=0):[0.95,1];
(IFF=0)$ \Rightarrow $(NF=1):[0.4,0.6]
m10HI、FCR、NFHI=FCR&3NF+3NF
m11C、WER、IC = 3WER+I
m12ADA、AA、DAADA = AA×DA
m13G、ADA、VA、HAG = 3ADA+VA+2HA
m14S、HI、CGS = HI+C+G
表 2  初始的融合规则
图 3  证据输入及修正模式的选取流程
输入模式适用类型修正方案
模式1全部类型原始信息本身
模式2确定型、连续型预测数据替换
模式3确定型前一时刻数据替换
模式4突变型、确定型删除当前证据节点
表 3  证据修正方法
图 4  CNN-GRU网络模型
图 5  预测信度期望的逆转换过程
图 6  非突变型网络模块的变权时空融合过程
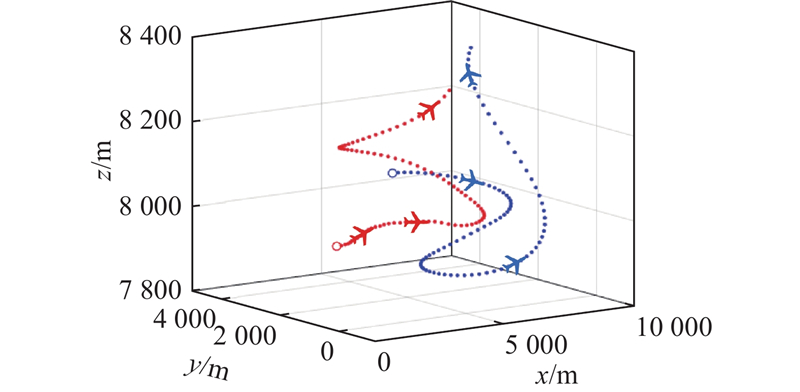
图 7  1对1对抗轨迹
信息
时刻
$ \mathop p\nolimits_{\text{b}} {\text{/}}(^\circ) $$ \mathop p\nolimits_{\text{r}} {\text{/}}(^\circ) $$d/{\mathrm{m}}$$ \mathop v\nolimits_{\text{b}} {{/({\mathrm{m}} \cdot {\mathrm{s}}^{-1})}} $$ \mathop v\nolimits_{\text{r}} {{/({\mathrm{m}} \cdot {\mathrm{s}}^{-1})}} $$ \mathop h\nolimits_{\text{b}} {\text{/m}} $$ \mathop h\nolimits_{\text{r}} {\text{/m}} $m
FCRIFFWERI
t196.0798.396065.07190.61190.648000.388091.27{0.8, 0, 0.2}{0.1, 0.9, 0}{0.5, 0.2, 0.1, 0, 0.2}{0, 0.2, 0.5, 0.2, 0.1}
t2100.50103.765618.49190.16191.338037.198104.47{0.5, 0, 0.5}{0.1, 0.8, 0.1}{0.1, 0.6, 0.1, 0, 0.2}{0, 0.2, 0.5, 0.1, 0.2}
t392.4097.484472.12188.58191.638112.708135.21{0.1, 0.5, 0.4}{0.1, 0.7, 0.2}{0.3, 0.5, 0.1, 0, 0.1}{0, 0.1, 0.6, 0.1, 0.2}
t483.7590.053893.08187.53191.058148.838150.74{0.1, 0.5, 0.4}{0.1, 0.7, 0.2}{0.1, 0.7, 0.1, 0, 0.1}{0, 0.1, 0.6, 0.1, 0.2}
t583.7580.413258.55186.22190.858189.448167.48{0, 0.8, 0.2}{0.3, 0.6, 0.1}{0.1, 0.6, 0.2, 0, 0.1}{0, 0.1, 0.6, 0.2, 0.1}
t698.0353.972188.50183.45183.458261.838202.54{0.1, 0.7, 0.2}{0.3, 0.6, 0.1}{0.1, 0.7, 0.2, 0, 0}{0, 0.1, 0.5, 0.2, 0.2}
t7115.0438.251906.01182.29189.028292.218221.95{0.1, 0.8, 0.1}{0.4, 0.5, 0.1}{0, 0.8, 0.1, 0, 0.1}{0, 0.2, 0.5, 0.1, 0.2}
t8123.4431.461837.03189.02188.808306.068232.44{0.8, 0, 0.2}{0.1, 0.9, 0}{0.5, 0.2, 0.1, 0, 0.2}{0, 0.2, 0.5, 0.2, 0.1}
t9131.1026.271806.53181.26188.488319.028243.45{0.5, 0, 0.5}{0.1, 0.8, 0.1}{0.1, 0.6, 0.1, 0, 0.2}{0, 0.2, 0.5, 0.1, 0.2}
t10143.2820.771809.42180.36187.138342.298267.10{0.1, 0.5, 0.4}{0.1, 0.7, 0.2}{0.3, 0.5, 0.1, 0, 0.1}{0, 0.1, 0.6, 0.1, 0.2}
表 4  1对1空战信息
图 8  证据输入模式的切换
图 9  1对1场景不完备信息下的各方法结果对比
图 10  2v1对抗轨迹
图 11  消融实验的态势评估结果
方法tav/s
MVWSF-ENDE-ENTSF-ENEN
1对10.170.250.260.25
2对10.320.640.720.66
表 5  4种方法的平均运行时间比较
1 XU X M, YANG R N, FU Y Situation assessment for air combat based on novel semi-supervised naive Bayes[J]. Journal of Systems Engineering and Electronics, 2018, 29 (4): 768- 779
doi: 10.21629/JSEE.2018.04.11
2 SUN Y, MA P, DAI J, et al A cloud Bayesian network approach to situation assessment of scouting under water targets with fixed-wing patrol aircraft[J]. CAAI Transactions on Intelligence Technology, 2022, 8 (2): 532- 545
3 LI W N, ZHANG W G, LIU B N, et al The situation assessment of UAVs based on an improved whale optimization Bayesian network parameter-learning algorithm[J]. Drones, 2023, 7 (11): 655
doi: 10.3390/drones7110655
4 GAO L, JIANG J F, XU J W, et al SAPFIS: a parallel fuzzy inference system for air combat situation assessment[J]. Journal of Supercomputing, 2024, 81 (1): 73
5 李山, 权文, 李昉, 等 基于改进D-S理论的多时刻空中目标威胁评估[J]. 电光与控制, 2024, 31 (3): 48- 52
LI Shan, QUAN Wen, LI Fang, et al Multi-moment aerial target threat assessment based on improved D-S theory[J]. Electronics Optics and Control, 2024, 31 (3): 48- 52
6 WANG H B, GUAN X, YI X Evidence network inference recognition method based on cloud model[J]. Electronics, 2023, 12 (2): 318
doi: 10.3390/electronics12020318
7 ZHOU X L, TANG Y C A note on incomplete information modeling in the evidence theory[J]. IEEE Access, 2019, 7: 166410- 166414
doi: 10.1109/ACCESS.2019.2954132
8 TANG Y C, ZHOU D Y, CHAN F T S An extension to Deng’s entropy in the open world assumption with an application in sensor data fusion[J]. Sensors, 2018, 18 (6): 1902
doi: 10.3390/s18061902
9 CHEN Y T, TANG Y C An improved approach of incomplete information fusion and its application in sensor data-based fault diagnosis[J]. Mathematics, 2021, 9 (11): 1292
doi: 10.3390/math9111292
10 郝启凯, 荀盼盼, 鄂超然, 等 基于变异系数法和改进TOPSIS法的空战威胁评估[J]. 火炮发射与控制学报, 2024, 45 (5): 56- 63
HAO Qikai, XUN Panpan, E Chaoran, et al Air combat threat assessment based on the coefficient of variation method and improved TOPSIS method[J]. Journal of Gun Launch and Control, 2024, 45 (5): 56- 63
11 杨爱武, 李战武, 李宝, 等 基于动态变权重的空战态势评估[J]. 兵工学报, 2021, 42 (7): 1553- 1563
YANG Aiwu, LI Zhanwu, LI Bao, et al Air combat situation assessment based on dynamic variable weight[J]. Acta Armamentarii, 2021, 42 (7): 1553- 1563
doi: 10.3969/j.issn.1000-1093.2021.07.023
12 华家辉, 孙鑫, 陈晓东, 等 基于集群分析的空中作战目标威胁评估技术研究[J]. 战术导弹技术, 2023, 218 (2): 96- 104
HUA Jiahui, SUN Xin, CHEN Xiaodong, et al Research on air objective threat assessment technology based on cluster analysis[J]. Tactical Missile Technology, 2023, 218 (2): 96- 104
13 YANG J Y, LI C H, LI S Y, et al Anti-interference recognition for aerial infrared object based on convolutional feature inference network[J]. IEEE Aerospace and Electronic Systems Magazine, 2023, 78 (2): 4- 15
14 ZHANG K, WEI J Y, WANG T T, et al Air target recognition algorithm based on mixed depth features in the interference environment[J]. Optik, 2021, 245: 167535
doi: 10.1016/j.ijleo.2021.167535
15 ZHANG X Y, HUANG W, LIN X, et al Complex image recognition algorithm based on immune random forest model[J]. Soft Computing, 2020, 24 (16): 12643- 12657
doi: 10.1007/s00500-020-04706-0
16 王昱, 任田君, 范子琳, 等 基于角度特征的分布式DDPG无人机追击决策[J]. 控制理论与应用, 2025, 42 (7): 1356- 1366
WANG Yu, REN Tianjun, FAN Zilin, et al Distributed DDPG UAV pursuit decision based on angle feature[J]. Control Theory and Applications, 2025, 42 (7): 1356- 1366
doi: 10.7641/CTA.2024.30105
17 王昱, 章卫国, 傅莉, 等 基于改进证据网络的空战动态态势估计方法[J]. 航空学报, 2015, 36 (12): 3896- 3909
WANG Yu, ZHANG Weiguo, FU Li, et al Dynamic situation assessment method of aerial warfare based on improved evidence network[J]. Acta Aeronautica et Astronautica Sinica, 2015, 36 (12): 3896- 3909
18 余蕾, 邹志科, 刘凤丽, 等 湖北漳河灌区中稻气象产量变化特征及预测模型[J]. 长江科学院院报, 2024, 41 (2): 82- 90
YU Lei, ZOU Zhike, LIU Fengli, et al Variation features and estimation model for meteorological yield of mid-season rice in Zhanghe irrigated area of Hubei Province[J]. Journal of Changjiang River Scientific Research Institute, 2024, 41 (2): 82- 90
doi: 10.11988/ckyyb.20221141
19 贺宝记, 白林亭, 文鹏程. 基于态势评估及DDPG算法的一对一空战格斗控制方法 [J]. 航空工程进展, 2024, 15(2): 179-187.
HE Baoji, BAI Linting, WEN Pengcheng. One-on-one air combat control method based on situation assessment and DDPG algorithm [J]. Advances in Aeronautical Science and Engineering, 2024, 15(2): 179-187.
20 余付平, 黄益恒, 沈堤, 等 D-S证据理论在空中目标识别中的应用现状与展望[J]. 电光与控制, 2024, 31 (4): 75- 86
YU Fuping, HUANG Yiheng, SHEN Di, et al Application status and prospects of D-S evidence theory in aerial target identification[J]. Electronics Optics and Control, 2024, 31 (4): 75- 86
doi: 10.3969/j.issn.1671-637X.2024.04.012
21 张堃, 张振冲, 刘泽坤, 等 基于FD-TODIM的混杂空战多目标动态威胁评估[J]. 系统工程与电子技术, 2023, 45 (1): 148- 154
ZHANG Kun, ZHANG Zhenchong, LIU Zekun, et al Multi-target dynamic threat assessment in mixed air combat based on FD-TODIM[J]. Systems Engineering and Electronics, 2023, 45 (1): 148- 154
22 王昱, 关智慧, 李远鹏 基于轨迹预测和分布式MADDPG的无人机集群追击决策[J]. 计算机应用, 2024, 44 (11): 3623- 3628
WANG Yu, GUAN Zhihui, LI Yuanpeng Distributed UAV cluster pursuit decision-making based on trajectory prediction and MADDPG[J]. Journal of Computer Applications, 2024, 44 (11): 3623- 3628
doi: 10.11772/j.issn.1001-9081.2023101538
[1] 宋秀兰,董兆航,单杭冠,陆炜杰. 基于时空融合的多头注意力车辆轨迹预测[J]. 浙江大学学报(工学版), 2023, 57(8): 1636-1643.
[2] 侯越,韩成艳,郑鑫,邓志远. 基于时空融合图卷积的交通流数据修复方法[J]. 浙江大学学报(工学版), 2022, 56(7): 1394-1403.